Студопедия

КАТЕГОРИИ:


Архитектура-(3434)Астрономия-(809)Биология-(7483)Биотехнологии-(1457)Военное дело-(14632)Высокие технологии-(1363)География-(913)Геология-(1438)Государство-(451)Демография-(1065)Дом-(47672)Журналистика и СМИ-(912)Изобретательство-(14524)Иностранные языки-(4268)Информатика-(17799)Искусство-(1338)История-(13644)Компьютеры-(11121)Косметика-(55)Кулинария-(373)Культура-(8427)Лингвистика-(374)Литература-(1642)Маркетинг-(23702)Математика-(16968)Машиностроение-(1700)Медицина-(12668)Менеджмент-(24684)Механика-(15423)Науковедение-(506)Образование-(11852)Охрана труда-(3308)Педагогика-(5571)Полиграфия-(1312)Политика-(7869)Право-(5454)Приборостроение-(1369)Программирование-(2801)Производство-(97182)Промышленность-(8706)Психология-(18388)Религия-(3217)Связь-(10668)Сельское хозяйство-(299)Социология-(6455)Спорт-(42831)Строительство-(4793)Торговля-(5050)Транспорт-(2929)Туризм-(1568)Физика-(3942)Философия-(17015)Финансы-(26596)Химия-(22929)Экология-(12095)Экономика-(9961)Электроника-(8441)Электротехника-(4623)Энергетика-(12629)Юриспруденция-(1492)Ядерная техника-(1748)

Турбулентный равномерный режим движения потока




Admin

Равномерное движение жидкости в каналах

Равномерное движение жидкости в открытых руслах происходит под действием силы тяжести и наличии геометрического уклона.

Равномерное движение происходит:

 Q(расход) не изменяется.

 Уклон так же постоянен

 Площадь поперечного сечения постоянна

 Шероховатость дна и стенок постоянна

 Отсутствуют местные сопротивления

 

Такое движение может наблюдаться лишь в искусственных лотках, кюветах. Рассмотрим жидкость движущуюся равномерно:

 

z1– z2 = h1-2 |:l

уклон дна гидравлический уклон

Уклон дна и гидравлический уклон совпадают по свободной поверхности параллельно дну и равны пьезометрическому уклону J.

J = iд = i, где

iд–уклон дна

i – гидравлический уклон

J – пьезометрический уклон

R=

Гидравлический радиус рравен отношению живого сечения к смоченному периметру.

— уравнение Шези.

С – коэффициент Шези

R – гидравлический радиус.

 

Часто =W – модуль скорости (задается в справочниках)

Q=??=? =?W =k

?W=k

k – модуль расхода (расходная характеристика)

 

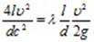
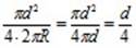
Определим коэффициент Шези в круглой трубе, для этого приравняем формулу Шези и формулу Дарси.

R = для круглой трубы

 

 

Если рассмотреть плоское движение (т. е. потенциальное движение, когда траектории всех частиц параллельны одной и той же плоскости и являются функции ей двух координат и если движение неустановившееся), одновременно являющееся равномерным турбулентным в системе координат XYZ, когда линии тока параллельны оси OX, то

Усредненная скорость при сильно турбулентном движении.

Это выражение: логарифмический закон распределения скоростей для турбулентного движения.

При напорном движении поток состоит в основном из пяти областей:

1) ламинарная: приосевая область, где местная скорость максимальна, в этой области λлам= f(Re), где число Рейнольдса Re < 2300;

2) во второй области поток начинает переходить из ламинарного в турбулентный, следовательно, увеличивается и число Re;

3) здесь поток полностью турбулентный; в этой области трубы называются гидравлическими гладкими (шероховатость Δ меньше, чем толщина вязкого слоя δв, то есть Δ < δв).

В случае, когда Δ> δв, труба считается «гидравлически шероховатой».

Характерно, что если для λлам = f(Re–1), то в этом случае λгд = f(Re– 0,25);

4) эта область находится на пути перехода потока к подвязкому слою: в этой области λлам = (Re, Δ/r0). Как видно, коэффициент Дарси уже начинает зависеть от абсолютной шероховатости Δ;

5) эта область называется квадратичной областью (коэффициент Дарси не зависит от числа Рейнольдса, но определяется почти полностью касательным напряжением) и является пристенной.

Эту область называют автомодельной, т. е. не зависящей от Re.

В общем случае, как известно, коэффициент Шези

Формула Павловского:

где п – коэффициент шероховатости;

R– гидравлический радиус.

При 0,1 ≤ R ≤ 3 м

причем при R< 1 м




Поделиться с друзьями:


Дата добавления: 2015-05-23; Просмотров: 451; Нарушение авторских прав?; Мы поможем в написании вашей работы!


Нам важно ваше мнение! Был ли полезен опубликованный материал? Да | Нет



studopedia.su - Студопедия (2013 - 2025) год. Все материалы представленные на сайте исключительно с целью ознакомления читателями и не преследуют коммерческих целей или нарушение авторских прав! Последнее добавление




Генерация страницы за: 0.011 сек.