Студопедия

КАТЕГОРИИ:


Архитектура-(3434)Астрономия-(809)Биология-(7483)Биотехнологии-(1457)Военное дело-(14632)Высокие технологии-(1363)География-(913)Геология-(1438)Государство-(451)Демография-(1065)Дом-(47672)Журналистика и СМИ-(912)Изобретательство-(14524)Иностранные языки-(4268)Информатика-(17799)Искусство-(1338)История-(13644)Компьютеры-(11121)Косметика-(55)Кулинария-(373)Культура-(8427)Лингвистика-(374)Литература-(1642)Маркетинг-(23702)Математика-(16968)Машиностроение-(1700)Медицина-(12668)Менеджмент-(24684)Механика-(15423)Науковедение-(506)Образование-(11852)Охрана труда-(3308)Педагогика-(5571)Полиграфия-(1312)Политика-(7869)Право-(5454)Приборостроение-(1369)Программирование-(2801)Производство-(97182)Промышленность-(8706)Психология-(18388)Религия-(3217)Связь-(10668)Сельское хозяйство-(299)Социология-(6455)Спорт-(42831)Строительство-(4793)Торговля-(5050)Транспорт-(2929)Туризм-(1568)Физика-(3942)Философия-(17015)Финансы-(26596)Химия-(22929)Экология-(12095)Экономика-(9961)Электроника-(8441)Электротехника-(4623)Энергетика-(12629)Юриспруденция-(1492)Ядерная техника-(1748)

Опис членів алгоритму




Порівняльні характеристики різних способи підрахування коефіцієнтів Z i L.

 

Загальна кількість членів алгоритму Коефіцієнт стереотипності Коефіцієнт логічних умов
Z г. L К
  3,10 0,46 2,10 0,14
  3,10 0,34 2,08 0,18
           

 

Розглянемо один з прикладів підрахуванні 2и і Ін за схе­мою алгоритму роботи оператора;


Опис членів алгоритму наведений у таблиці 11. З аналізу схеми алгоритму встановлено:


 


Для підрахуванні 7.п поділимо алгоритм на такі групи:

 

 

Таблиця11

 

 

Опис «операторів» і логічних умов Позначення
Ввімкнути тумблер «Живлення» а
Горить лампочка Ло P2
Встановити перемикач «Робота» у положення 1 А
Натиснути кнопку «Контроль» а
Горить лампочка Л1 P5
Відпустити кнопку «Контроль» А
Лампочка Л1 згасла P7
Увімкнути тумблер «Канали» А
Натиснути кнопку «Робота» А
Горить лампочка Л2 Ло
Відпустити кнопку «Робота» Аі
Згасла лампочка Л2 Рп
Увімкнути тумблер «Канали» А,
Встановити перемикач «Робота» в положення 2 А.
Натиснути кнопку «Контроль» А,
Горить лампочка Л3 Лб
Відпустити кнопку «Контроль» Аі
Згасла лампочка Л3 P12
Встановити перемикач «Робота» в нейтральне положення Ач
Ввімкнути тумблер «Живлення» А,
Згасла лампочка Ло Л,
Доповісти про виконану роботу Аг

 

Підрахуємо значення параметра Ζn.


 

Для підрахувати! ІИ групи будуть такі:



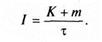
Середня швидкість переробки інформації вираховується за формулою:


де К— кількість «операторів»; НІа ентропія і-го «операто­ра»; Н.л ентропія -го логічної умови; т — кількість логічний умов; т — час виконання алгоритму,

Ентропії II, '\ ІІч визначаються за формулами, наведени­ми у спеціальній літературі [57].

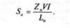
Напруженість (інтенсивність) виконаний алгоритму ви­значаємо ш формулою;


Вона залежить від кількості елементарних оперативних одиниць діяльності (кількість «операторів» плюс кількість логічних умов) та часу, потрібного операторові для їхнього виконання.

Для визначення загальної складності виконання алгорит­му людиною-оператором пропонується формула:


Розглянуті показники виконання алгоритму визначають складність роботи оператора і можуть використовуватися для порівняльної оцінки однотипних видів операторської діяльності,

Цей метод — алгоритмічною опису — може бути засто­сований також п інженерно-психологічній експертизі вже діючих СЛМ. Підрахування наведених вище показників про­водиться для всіх режимів роботи оператора, оскільки ре­жим суттєво впливає на структуру (алгоритм) його діяль­ності.

Слід зазначити, що при проектуванні та оцінці діяль­ності оператора і системи використовуються такі інженерно-психологічні характеристики: швидкодія, точність, на­дійність, напруженість діяльності оператора (див. 2.3; 4,4).

 




Поделиться с друзьями:


Дата добавления: 2015-05-22; Просмотров: 445; Нарушение авторских прав?; Мы поможем в написании вашей работы!


Нам важно ваше мнение! Был ли полезен опубликованный материал? Да | Нет



studopedia.su - Студопедия (2013 - 2026) год. Все материалы представленные на сайте исключительно с целью ознакомления читателями и не преследуют коммерческих целей или нарушение авторских прав! Последнее добавление




Генерация страницы за: 0.009 сек.