Студопедия

КАТЕГОРИИ:


Архитектура-(3434)Астрономия-(809)Биология-(7483)Биотехнологии-(1457)Военное дело-(14632)Высокие технологии-(1363)География-(913)Геология-(1438)Государство-(451)Демография-(1065)Дом-(47672)Журналистика и СМИ-(912)Изобретательство-(14524)Иностранные языки-(4268)Информатика-(17799)Искусство-(1338)История-(13644)Компьютеры-(11121)Косметика-(55)Кулинария-(373)Культура-(8427)Лингвистика-(374)Литература-(1642)Маркетинг-(23702)Математика-(16968)Машиностроение-(1700)Медицина-(12668)Менеджмент-(24684)Механика-(15423)Науковедение-(506)Образование-(11852)Охрана труда-(3308)Педагогика-(5571)Полиграфия-(1312)Политика-(7869)Право-(5454)Приборостроение-(1369)Программирование-(2801)Производство-(97182)Промышленность-(8706)Психология-(18388)Религия-(3217)Связь-(10668)Сельское хозяйство-(299)Социология-(6455)Спорт-(42831)Строительство-(4793)Торговля-(5050)Транспорт-(2929)Туризм-(1568)Физика-(3942)Философия-(17015)Финансы-(26596)Химия-(22929)Экология-(12095)Экономика-(9961)Электроника-(8441)Электротехника-(4623)Энергетика-(12629)Юриспруденция-(1492)Ядерная техника-(1748)

Билет №21. Извлечение корня из комплексного числа в тригонометрической форме. Вывод формулы для нахождения корней степени n из единицы. Их расположение на комплексной плоскости




Билет №20. Возведение в степень с натуральным показателем комплексного числа в тригонометрической форме. Вывод формулы Муавра. Показательная форма комплексного числа. Умножение, деление, возведение в натуральную степень чисел в показательной форме.

Вопрос № 19. Модуль и аргумент комплексного числа. Тригонометрическая форма комплексного числа. Умножение и деление чисел в тригонометрической форме. Вывод формулы для произведения

Число называется модулем числа z. Для вещественного числа модуль совпадает с его абсолютной величиной.

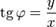
Угол такой, что: и , называется аргументом z. Для комплексного нуля значение аргумента не определено, для ненулевого числа z аргумент определяется с точностью до 2 k π, где k — любое целое число. Из определения следует, что .

Пусть и φ = arg z. Тогда по определению аргумента имеем:

Получается

z = a + bi = r (cos φ + i sin φ).

Такая форма называется тригонометрической формой записи комплексного числа.

Умножение компл.чисел:

Пусть Z1 и Z2, Z1=(a1;b1), Z2=(a2;b2)

Z=z1∙z2⇒ { a=a1∙a2-b1∙b2

b=a1∙b2+a2∙b1

 

Формула Муавра для комплексных чисел , заданная в тригонометрической форме — формула

для любого

Аналогичная формула применима также и при вычислении корней n -ой степени из ненулевого комплексного числа:

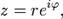
Если вещественную x и мнимую y части комплексного числа выразить через модуль r = | z | и аргумент (, ), то всякое комплексное число z, кроме нуля, можно записать в тригонометрической форме

Также может быть полезна показательная форма записи комплексных чисел.

где — расширение экспоненты для случая комплексного показателя степени.

Отсюда вытекают следующие широко используемые равенства:

 

Число корней равно показателю степени.

Z1 = n√Z ↔ Z = Z1n

Корнем n-й степени (n ∊ N, n ≥ 2) из числа z называется любое комплексное число u, для которого un = z. Операция нахождения всех корней n-й степени из числа z называется извлечением корня.
Для нахождения всех корней n-й степени существует следующая формула:

Формула для нахождения корней степени n из единицы

n√1={zk | zk= здесь та же формула, что и наверху (то, что в скобках), только без φ




Поделиться с друзьями:


Дата добавления: 2015-04-24; Просмотров: 1885; Нарушение авторских прав?; Мы поможем в написании вашей работы!


Нам важно ваше мнение! Был ли полезен опубликованный материал? Да | Нет



studopedia.su - Студопедия (2013 - 2026) год. Все материалы представленные на сайте исключительно с целью ознакомления читателями и не преследуют коммерческих целей или нарушение авторских прав! Последнее добавление




Генерация страницы за: 0.013 сек.