Студопедия

КАТЕГОРИИ:


Архитектура-(3434)Астрономия-(809)Биология-(7483)Биотехнологии-(1457)Военное дело-(14632)Высокие технологии-(1363)География-(913)Геология-(1438)Государство-(451)Демография-(1065)Дом-(47672)Журналистика и СМИ-(912)Изобретательство-(14524)Иностранные языки-(4268)Информатика-(17799)Искусство-(1338)История-(13644)Компьютеры-(11121)Косметика-(55)Кулинария-(373)Культура-(8427)Лингвистика-(374)Литература-(1642)Маркетинг-(23702)Математика-(16968)Машиностроение-(1700)Медицина-(12668)Менеджмент-(24684)Механика-(15423)Науковедение-(506)Образование-(11852)Охрана труда-(3308)Педагогика-(5571)Полиграфия-(1312)Политика-(7869)Право-(5454)Приборостроение-(1369)Программирование-(2801)Производство-(97182)Промышленность-(8706)Психология-(18388)Религия-(3217)Связь-(10668)Сельское хозяйство-(299)Социология-(6455)Спорт-(42831)Строительство-(4793)Торговля-(5050)Транспорт-(2929)Туризм-(1568)Физика-(3942)Философия-(17015)Финансы-(26596)Химия-(22929)Экология-(12095)Экономика-(9961)Электроника-(8441)Электротехника-(4623)Энергетика-(12629)Юриспруденция-(1492)Ядерная техника-(1748)

Построение линейных анаморфоз




В химической кинетике кривые, полученные в эксперименте, стремятся путем математических операций превратить в прямые линии, поскольку анализ прямых позволяет получать параметры, включающие в себя константы скоростей реакций. Рассмотрим это на примерах обратимых и необратимых мономолекулярных реакций.

Для необратимой реакции существует линейная зависимость между логарифмом концентрации субстрата реакции и временем (см. уравнение 5):

, откуда (17)

 

 

Если найти опытным путем концентрации вещества A через разные промежутки времени после начала реакции, а затем построить график зависимости натурального логарифма концентрации от времени, то по тангенсу угла наклона полученной при этом прямой сразу находим константу скорости, поскольку она является угловым коэффициентом данной прямой (см. рис. 3).

Рис. 3. Кривая расхода субстрата мономолекулярной реакции в полулогарифмическом масштабе. Объяснения даны в тексте.

Построение линейной анаморфозы кинетической кривой для концентрации субстрата обратимой мономолекулярной реакции требует экспериментального определения равновесной концентрации субстрата , т.е. той концентрации, которая установится по источению некоторого времени и в дальнейшем не будет изменяться. Затем из экспериментальных данных рассчитывается для каждого момента времени, при котором определяли концентрации, отношение , натуральный логарифм которого откладываем по ординате графика как функцию времени (см. рис. 4). Получается прямая линия (см. уравнение 16):

откуда (18)

 

По тангенсу угла наклона этой прямой находим сумму констант скоростей прямой и обратной реакции (см. рис. 4).

Рис. 4. Кинетика обратимой мономолекулярной реакции Данные представлены в формате, позволяющем найти сумму констант скоростей прямой и обратной реакции по тангенсу угла наклона прямой. Объяснения - в тексте.

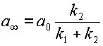
Отношение констант мы находим из уравнения 13

откуда (19)

 

Это уравнение нужно сопоставить с кривой на рисунке 2.

Мы надеемся, что читатель сумеет рассчитать константы скорости, зная их отношение и сумму.




Поделиться с друзьями:


Дата добавления: 2015-05-10; Просмотров: 2538; Нарушение авторских прав?; Мы поможем в написании вашей работы!


Нам важно ваше мнение! Был ли полезен опубликованный материал? Да | Нет



studopedia.su - Студопедия (2013 - 2026) год. Все материалы представленные на сайте исключительно с целью ознакомления читателями и не преследуют коммерческих целей или нарушение авторских прав! Последнее добавление




Генерация страницы за: 0.012 сек.