Студопедия

КАТЕГОРИИ:


Архитектура-(3434)Астрономия-(809)Биология-(7483)Биотехнологии-(1457)Военное дело-(14632)Высокие технологии-(1363)География-(913)Геология-(1438)Государство-(451)Демография-(1065)Дом-(47672)Журналистика и СМИ-(912)Изобретательство-(14524)Иностранные языки-(4268)Информатика-(17799)Искусство-(1338)История-(13644)Компьютеры-(11121)Косметика-(55)Кулинария-(373)Культура-(8427)Лингвистика-(374)Литература-(1642)Маркетинг-(23702)Математика-(16968)Машиностроение-(1700)Медицина-(12668)Менеджмент-(24684)Механика-(15423)Науковедение-(506)Образование-(11852)Охрана труда-(3308)Педагогика-(5571)Полиграфия-(1312)Политика-(7869)Право-(5454)Приборостроение-(1369)Программирование-(2801)Производство-(97182)Промышленность-(8706)Психология-(18388)Религия-(3217)Связь-(10668)Сельское хозяйство-(299)Социология-(6455)Спорт-(42831)Строительство-(4793)Торговля-(5050)Транспорт-(2929)Туризм-(1568)Физика-(3942)Философия-(17015)Финансы-(26596)Химия-(22929)Экология-(12095)Экономика-(9961)Электроника-(8441)Электротехника-(4623)Энергетика-(12629)Юриспруденция-(1492)Ядерная техника-(1748)

Однослойная плоская стенка




Конденсатор

Компрессор

Хладагент у входного отверстия компрессора — это перегретый пар при более низкой температуре и давлении. Компрессор вызывает движение хладагента благодаря зоне низкого давления в цилиндрах при всасывании. Так как давление в цилиндре ниже, чем давление пара в испарителе, хладагент поступает через всасывающий трубопровод в компрессор благодаря разнице давлений. Во всасывающем трубопроводе пар поглощает теплоту из окружающей среды, что еще более увеличивает его перегрев. При сжатии температура и давление пара увеличиваются, и нагретый пар под давлением выбрасывается в нагнетательный трубопровод.

Хладагент у входного отверстия конденсатора - это перегретый пар при высокой температуре и давлении. Так как температура окружающей среды конденсатора ниже, чем температура насыщения пара, хладагент конденсируется. Таким образом, скрытая теплота парообразования, поглощенная в испарителе, передается наружу из камеры. К тому времени, когда хладагент достигает нижней части конденсатора, он отдает достаточно сухой и скрытой теплоты, конденсируется и становится немного холоднее. Жидкость выходит из конденсатора и поступает к ресиверу в том же состоянии, в котором вышла из него. Цикл заканчивается.

 

 

Вопрос 29

 

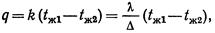
Имеется однородная плоская стенка с коэффициентом теплопроводности λ и толщиной δ. По одну сторону стенки находится горячая среда с температурой по другую – холодная с температурой tж2. Температуры поверхностей стенки неизвестны, обозначим их буквами tс1 и tс2 (рис. 6–2). Задано значение суммарного коэффициента теплоотдачи на горячей стороне α1 на холодной – α2.

При установившемся тепловом состоянии количество теплоты, переданное от горячей жидкости к стенке, равно количеству теплоты, переданному через стенку, и количеству теплоты, отданному от стенки к холодной жидкости. Следовательно, для плотности теплового потока q можно написать три выражения:

 

Из этих уравнений определяются частные температурные на поры, а именно:

 

 

Складывая их, получаем полный температурный напор:

 

из которого определяется значение плотности теплового потока

 

 

и значение коэффициента теплопередачи

 

 

Таким образом, чтобы вычислить значение коэффициента теплопередачи k для плоской стенки, необходимо знать толщину этой стенки δ, коэффициент теплопроводности λ и значения коэффициентов теплоотдачи α1 и α2.

