Студопедия

КАТЕГОРИИ:


Архитектура-(3434)Астрономия-(809)Биология-(7483)Биотехнологии-(1457)Военное дело-(14632)Высокие технологии-(1363)География-(913)Геология-(1438)Государство-(451)Демография-(1065)Дом-(47672)Журналистика и СМИ-(912)Изобретательство-(14524)Иностранные языки-(4268)Информатика-(17799)Искусство-(1338)История-(13644)Компьютеры-(11121)Косметика-(55)Кулинария-(373)Культура-(8427)Лингвистика-(374)Литература-(1642)Маркетинг-(23702)Математика-(16968)Машиностроение-(1700)Медицина-(12668)Менеджмент-(24684)Механика-(15423)Науковедение-(506)Образование-(11852)Охрана труда-(3308)Педагогика-(5571)Полиграфия-(1312)Политика-(7869)Право-(5454)Приборостроение-(1369)Программирование-(2801)Производство-(97182)Промышленность-(8706)Психология-(18388)Религия-(3217)Связь-(10668)Сельское хозяйство-(299)Социология-(6455)Спорт-(42831)Строительство-(4793)Торговля-(5050)Транспорт-(2929)Туризм-(1568)Физика-(3942)Философия-(17015)Финансы-(26596)Химия-(22929)Экология-(12095)Экономика-(9961)Электроника-(8441)Электротехника-(4623)Энергетика-(12629)Юриспруденция-(1492)Ядерная техника-(1748)

Билет №29. Матричная запись системы линейных уравнений. Решение систем n линейных уравнений с n неизвестными при помощи обратной матрицы




Билет №28. Обратная матрица(определение, единственность).Необходимое и достаточное условие её существования (с доказательством).

Матрица B называется обратной матрицей для квадратной матрицы A, если АВ=ВА=Е (Обратная матрицы для матрицы А обозначается A-1 .) Если определитель матрицы равен нулю, то обратная к ней не существует. Если обратная матрица существует, то она единственна.)

Обратная матрица существует тогда и только тогда, когда определитель матрицы А не равен нулю.

(A-1 ) ↔ (detA≠0)

Det(AB)=detA∙detB

detE=det(A∙ A-1 )=det A-1 ∙detA=1 → detA≠0

 

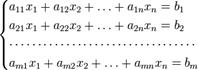
Системой m линейных уравнений с n неизвестными называется системой вида.

Где аij коэффициент при xj

Х1, х2…хn – неизвестные

B1, b2…bm – свободные члены

 

можно представить в матричном виде

 

 

Х – вектор неизвестных, В – вектор свободных членов

и тогда всю систему можно записать так:

AX = B,

где A имеет смысл таблицы коэффициентов aij системы уравнений.

Если m = n и матрица A невырожденная, то решение этого уравнения состоит в нахождении обратной матрицы A - 1, поскольку умножив обе части уравнения на эту матрицу слева

A - 1 AX = A - 1 B

A − 1 A — превращается в E (единичную матрицу). И это даёт возможность получить столбец корней уравнений

X = A - 1 B.

 

 

Билет №30. Теорема Крамера для систем n линейных уравнений с n неизвестными (доказательство для п =3).

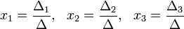
Если определитель отличен от нуля, следовательно, можно применить правило Крамера:

Если определитель матрицы не равен нулю, то система имеет решение и притом единственное. Это решение задается формулой:

 

 




Поделиться с друзьями:


Дата добавления: 2015-04-24; Просмотров: 751; Нарушение авторских прав?; Мы поможем в написании вашей работы!


Нам важно ваше мнение! Был ли полезен опубликованный материал? Да | Нет



studopedia.su - Студопедия (2013 - 2025) год. Все материалы представленные на сайте исключительно с целью ознакомления читателями и не преследуют коммерческих целей или нарушение авторских прав! Последнее добавление




Генерация страницы за: 0.012 сек.