Студопедия

КАТЕГОРИИ:


Архитектура-(3434)Астрономия-(809)Биология-(7483)Биотехнологии-(1457)Военное дело-(14632)Высокие технологии-(1363)География-(913)Геология-(1438)Государство-(451)Демография-(1065)Дом-(47672)Журналистика и СМИ-(912)Изобретательство-(14524)Иностранные языки-(4268)Информатика-(17799)Искусство-(1338)История-(13644)Компьютеры-(11121)Косметика-(55)Кулинария-(373)Культура-(8427)Лингвистика-(374)Литература-(1642)Маркетинг-(23702)Математика-(16968)Машиностроение-(1700)Медицина-(12668)Менеджмент-(24684)Механика-(15423)Науковедение-(506)Образование-(11852)Охрана труда-(3308)Педагогика-(5571)Полиграфия-(1312)Политика-(7869)Право-(5454)Приборостроение-(1369)Программирование-(2801)Производство-(97182)Промышленность-(8706)Психология-(18388)Религия-(3217)Связь-(10668)Сельское хозяйство-(299)Социология-(6455)Спорт-(42831)Строительство-(4793)Торговля-(5050)Транспорт-(2929)Туризм-(1568)Физика-(3942)Философия-(17015)Финансы-(26596)Химия-(22929)Экология-(12095)Экономика-(9961)Электроника-(8441)Электротехника-(4623)Энергетика-(12629)Юриспруденция-(1492)Ядерная техника-(1748)

Краткие характеристики психодиагностических методик. Вопрос № 33, 34 33. Трение скольжения




Вопрос № 33, 34 33. Трение скольжения. Статический и динамический коэффициенты трения скольжения. Угол трения.34. Трение качения. Момент трения качения. Коэффициент трения качения и его размерность

Вопрос № 32 Докажите как определяются координаты центра тяжести однородных тел простейшей формы (дуги окружности, сектора

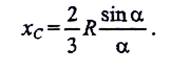
2. Центр тяжести площади кругового сектора. Рассмотрим круговой сектор ОАВ радиуса R с центральным углом 2а (рис. 1.48, б).

Разобьем мысленно площадь сектора радиусами на элементар­ные секторы. Эти секторы можно рассматривать как треугольники, цен­тры тяжести которых лежат на дуге DE радиуса

Следовательно, центр тяжести сектора ОАВ будет совпадать с центром тяжести дуги DE, положение которого найдем по формуле (3). Окончательно получим

(4) При сектор превращается в полукруг. В этом случае

 

Выше мы предполагали, что тела абсолютно твердые, а поверх­ности соприкасающихся тел идеально гладкие. Б этом случае сила реак­ции всегда направлена по нормали к общей касательной в точке сопри­косновения, т.е. ее направление не зависит от величин и направлений действующих на тело активных сил. В действительности же абсолютно твердых и идеальных тел в природе нет, и поэтому направление силы реакции при равновесии тела зависит от активных сил.

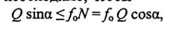
Разложим реакцию R шероховатой поверхности на составляющие N и F. Со­ставляющая N, направленная по нормали к поверхностям соприкосновения, называется нормальной силой реакции, а составляющая F, находящаяся в касательной плоскости со­прикасающихся поверхностей - силой трения скольжения. В инженерных расчетах при учете сил трения обычно руководствуются приближенными, установленными опытным путем свойствами или за­конами трения. Приложенная к телу сила трения направлена в сторону, противоположную направлению возможного скольжения (рис. 1.52).

Величина силы трения зависит от активных сил, действующих на тело, и может принимать любые значения от нуля до Fmax, которое достигается в момент нарушения равновесия. Предельное значение силы трения Fmax пропорционально нормальной силе реакции:

(1)

Безразмерный коэффициент пропорциональности/, называется статическим коэффициентом трения скольжения. Он определяется опытным путем и зависит от материала соприкасающихся поверхностей, чистоты их обработки и, в довольно широких пределах не зависит от площади соприкосновения тел. При равновесии сила трения F всегда меньше или равна предельной силе трения Fmax, т.е.

(2) Знак равенства соответствует предельному равновесию.