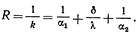
Величина, обратная коэффициенту теплопередачи, называется общим термическим сопротивлением теплопередачи. Из уравнения (6–5) эта величина равна:

 

 

 

Теплопередача через однослойную плоскую стенку; характер изменения температуры в теплоносителях и разделяющей их стенке

Из этого соотношения следует, что общее термическое сопротивление равно сумме частных:

 

 

где Rαl = 1/α1 – частное термическое сопротивление теплоотдачи со стороны горячего теплоносителя; Rλ = δ/λ – частное термическое сопротивление теплопроводности (стенки); Ra2 = 1/α2 – частное термическое сопротивление теплоотдачи со стороны холодного теплоносителя.

 

2. Многослойная плоская стенка

 

Рассматривается стенка, состоящая из нескольких, например двух, слоев (рис. 6–3). Толщины слоев δ1 и δ2, коэффициенты теплопроводности λ1 и λ2. С одной стороны находится горячая среда с температурой tж1 с другой – холодная с температурой tж2. Значение суммарного коэффициента теплоотдачи с горячей стороны α1 с холодной α2.

При установившемся тепловом состоянии системы плотность теплового потока постоянна и поэтому можно написать:

 

 

Из этих уравнений определяются частные температурные напоры:

Складывая раздельно левые и правые части уравнений, получаем полный температурный напор

 

 

из которого определяется значение плотности теплового потока 1

 

 

и значение коэффициента теплопередачи для двухслойной плоской стенки

 

 

Распределение температур при теплопередаче через плоскую одно- и многослойную стенки представлено соответственно на рис. 6–2 и 6–3.

Неизвестные температуры могут быть определены из уравнений (е):

 

Если стенка состоит из нескольких слоев толщиной δ1, δ2., δn и коэффициенты теплопроводности их соответственно λ1, λ2,…, λn, то общее термическое сопротивление теплопередачи будет равно:

 

 

В этом случае уравнение (6–5) принимает вид:

 

 

Теплопередача через многослойную плоскую стенку

 

Температуры стенки можно определить и графически. Один из таких способов был описан в гл. 1. Поэтому мы здесь рассмотрим второй, который основан на замене термического сопротивления горячей и холодной среды термическим сопротивлением твердой стенки с таким же коэффициентом теплопроводности, как и действительная стенка.

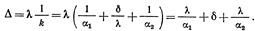
Пусть температуры наружных поверхностей воображаемой стенки соответственно равны температурам горячей и холодной среды tж1 и tж2 (рис. 6–4). Количество передаваемой теплоты остается без изменения. Тогда общая толщина Δ этой воображаемой стенки определяется из соотношения

 

 

откуда

 

 

Здесь величины λ/а1 и λ/α2 имеют размерность длины, м, они определяют собой эквивалентные толщины. При графическом построении сначала строится реальная стенка толщиной δ (в любом масштабе), затем по одну сторону от нее в том же масштабе откладывается значение λ/α1 а по другую – значение λ/α2. Из крайних точек а и b по вертикали в некотором масштабе откладываются значения температур tж1 и tж2. Полученные точки А и С соединяются прямой линией. Точки пересечения этой прямой с поверхностями действительной стенки дают значения искомых температур tс1 и

Действительно, из подобия треугольников АBС и АВЕ имеем, что DЕ/ВС = АD/АВ, откуда

Согласно уравнению (б)

следовательно, отрезок МЕ=МD-ЕD = tж1 – (tЖ1 – tc1) = tc1. Таким же путем можно показать, что отрезок NG в выбранном масштабе температуры равен tс2.

Если стенка многослойная и требуется определить лишь температуру наружных поверхностей, то построение производят точно таким же образом, как и для однослойной стенки, имея дело лишь со средним коэффициентом теплопроводности многослойной стенки. Температура же между слоями в точке А определяется по пересечению двух лучей.

 

Вопрос 30 Однородная цилиндрическая стенка

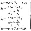
Пусть имеется цилиндрическая стенка (труба) с внутренним диаметром dl внешним d2 и длиной l. Стенка трубы однородна; ее коэффициент теплопроводности λ. Внутри трубы горячая среда с температурой tж1, а снаружи – холодная с температурой tж2. Температуры поверхностей стенки неизвестны, обозначим их через tcl и tc2 (рис. 6–6). Со стороны горячей среды суммарный коэффициент теплоотдачи α1, а со стороны холодной α2.

