Студопедия

КАТЕГОРИИ:


Архитектура-(3434)Астрономия-(809)Биология-(7483)Биотехнологии-(1457)Военное дело-(14632)Высокие технологии-(1363)География-(913)Геология-(1438)Государство-(451)Демография-(1065)Дом-(47672)Журналистика и СМИ-(912)Изобретательство-(14524)Иностранные языки-(4268)Информатика-(17799)Искусство-(1338)История-(13644)Компьютеры-(11121)Косметика-(55)Кулинария-(373)Культура-(8427)Лингвистика-(374)Литература-(1642)Маркетинг-(23702)Математика-(16968)Машиностроение-(1700)Медицина-(12668)Менеджмент-(24684)Механика-(15423)Науковедение-(506)Образование-(11852)Охрана труда-(3308)Педагогика-(5571)Полиграфия-(1312)Политика-(7869)Право-(5454)Приборостроение-(1369)Программирование-(2801)Производство-(97182)Промышленность-(8706)Психология-(18388)Религия-(3217)Связь-(10668)Сельское хозяйство-(299)Социология-(6455)Спорт-(42831)Строительство-(4793)Торговля-(5050)Транспорт-(2929)Туризм-(1568)Физика-(3942)Философия-(17015)Финансы-(26596)Химия-(22929)Экология-(12095)Экономика-(9961)Электроника-(8441)Электротехника-(4623)Энергетика-(12629)Юриспруденция-(1492)Ядерная техника-(1748)

Учебный план




Оценочные средства для текущего контроля успеваемости, промежуточной аттестации по итогам освоения дисциплины и учебно-методическое обеспечение самостоятельной работы студентов

 

6.1 Оценочные средства для текущего контроля успеваемости

 

6.1.1.Вопросы и задания для контроля текущей успеваемости

Таблица 3 - Вопросы и задания для контроля текущей успеваемости

 

Название раздела Контрольные вопросы и задания
1. Техническое регулирование 1. Дайте понятие технического регулирования. Каковы цели и задачи технического регулирования? 2 Охарактеризуйте значение Всемирной торговой организации в разработке основных вопросов, связанных с режимом международной торговли товарами и услугами. 3. Охарактеризуйте принципы технического регулирования. 4. Охарактеризуйте систему федеральных органов исполнительной власти РФ. 9. Назовите и охарактеризуйте принципы технического регулирования в РФ. 5. Охарактеризуйте понятие «технический регламент», его роль в системе технического регулирования РФ. 6.Охарактеризуйте функции, права и обязанности органов государственного контроля (надзора) за соблюдением требований технических регламентов.
2. Добровольные требования 1. Охарактеризуйте систему добровольных требований РФ к продукции в сферах производства и обращения. 2. Назовите цели, задачи и принципы стандартизации в РФ. 3. Охарактеризуйте объекты и функции стандартизации в РФ. 4. Назовите национальный орган РФ по стандартизации. Каковы его функции и полномочия? 5. Охарактеризуйте национальную систему по стандартизации РФ. 6.Назовите и охарактеризуйтевиды национальных стандартов РФ. 7. Охарактеризуйте особенности стандартизация услуг в РФ. 8. Перечислите и охарактеризуйте международные организации по стандартизации.
3. Оценка соответствия 1. Назовите и охарактеризуйте цели оценки соответствия. 2. Перечислите объекты оценки соответствия. 3. Что понимается под деятельностью по оценке соответствия первой, второй и третьей стороной? 4. Охарактеризуйте понятие подтверждение соответствия. 5. Назовите и охарактеризуйте цели и принципы подтверждения соответствия. 6. Охарактеризуйте методы оценки соответствия. 7. Перечислите и охарактеризуйте формы подтверждения соответствия. 8. Охарактеризуйте существующие знаки соответствия при оценке, проводимой третьей стороной. 9. Охарактеризуйте особенности сертификации услуг.
4. Метрология. 1. Что такое измерение? Перечислите существующие виды измерений 2. Дайте понятие единства измерений. Каковы цели и задачи ФЗ «О единстве измерений»? Раскройте понятие международной системы единиц ФВ? Назовите основные и производные единицы ФВ. 3. Охарактеризуйте понятие размера и размерности ФВ, возможные математические действия над ними, приведите примеры? 4. Дайте определение методике выполнения измерений? 5. Дайте определение понятию средство измерения. Перечислите виды средств измерения? 6. Дайте понятие погрешность измерения. Назовите виды погрешностей, причины возникновения? 7. Охарактеризуйте требования к эталонам единиц величин? 8. Особенности процедуры поверки средств измерений? 9. Что такое калибровка средств измерений?

