Студопедия

КАТЕГОРИИ:


Архитектура-(3434)Астрономия-(809)Биология-(7483)Биотехнологии-(1457)Военное дело-(14632)Высокие технологии-(1363)География-(913)Геология-(1438)Государство-(451)Демография-(1065)Дом-(47672)Журналистика и СМИ-(912)Изобретательство-(14524)Иностранные языки-(4268)Информатика-(17799)Искусство-(1338)История-(13644)Компьютеры-(11121)Косметика-(55)Кулинария-(373)Культура-(8427)Лингвистика-(374)Литература-(1642)Маркетинг-(23702)Математика-(16968)Машиностроение-(1700)Медицина-(12668)Менеджмент-(24684)Механика-(15423)Науковедение-(506)Образование-(11852)Охрана труда-(3308)Педагогика-(5571)Полиграфия-(1312)Политика-(7869)Право-(5454)Приборостроение-(1369)Программирование-(2801)Производство-(97182)Промышленность-(8706)Психология-(18388)Религия-(3217)Связь-(10668)Сельское хозяйство-(299)Социология-(6455)Спорт-(42831)Строительство-(4793)Торговля-(5050)Транспорт-(2929)Туризм-(1568)Физика-(3942)Философия-(17015)Финансы-(26596)Химия-(22929)Экология-(12095)Экономика-(9961)Электроника-(8441)Электротехника-(4623)Энергетика-(12629)Юриспруденция-(1492)Ядерная техника-(1748)

Метод корреляционно-регрессионного анализа. Корреляционное отношение и коэффициент корреляции




Метод аналитических группировок

Значительно более отчетливо будут проявляться корреляционные зависимости, если мы применим метод группировок и будем сравнивать не индивидуальные данные, а групповые средние.

Группировка производится по факторному признаку, и для каждой группы вычисляется среднее значение результативного признака. Этот способ является единственно возможным, если нужно выявить зависимость на примере сотен и тысяч единиц.

Аналитические группировки позволяют выявить наличие связи и ее направление, а также измерить тесноту связи.

Для этого используются следующие показатели:

1 коэффициент детерминации;

2 эмпирическое корреляционное отношение.

 


При исследовании корреляционных зависимостей решению подлежит широкий круг вопросов:

1 предварительный анализ свойств моделируемой совокупности;

2 установление факта наличия связи, определение ее направления и формы;

3 измерение степени тесноты связи между признаками;

4 построение регрессионной модели, т.е. нахождение аналитического выражения связи;

5 установление адекватности (соответствия) модели экспериментальным данным.

Для того, чтобы результаты корреляционного анализа нашли практическое применение и дали хороший результат, необходимо, чтобы выполнялись определенные требования в отношении объекта исследования и признаков-факторов. Требования к объекту исследования:

1 Однородность изучаемых единиц при корреляционном анализе.

Например, определение зависимости тех или иных технико-экономических показателей работы предприятия от определенных факторов.

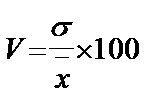
Должны быть отобраны предприятия, выпускающие однотипную продукцию, имеющие одинаковый характер технологического процесса, тип используемого оборудования и т.п. Необходима также и количественная оценка однородности. Это можно сделать с помощью коэффициента вариации: %, %.

2 Достаточное число наблюдений.

Требования в отношении признаков-факторов:

– выбирать наиболее важные из них.

Для этого следует провести качественный и количественный анализ с использованием, например, парного коэффициента корреляции, ранговых коэффициентов и т.п.;

- факторы должны быть независимы друг от друга;

- исключаются факторы, функционально связанные с результативным признаком;

- факторы должны иметь количественное выражение.

Кроме ранее разобранных методов для определения наличия и вида связи, можно использовать графический метод. По данным значениям факторного и результативного признака строят так называемое поле корреляций (это точечный график).

Соединив точки отрезками прямой получим линию, которая называется эмпирической линией регрессии.

Эмпирическая линия регрессии является ломаной линией, т.к. влияние прочих неучтенных причин в средних значениях результативного признака погашается не полностью. Но по этой линии можно получить приблизительное представление о линии связи.

Теоретической линией регрессии называется та линия, вокруг которой группируются точки корреляционного поля и которая указывает основную тенденцию развития (тренд).

Уравнение этой линии называется регрессионной моделью. Она может быть любой:

– прямая,

– парабола,

– гипербола и др.

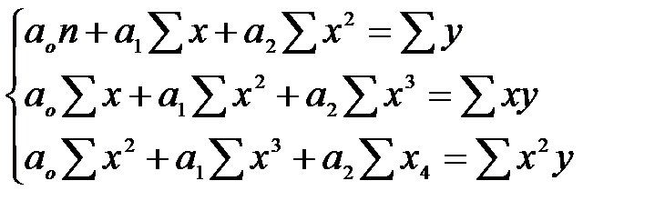
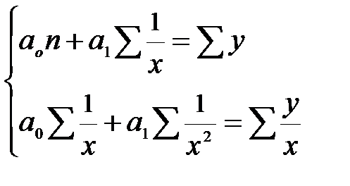
Для построения регрессионных моделей нам необходимо найти их параметры. Так как теоретическая линия регрессии должна быть проведена таким образом, чтобы сумма отклонений эмпирических точек от теоретических была равна нулю, а сумма квадратов этих отклонений должна быть наименьшая, значит, следует воспользоваться методом наименьших квадратов.

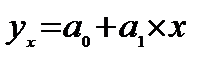
По этому методу получаются системы уравнений для отыскания неизвестных параметров. Для уравнения прямой:

Параметр а1 – коэффициент регрессии. Он показывает, на сколько в среднем изменяется величина результативного признака при изменении факторного признака X на единицу.

Геометрически этот параметр оценивает степень наклона линии регрессии по отношению к оси ОХ.

Параметр а0 экономического смысла не имеет.

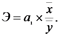
Коэффициент регрессии используют для определения коэффициента эластичности, который показывает, на сколько процентов в среднем изменится величина результативного признака У при изменении признака-фактора Х на 1%:

Для параболы система имеет вид.

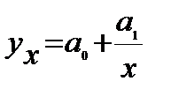
Для гиперболы параметры а0 и а1 находят из системы уравнений вида:

 

 





Поделиться с друзьями:


Дата добавления: 2015-04-24; Просмотров: 450; Нарушение авторских прав?; Мы поможем в написании вашей работы!


Нам важно ваше мнение! Был ли полезен опубликованный материал? Да | Нет



studopedia.su - Студопедия (2013 - 2025) год. Все материалы представленные на сайте исключительно с целью ознакомления читателями и не преследуют коммерческих целей или нарушение авторских прав! Последнее добавление




Генерация страницы за: 0.008 сек.