При установившемся тепловом состоянии системы количество теплоты, отданное горячей и воспринятое холодной средой, одно и то же. Следовательно, можно написать:

 

 

Из этих соотношений определяем частные температурные напоры:

 

 

Складывая уравнения системы (к), получаем полный температурный напор

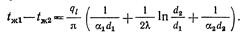
Из уравнения (л) определяется значение линейной плотности теплового потока ql

откуда линейный коэффициент теплопередачи (на 1 м длины трубы)

 

 

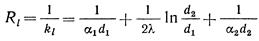
Величина, обратная линейному коэффициенту теплопередачи, 1/ kl называется линейным термическим сопротивлением теплопередачи.

Из уравнения (6–9) имеем:

 

Последнее означает, что общее термическое сопротивление равно сумме частных – термического сопротивления теплопроводности стенки и термических сопротивлений теплоотдачи и .Значения tс1 и tС2 определяются из уравнений (к).

 

4. Многослойная цилиндрическая стенка т многослойный цилиндрический

В этом случае рассматривается передача теплоты через многослойную, например двухслойную, цилиндрическую стенку. Диаметры и коэффициенты теплопроводности отдельных слоев известны. Температура горячей среды холодной tж2. Коэффициент теплоотдачи со стороны горячей среды α1 а со стороны холодной α2. Температуры поверхностей tcl и tc3 а также температура в месте соприкосновения разнородных цилиндрических слоев tс2 неизвестны.

При установившемся тепловом состоянии системы можно записать:

 

 

Определяем частные температурные напоры:

Складывая левые и правые части уравнений (н), получаем полный температурный напор

 

 

и значение линейной плотности теплового потока

 

 

Распределение температур при теплопередаче через однослойную и многослойную цилиндрические стенки показано на рис. 6–6 и 6–7 соответственно.

Линейный коэффициент теплопередачи для двухслойной стенки

 

 

а общее термическое сопротивление Rl= 1/kl. Для многослойной стенки трубы

Чтобы определить неизвестные температуры стенки tc1, tс2, tс3, надо значение ql из уравнения (6–10) подставить в уравнения (н). Решая их, получаем:

 

Способ определения температуры между слоями описан в гл. 1. Расчетные формулы теплопередачи для труб довольно громоздки, поэтому при практических расчетах применяются некоторые упрощения. Если толщина стенки не очень велика, то вместо формулы (6–8) в расчетах применяется формула для плоской стенки (6–4), которая в этом случае (в применении к трубе длиной 1 м) принимает вид:

 

где k – коэффициент теплопередачи для плоской стенки, рассчитанный по формуле (6–5), dх – средний диаметр стенки; δ – ее толщина, равная полуразности диаметров.

При этом если , то погрешность расчета не превышает 4%. Эта погрешность снижается, если при выборе dх соблюдать следующее правило:

т.е. при расчете теплопередачи по формуле (6–12) вместо dх берется тот диаметр, со стороны которого коэффициент теплоотдачи имеет меньшее значение. Если же значения коэффициентов теплоотдачи α1 и α2 одного порядка, то Ах равно среднеарифметическому между внутренним (d1) и внешним (d2) диаметрами трубы. При проведении расчетов как по формуле (6–8), так и по формуле (6–12) всегда следует иметь в виду, что в целях упрощения расчета относительно малыми сопротивлениями можно и следует пренебрегать.

 

Вопрос 31

Теплопередача — физический процесс передачи тепловой энергии от более горячего тела к более холодному либо непосредственно (при контакте), либо через разделяющую (тела или среды) перегородку из какого-либо материала. Когда физические тела одной системы находятся при разной температуре, то происходит передача тепловой энергии, или теплопередача от одного тела к другому до наступления термодинамического равновесия. Самопроизвольная передача тепла всегда происходит от более горячего тела к более холодному, что является следствием второго закона термодинамики

 

Вопрос 32 теплопередача общий коэффициент теплопередачи

Общий коэффициент теплопередачи (англ. overall thermal transfer value (OTTV)) — количество теплоты, проходящей в здание через стены или кровлю при единичной разности температуры за счет ее поступления от солнца и температурной разности снаружи и внутри.