 

6.1.2. Практико-ориентированные тесты

На кафедре ТЭТ имеется компьютерные тестирующие программы (электронные базы тестов в разных программах) для параллельного тестирования студентов, причем содержание индивидуальных тестов отличается. Тестовые базы ежегодно обновляются и дополняются.

В качестве примера приводится примерный тест по четвертому разделу.

 

Вариант № 1

1.Размерность физической величины показывает:

1. как связана данная физическая величина с основными физическими величинами.

2. на количество единиц измерений.

3. на связь с дополнительными единицами измерения.

4. на связь с метрологическими характеристиками СИ.

5. на связь с эталоном.

 

2. Шкалы интервалов служат для:

1. представления упорядоченной последовательности размеров Q1<Q2<Q3<...<Qj<…, каждый из которых больше предыдущего, хотя сами размеры неизвестны.

2. представления результатов измерений, полученных посредством экспериментального сравнения неизвестного размера Qi = Q с размером Qj=[Q] по правилу Q/ [Q] = q.

3. классификации эмпирических объектов, свойства которых проявляются только в отношении эквивалентности.

4. представления результатов измерений, полученных посредством экспериментального сравнения i-ro размера с j-ым по правилу Qi- Qj =DQ.

5. представления относительных величин.

 

3. Основными физическими величинами и их единицами в системе СИ являются….

1. масса (кг), время (с), длина (м), температура (К).

2. масса (кг), время (с), длина (м), температура (К), количество вещества (моль), сила постоянного электрического тока (А), сила света (кд).

3. длина (м), масса (кг), время (с), сила света (кд).

4. масса (кг), длина (см), температура (С), количество вещества (моль).

5. масса (гр), время (с), сила постоянного электрического тока (А).

 

4. Методика выполнения измерений (МВИ) это:

1. принцип обеспечения единства измерений.

2. правила оформления результатов измерений.

3. совокупность операций и правил, выполнение которых обеспечивает получение результатов измерений с известной погрешностью.

4. основные положения Государственной системы обеспечения единства измерений (ГСИ).

5. общие требования к методам измерения, применяемым в сфере распространения государственного метрологического контроля.

 

5. Погрешности измерений классифицируют по:

1. величине.

2. характеру влияния на функцию преобразования.

3. форме представления, причинам возникновения, характеру проявления.

4. реакции средства измерения на скорость (частоту) изменения входного сигнала.

5. потенциальной точности средства измерения.

 

6. Класс точности СИ характеризует:

1. совокупность метрологических свойств СИ.

2. точность измерения.

3. наибольшую допускаемую основную погрешность.

4. допускаемые изменения показаний, вызываемые отклонением от нормальных условий эксплуатации.

5. пределы допускаемых основной и дополнительной погрешностей, устанавливаемых в виде абсолютной, относительной и приведенной погрешностей.

 

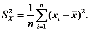
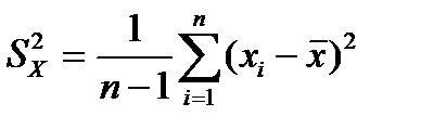
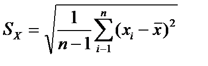
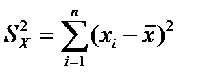
8. Исправленная выборочная дисперсия случайной величины при нормальном законе распределения последней имеет вид:

1.

2.

3.

4.

5.

9. Основными методами стандартизации являются:

1. рациональное сокращение видов, типов и размеров изделий одинакового функционального назначения.

2. унификация, симплификация, агрегатирование, типизация.

3. сокращение наименее употребительных элементов.

4. компоновка машин, приборов и оборудования из взаимозаменяемых, унифицированных узлов или агрегатов.

5. установление типовых объектов для данной совокупности и принимаемых за ос­нову (базу) при создании других объектов.

 

10.Понятие «физическая величина» означает:

1. свойство, общее в качественном отношении для многих физических объектов, но в количественном отношении индивидуальное для каждого объекта.

2. свойство чего-либо, что может быть выделено и оценено количественно.

3. физические характеристики материальных тел.

4. это свойство, общее в качественном отношении для многих физических объектов.

5. количественное содержание свойства в объекте.

 

11.Метрология это наука о:

1.методах измерения физических величин.

2.измерениях физических величин, методах и средствах обеспечения их единства и способах достижения требуемой точности.

