Студопедия

КАТЕГОРИИ:


Архитектура-(3434)Астрономия-(809)Биология-(7483)Биотехнологии-(1457)Военное дело-(14632)Высокие технологии-(1363)География-(913)Геология-(1438)Государство-(451)Демография-(1065)Дом-(47672)Журналистика и СМИ-(912)Изобретательство-(14524)Иностранные языки-(4268)Информатика-(17799)Искусство-(1338)История-(13644)Компьютеры-(11121)Косметика-(55)Кулинария-(373)Культура-(8427)Лингвистика-(374)Литература-(1642)Маркетинг-(23702)Математика-(16968)Машиностроение-(1700)Медицина-(12668)Менеджмент-(24684)Механика-(15423)Науковедение-(506)Образование-(11852)Охрана труда-(3308)Педагогика-(5571)Полиграфия-(1312)Политика-(7869)Право-(5454)Приборостроение-(1369)Программирование-(2801)Производство-(97182)Промышленность-(8706)Психология-(18388)Религия-(3217)Связь-(10668)Сельское хозяйство-(299)Социология-(6455)Спорт-(42831)Строительство-(4793)Торговля-(5050)Транспорт-(2929)Туризм-(1568)Физика-(3942)Философия-(17015)Финансы-(26596)Химия-(22929)Экология-(12095)Экономика-(9961)Электроника-(8441)Электротехника-(4623)Энергетика-(12629)Юриспруденция-(1492)Ядерная техника-(1748)

Опис приладу. Маятник Обербека (рис.2) являє собою металевий циліндр, який може обертатися навколо горизонтальної осі (тертя дуже мале,і його не враховують)




Маятник Обербека (рис.2) являє собою металевий циліндр, який може обертатися навколо горизонтальної осі (тертя дуже мале,і його не враховують). На поверхні циліндра вирізано дві заглибини прямокутного перерізу 1 і 2, кожна з них виконує роль шківа (рис. 3). Радіуси одержаних таким чином шківів різні. Вздовж кожної спиці можна пересувати регулюючі металеві циліндрики однакової маси . Гвинтом їх закріплюють.

На шків намотується тонка,але міцна нитка. Якщо до її вільного кінця прикріпити тягар і надати йому змогу падати, він приведе в обертовий рух маятник Обербека.

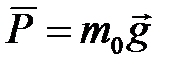
На падаючий тягар діють дві сили‑сила тяжіння і сила натягу нитки , яка діє вздовж нитки по дотичній до поверхні шківа маятника. Різниця цих двох сил, напрямлених у протилежні боки, і зумовлює прискорення падаючого тіла, , тобто:

. (9)

Звідси .

Момент сили натягу відносно осі обертання

, (10)

де радіус відповідного шківа; момент інерції маятника; кутове прискорення маятника.


 

Рис.2. Маятник Обербека. Рис.3.Схема установки.

 

Кутові прискорення обертального руху маятника можна знайти з таких міркувань. Нехай тягар за час падає з висоти . Тоді прискорення його руху визначається за відомою формулою:

. (11)

Вважатимемо, що нитка змотується з шківа маятника без тертя і ковзання, тому лінійне прискорення точок його поверхні також дорівнює . Тоді прискорення знаходимо за формулою

. (12)

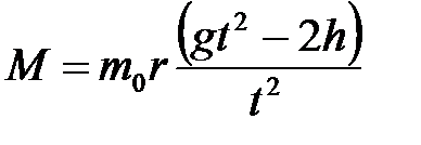
Підставляючи у формулу (7) значення з рівності (11) і значення з рівності (9),отримуємо вираз для моменту інерції маятника:

, (13)

. (14)

Завдання 1. Перевірка прямо пропорційної залежності кутового прискорення від моменту сили, що діє на обертальну систему.




Поделиться с друзьями:


Дата добавления: 2015-05-24; Просмотров: 441; Нарушение авторских прав?; Мы поможем в написании вашей работы!


Нам важно ваше мнение! Был ли полезен опубликованный материал? Да | Нет



studopedia.su - Студопедия (2013 - 2026) год. Все материалы представленные на сайте исключительно с целью ознакомления читателями и не преследуют коммерческих целей или нарушение авторских прав! Последнее добавление




Генерация страницы за: 0.009 сек.