Величина общего коэффициента теплопередачи К сильно колеблется в зависимости от условий эксплуатации теплообменника. [ 1 ]

Расхождение между расчетной и опытнойвеличинами общего коэффициента теплопередачи явилось следствием того, что при определении коэффициента теплопередачи по опытным данным мы не вводили поправочный коэффициент на средний температурный напор, который обычно вводится при отступлении движения газовых потоков от чисто противоточной схемы. [ 2 ]

Учитывая показатели - работы заводских трубчатых теплообменников [9, 29, 30], примемвеличину общего коэффициента теплопередачи к 70 ккал / м2час град. [ 3 ]

Вопрос усложняется тем, что даже небольшой слой загрязнения оказывает решающее влияние навеличину общего коэффициента теплопередачи. Это объясняется очень малой теплопроводностью грязевых отложений, а следовательно относительно большим термическим сопротивлением их. [ 4 ]

Вопрос усложняется тем, что даже небольшой слой загрязнений в некоторых случаях оказывает решающее влияние навеличину общего коэффициента теплопередачи. Это объясняется малой теплопроводностью грязевых отложений, относительно большим термическим сопротивлением их. [ 5 ]

Вопрос усложняется тем, что даже небольшой слой загрязнений в некоторых случаях оказывает решающее влияние навеличину общего коэффициента теплопередачи. Это объясняется малой теплопроводностью грязевых отложений, относительно большим термическим сопротивлением их. [ 7 ]

Вопрос усложняется тем, что даже небольшой слой загрязнений в некоторых случаях - оказывает решающее влияние навеличину общего коэффициента теплопередачи. Это объясняется малой теплопроводностью грязевых отложений, относительно большим термическим сопротивлением их. [ 8 ]

Часто при проведении ориентировочных расчетов либо когда нет достаточных данных для определения частных коэффициентов теплопередачи (сц, а2)величину общего коэффициента теплопередачи (К) можно принять по практическим данным, часть из которых приводится ниже. [ 9 ]

Если стальные трубки заменить медными, то вследствие еще более высокой теплопроводности меди (А, 350 ккал / м час - С) отношение К / 5 будет равно примерно 230000 ккал / м - час С. Обратная величина будет ничтожно мала и не повлияет навеличину общего коэффициента теплопередачи k lt который останется равным 16 9 ккал / м2 час С. Отсюда следует, что при замене стальных трубок медными не изменятся ни интенсивность теплопередачи на единицу длины трубки в единицу времени, ни температура стенок. [ 10 ]

Загрязнения теплопередающей поверхности со стороны конденсирующегося пара обычно не учитывают, влияние же термического сопротивления накипи может быть учтено лишь очень приближенно. Понятно, что образующиеся на тепло-передающей поверхности инкрустации могут существенно уменьшатьвеличину общего коэффициента теплопередачи / С. Поэтому его значение для каждого конкретного случая может быть точно определено лишь опытным путем. [ 11 ]

Приведенные формулы не учитывают влияния конденсации и испарения в двухфазных газоконденсатных потоках, загрязнения труб теплообменников, изменения полей скоростей при поворотах струи газа, наличия свободной пленки жидкости, изменения температуры потока при дросселировании газа в трубах и пр. Тем не менее эти факторы в той или иной мере влияют навеличину общего коэффициента теплопередачи. Учесть это влияние можно косвенными методами, но в этом случае и без того громоздкие расчеты практически невозможно производить для всего многообразия условий промысловой практики. [ 12 ]

Коэффициент теплоотдачи от стенки к обогреваемой среде 2 определяют при расчетах пароперегревателей и не учитывают при расчетах испарительных (поверхностей нагрева, так как влияние его в последнем случае ничтожно. Точно так же при (расчетах конвективных поверхностей нагрева можно пренебречь и тепловым сопротивлением металла стенки 6Д, которое практически очень мало. Тепловые сопротивления слоев внутреннего и внешнего загрязнений следует учитывать, особенно при поверочных расчетах передвижных паровых котлов, находившихся в эксплуатации и имеющих значительные отложения накипи, летучей золы и сажи. При расчетах проектируемых передвижных паровых котлов, когда толщина слоев загрязнений неизвестна, вместо 64Д1 и 62 / 2 вводят поправочный коэффициент квеличине общего коэффициента теплопередачи. Этот коэффициент, называемый коэффициентом использования, учитывает неполное смывание конвективной поверхности нагрева газами и их загрязнение.