3.погрешностях результатов измерений физических величин.

4.методах и средствах обеспечения единства измерений.

5. измерениях физических величин и способах достижения требуемой точности.

 

6.2.2. Содержание лабораторно-практических работ ««Стандартизация, подтверждение соответствия, метрология»

Таблица 4

Лабораторно-практические работы

Наименование раздела Наименование работ Трудоемкость (час)
    Входное тестирование  
    Техническое регулирование Тема: ««Анализ содержания общих положений ФЗ «О техническом регулировании» ФЗ-№ 184.  
  Тема: «Технические регламенты. Часть 1. Общие положения».  
  Тема: «Технические регламенты». Часть 2. Государственный контроль (надзор) за соблюдением требований технических регламентов»».  
  Тема: «Технические регламенты» Часть 3 Федеральный информационный фонд технических регламентов и стандартов».  
  Добровольное подтверждение соответствия Тема: «Добровольное подтверждение соответствия в РФ»  
      Оценка соответствия Тема: «Оценка соответствия в РФ. Часть 1.Общие положения».  
  Тема: «Оценка соответствия в РФ. Часть 2 «Знаки соответствия»».  
  Тема: «Оценка соответствия в РФ. Часть 2 «Знаки обращения на рынке».  
  Тема: «Оценка соответствия в РФ. Часть 3 «Виды деятельности при оценке соответствия».  
  Тема: «Оценка соответствия в РФ. Часть 4 «Формы подтверждения соответствия».  
  Тема: «Оценка соответствия в РФ. Часть 5 «Декларирование соответствия».  
    Метрология Тема: «Система обеспечения единства измерений в РФ».  
  Тема: «Международная система физических единиц (СИ). Национальные единицы измерения».  
  Тема: «Метрологическое обеспечение испытаний продукции для целей подтверждения соответствия»  
  Тема: «Математическая обработка результатов наблюдений при проведении многократных измерений»  
  Тема: «Поверка средства измерений».  
  Тема: «Виды средств измерений. Линейные измерения. Определение метрологических показателей средств измерения»  
Итого  

 

6.1.3 Вопросы к экзамену

1. Охарактеризуйте понятие технического регулирования? Его цели, задачи.

2. Перечислите категории государственного регулирования?

3. Назовите и охарактеризуйте формы регулирующих мер?

4. Охарактеризуйте значение Всемирной торговой организации в разработке основных вопросов, связанных с режимом международной торговли товарами и услугами?

5. Охарактеризуйте принципы технического регулирования?

6. Охарактеризуйте систему федеральных органов исполнительной власти РФ?

7. Назовите и охарактеризуйте принципы технического регулирования в РФ?

8. Перечислите основные инструменты технического регулирования в РФ?

9. Охарактеризуйте понятие «технический регламент», его роль в системе технического регулирования РФ?

10. Охарактеризуйте функции, права и обязанности органов государственного контроля (надзора) за соблюдением требований технических регламентов?

11. Назовите цели, задачи и принципы стандартизации в РФ?

12. Охарактеризуйте объекты и функции стандартизации в РФ?

13. Назовите национальный орган РФ по стандартизации? Его полномочия.

14. Охарактеризуйте национальную систему по стандартизации РФ?

15. Назовите и охарактеризуйте методы стандартизации?

16.Назовите и охарактеризуйте виды национальных стандартов РФ?

17. Охарактеризуйте особенности стандартизация услуг в РФ?

18. Перечислите и охарактеризуйте международные организации по стандартизации?

19.Что такое размер и размерность ФВ, возможные математические действия над ними, приведите примеры?

20. Раскройте понятие международной системы единиц ФВ? Назовите основные и производные единицы ФВ.

21. Что такое измерение? Перечислите существующие виды измерений.

22. Дайте определение методике выполнения измерений?

23. Дайте определение понятию средство измерения. Перечислите виды средств измерения?

24. Что такое класс точности СИ? Их обозначения.

25. Дайте понятие погрешность измерения. Назовите виды погрешностей, причины возникновения?

26. Охарактеризуйте требования к эталонам единиц величин?

27. Особенности процедуры поверки средств измерений?

28. Назовите органы и службы по метрологии РФ. Международные и региональные организации по метрологии?

29. Охарактеризуйте государственный метрологический надзор?

30. Что такое калибровка средств измерений?

31. Назовите и охарактеризуйте цели оценки соответствия?

32. Перечислите объекты оценки соответствия?

33. Что понимается под деятельностью по оценке соответствия первой, второй и третьей стороной?