 

Вопрос 33Пластинчатые медно-алюминиевые теплообменники, выпускаемые по техническим условиям ТУ 4663-028-40149153-99, предназначены для нагреваи охлаждения воздуха в системах воздушного отопления, вентиляции и кондиционирования воздуха различных конструкций.

Теплообменники предназначены для эксплуатации в районах с умеренным и холодным климатом (УХЛ3 по ГОСТ 15150).
По используемому теплоносителю теплообменники разделяются на следующие группы:
- ВНВ 243 (воздухонагреватель водяной) - в качестве теплоносителя используется горячая вода;
- ВОВ 243 (воздухоохладитель) - в качестве энергоносителя используются холодная вода, растворы этиленгликоля и пропиленгликоля.
Конструкция и технология изготовления данных теплообменников в основном идентичны.

Теплообменник состоит из одного или более рядов медных трубок с внешним диаметром 12 мм, оребрённых теплообменными элементами в виде гофрированных пластин из алюминиевой фольги толщиной 0,12…0,25 мм. Трубки объединены в группы, концы которых впаяны в коллекторы из стальных или медных труб, через которые осуществляется вход и выход теплоносителя или хладагента. Для соединения с внешней системой на коллекторах имеются специальные патрубки, обеспечивающие сварное, резьбовое или фланцевое соединение.

По согласованию с потребителем теплообменники изготавливаются с размерами фронтального сечения от 200×100 (мм) до 3000×2000 (мм).
Нагрев или охлаждение воздуха происходит при его прохождении через теплообменник в процессе взаимодействия с медными трубками и алюминиевыми пластинами.

По сравнению со стальными калориферами использование медно-алюминиевых элементов повышает эффективность теплопередачи и снижает энергозатраты, но накладывает дополнительные требования к монтажу и эксплуатации этих устройств.
Конструкция водяных теплообменников позволяетобеспечить как прямоточную (направление движениявоздуха и энергоносителя совпадают), так и противоточную (направление движения воздуха и энергоносителя противоположны) схемы подключения воды.
При выборе схемы необходимо учитывать, что работа воздухонагревателя в противоточном режиме позволяет получить прибавку 10% тепловой мощности, а использование прямоточной схемы существенно уменьшает риск замораживания теплообменника. При расчётной температуре воздуха на входе в воздухонагреватель выше минус 15 °С целесообразно применять противоточную схему, как обеспечивающую более эффективный теплосъём, а при более низких температурах - прямоточную, как более безопасную.

Для воздухоохладителя применяется только противоточная схема, т. к. угроза замораживания отсутствует.

Водяные теплообменники - аналоги калориферов типа КСк, КВБ и КВС
Этот тип теплообменников предназначен для замены теплообменников КСк, КВБ и КВС при реконструкции и ремонте существующих систем или для использования во вновь проектируемых системах вентиляции. Они имеют близкие или идентичные к аналогу габаритные размеры и теплотехнические характеристики.

Подгруппы ВНВ.243:
- однорядные с шагом ламелей 1,8 мм - используются в качестве доводчиков в системах вентиляции или в качестве нагревателей воздуха не ниже -10°С.
- двухрядные с шагом ламелей 1,8 мм или 2,2 мм используются в качестве нагревателей воздуха в системах вентиляции.
- трехрядные с шагом ламелей 1,8 мм - используются в качестве нагревателей воздуха при использовании обратной воды (режим воды 60/40 °С) или в качестве воздухонагревателей в технологических процессах (например, в камере для сушки дерева).
- четырехрядные с шагом ламелей 2,5 мм - используются в качестве воздухоохладителей в системах вентиляции.




Поделиться с друзьями:


Дата добавления: 2015-05-26; Просмотров: 2540; Нарушение авторских прав?; Мы поможем в написании вашей работы!


Нам важно ваше мнение! Был ли полезен опубликованный материал? Да | Нет



studopedia.su - Студопедия (2013 - 2026) год. Все материалы представленные на сайте исключительно с целью ознакомления читателями и не преследуют коммерческих целей или нарушение авторских прав! Последнее добавление




Генерация страницы за: 0.012 сек.