34. Охарактеризуйте понятие подтверждение соответствия?

35. Назовите и охарактеризуйте цели и принципы подтверждения соответствия?

36. Охарактеризуйте методы оценки соответствия?

37. Перечислите и охарактеризуйте формы подтверждения соответствия?

38. Охарактеризуйте существующие знаки соответствия при оценке, проводимой третьей стороной?

39. Охарактеризуйте особенности сертификации услуг?

40.Охарактеризуйте международные организации по сертификации?

 

6.1.4 Критерии оценки выполнения лабораторно-практических работ и самостоятельной работы

 

Проверка выполнения заданий осуществляется преподавателем в установленные графиком сроки на лабораторных занятиях и консультациях. Преподавателем проверяется правильность ответов на контрольные вопросы в форме индивидуального собеседования, обсуждения (дискуссии) в учебной группе (подгруппе), а также в форме проверки письменных работ (в том числе контрольных).

Качество выполненных работ оценивается по 5 бальной системе (или 100 бальной рейтинговой) в соответствии со следующими критериями:

· оценка 5 баллов (или от 90 до 100) выставляется если:

- все задания выполнены в полном объеме, качественно;

- выполненные задания представлены на проверку строго по установленному графику;

- при устном собеседовании даны полные исчерпывающие ответы на вопросы преподавателя

· оценка 4 балла (или от 75 до 89) выставляется если:

- все задания выполнены в полном объеме, но допущены несущественные недостатки;

- выполнено не менее 75% заданий в полном объеме, качественно;

- выполненные задания представлены на проверку строго по установленному графику;

- ответы на вопросы преподавателя при устном собеседовании содержат некоторые недостатки;

· оценка 3 балла (или от 60 до 74) выставляется если:

- все задания выполнены в полном объеме, но содержат ошибочные сведения;

- выполнено менее 75% заданий;

- выполненные задания представлены на проверку с нарушением установленного графика;

- ответы на вопросы преподавателя при устном собеседовании содержат существенные недостатки;

· оценка 2 балла (или менее 60) выставляется если:

- выполнено менее 50% заданий, которые содержат большой объем ошибочных сведений;

- выполненные задания представлены на проверку с нарушением установленного графика;

- ответы на вопросы преподавателя при устном собеседовании неудовлетворительные.

Результаты оценки выполнения студентом лабораторных работ и самостоятельной работы учитываются преподавателем при текущем контроле успеваемости и промежуточной аттестации по итогам освоения дисциплины.

В случае несвоевременного выполнения студентом заданий самостоятельной работы по уважительной причине, преподаватель устанавливает индивидуальные сроки отчетности.

 

6.2 Учебно-методическое обеспечение лабораторно-практических работ и самостоятельной работы студентов

 

По разделам 1, 2,3 - Грициенко Е.Г. Техническое регулирование: учебное пособие / Е.Г.Грициенко, И.Е.Ибрагимова. – М.: Экон-Информ, 2012. – 128 с. (УМК).

 

6.3. Вопросы для самостоятельной работы

1. Концепция развития национальной системы стандартизации.

2. Стратегией обеспечения единства измерений в России до 2015 г

3.ФЗ «Об обеспечения единства измерений» (от 26.06.08 г. № 102)

4.Воспроизведение единиц физических единиц и передача из размеров. Измерительные сигналы.

 

7. Учебно-методическое и информационное обеспечение дисциплины

Основная

1.Грициенко Е.Г. Техническое регулирование: учебное пособие / Е.Г.Грициенко, И.Е.Ибрагимова. – М.: Экон-Информ, 2012. – 128 с. (УМК).

2.Димов Ю.В.Метрология, стандартизация и сертификация /Димов Ю.В./ [Текст]: учебник для вузов. - СПб.: Питер, 2010.-432 с.

3.Сергеев А.Г. Метрология/ Сергеев А.Г./ [Текст]: Учебник для вузов. -М.: Логос, 2005. - 272 с.

 

Дополнительная

1.Крылова, Г.Д. Основы стандартизации, сертификации, метрологии. [Текст] / Г.Д. Крылова. – М.: ЮНИТИ-Дана, 2007 г. – 671 с.

2.программное обеспечение и Интернет-ресурсы

1.http://www.rospotrebnadzor.ru/ Официальный сайт Федеральной службы по защите прав потребителей и благополучия человека [Электронный ресурс].

2.http://www.gost.ru/ Официальный сайт Федерального агентства по техническому регулированию и метрологии [Электронный ресурс].

3.http://www.interstandart.ru/ Официальный сайт информационной службы «Интерстандарт» Федерального агентства по техническому регулированию и метрологии [Электронный ресурс].

4.www.stq.ru/ Официальный сайт РИА «Стандарты и качество». Журнал «Стандарты и качество» [Электронный ресурс].

 

8. Материально-техническое обеспечение дисциплины (модуля)

 

Материально-техническое обеспечение дисциплины включает:

1) библиотечный фонд ФГБОУ ВПО «АГТУ»

2) компьютерный класс с выходом в Интернет;

3) мультимедийное оборудование для чтения лекций-презентаций;

4) образцы товаров;

5) приборы: прибор для измерения воздухопроницаемости материалов, фотометры, аналитические весы и другие приборы;

6) средства измерения: гибкие металлические линейки с ценой деления 1 мм и др.;

7) библиотека нормативных документов;

 

Программа составлена в соответствии с требованиями ФГОС ВПО с учетом рекомендаций и ПрООП ВПО по направлению 260800 «Технология продукции и организация общественного питания»

 

Заочное обучение

1.Структура и содержание дисциплины «Стандартизация, подтверждение соответствия, метрология»

Семестр Трудоемкость зач.ед,(час) Лекций, час Лаб.раб, час. СРС, час. Форма промежуточного контроля (экз./зачет)
  4 (144)       экзамен

 

1.2. Структура и содержание дисциплины «Стандартизация, подтверждение соответствия, метрология»

    № п/п   Раздел дисциплины Семестр   Виды учебной работы, включая самостоятельную работу студентов и трудоемкость (в часах) Образовательные технологии Формы текущего контроля успеваемости (по неделям семестра) Форма промежуточной аттестации (по семестрам)
        всего лекции лаб. раб. сам.раб.    
  Техническое регулирование.Техническое регулирование. Понятие технического регулирования. Цели и задачи. Техническое регулирование в РФ. Государственный контроль (надзор) за соблюдением требований технических регламентов.                   лекция, лаб.раб консультации препод. СРС   Опрос по контрольным вопросам. Входное тестирование.
  Добровольные требования. Стандартизация: цели, объекты, функции, принципы. Правовая основа стандартизации. Федеральный информационный фонд технических регламентов и стандартов. Виды национальных стандартов. Стандартизация услуг. Международная стандартизация..             лекция, лаб.раб консультации препод. СРС   Опрос по контрольным вопросам. .
  Оценка соответствия. Цели, объекты, субъекты, принципы, средства, методы, системы, правовая база. Системы сертификации однородной продукции. Системы добровольной сертификации РФ. Системы обязательной сертификации. Формы подтверждения соответствия.           лекция, лаб.раб консультации препод. СРС   Опрос по контрольным вопросам. .
  Метрология. Цели, объекты, субъекты, принципы, средства, методы, системы, правовая база. Поверка: понятие, порядок проведения.           лекция, лаб.раб консультации препод. СРС Опрос по контрольным вопросам. Тестирование.
    Итого                 Удельный вес занятий, проводимых в интерактивных формах 30%  

 

1.3. Вопросы для самостоятельной работы

1.Техническое регулирование в РФ.

2. Государственный контроль (надзор) за соблюдением требований технических регламентов.

3. Национальные организации по стандартизации зарубежных стран.

4. Региональные организации по стандартизации

5. Концепция развития национальной системы стандартизации.

6. Сертификация услуг.

7. Организации по сертификации.

8. Международная сертификация

9. ФЗ «Об обеспечения единства измерений» (от 26.06.08 г. № 102)

10. Основы теории измерения: уравнения, шкалы, погрешности измерений, способы обнаружения и устранения ошибок измерения.

11. Стратегией обеспечения единства измерений в России до 2015 г

12. Метрологическая надежность средств измерения. Калибровка средств измерения. Метрологические характеристики средств измерений.

13. Воспроизведение единиц физических единиц и передача из размеров. Измерительные сигналы.

 




Поделиться с друзьями:


Дата добавления: 2015-05-07; Просмотров: 352; Нарушение авторских прав?; Мы поможем в написании вашей работы!


Нам важно ваше мнение! Был ли полезен опубликованный материал? Да | Нет



studopedia.su - Студопедия (2013 - 2026) год. Все материалы представленные на сайте исключительно с целью ознакомления читателями и не преследуют коммерческих целей или нарушение авторских прав! Последнее добавление




Генерация страницы за: 0.012 сек.