При скольжении одного тела по поверхности другого сила тре­ния направлена противоположно относительной скорости и равна про­изведению динамического коэффициента трения f на величину нор­мальной силы реакции. Динамический коэффициент трения/несколько меньше статического

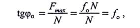
В случае предельного равновесия сила трения достигает своего максимального значения, реакция R отклонена от нормали на наиболь­ший угол ф0. Этот наибольший угол фо называется углом трения.

Из рис. 1.52 следует, что

(3)

т.е. тангенс угла трения равен статическому коэффициенту трения

скольжения.

Если действующие на тело силы приводятся к равнодействующей, линия действия которой проходит через точку касания А тела с шероховатой поверхно­стью и образует с нормалью в этой точке угол а (рис. 1.53), то легко заметить, что для того, чтобы равновесие тела не нару­шалось, необходимо, чтобы

откуда

Это значит, что никакая сила, образующая с нормалью угол а, меньший угла трения, сдвинуть тело не может.

Другой вид трения возникает при качении одного тела по по­верхности другого и называется трением качения.

Приложим к оси цилиндрического катка радиуса г горизонталь­ную силу Q (рис. 1.54). Кроме силы Q, на каток действует сила тяжести Р и сила реакции М. Как показывает опыт, при изменении величины си­лы Q от нуля до некоторого предельного значения каток будет оставать­ся в покое, т.е. силы, действующие на каток, уравновешены. По теореме о трех уравновешенных силах, силы Q, Р и R схо­дящиеся, т.е. линия действия силы R проходит через центр катка, а ее точка приложения В смещена от вертикали, проходящей через точку касания, на некоторое расстояние 6. Разложим реакцию R на составляющие: нормальную N и каса­тельную F, являющуюся силой трения. Теперь легко заметить, что в предельном положении равновесия катка к нему приложены две взаим­но уравновешивающихся пары (Q, Fmax) и (Р, N). Момент второй пары называется моментом трения качения и определяется формулой

(4)

Входящая в формулу (4) линейная величина 6 называется коэффициен­том трения качения, который определяется экспериментально и изме­ряется в единицах длины.

Перенесем силу N параллельно в точку А и, пользуясь теоремой о параллельном переносе силы, приложим к катку присоединенную пару с моментом, равным моменту трения качения m. Тогда силы, дейст­вующие на каток, можно изобразить так, как показано на рис. 1.55. Та­кую расстановку сил удобно применять при решении задач, т.к. при этом нет необходимости изображать на чертеже деформацию тел.

 

 

Бланковые методики – составляют большинство из них. В них испытуемому

предлагают серию суждений или вопросов. По полученным ответам судят о

психологии испытуемого.

Эти методики просты для разработки, использования и обработки результатов.

Опросные методики – занимают второе место по частоте применения. В них

испытуемому задают устные вопросы, отмечают и обрабатывают его ответы.

Недостатки:

· субъективность, которая проявляется как в выборе самих вопросов, так

и в интерпретации ответов на них;

· эти методики трудно стандартизировать, а следовательно, добиться

высокой надежности и сравнимости результатов.

Рисуночные психодиагностические методики – используют созданные

испытуемым рисунки, которые могут иметь тематический или спонтанный характер.

Иногда используется прием интерпретации испытуемым готовых изображений.

Проективные методики – в свою очередь могут быть бланковыми, опросными,

рисуночными. Применяются все чаще, т. к. методики этой группы наиболее валидные

и информативные.

Объективно-манипуляционные методики – в которых решаемые испытуемыми

задачи предлагаются им в форме реальных предметов, с которыми предстоит нечто

сделать – собрать, изготовить, разобрать и т. п.

Более развернутую классификацию психодиагностических методик можно

представить, выделив другие критерии (см. табл. 1)

Таблица 1. Классификация психодиагностических методик

 

Критерий Наменование методики Краткая характеристика
По типу применяемых тестовых задач Опросные Используются вопросы, адресуемые испытуемым
утверждающие Используются суждения или утверждения, с которыми испытуемый должен согласиться или не согласиться
Продуктивные Применяют собственную творч. продукцию испытуемых – вербальную, образную, материальную
Действенные Задание выполнить нек-рый комплекс практических действий
Физиологические П/диагностика на основе анализа непроизвольных физических или физиологических р-ций организма
По адресату используемого тестового материала сознательные Апеллирующие к сознанию испытуемого
бессознательные Направленные на неосознаваемые реакции человека
По форме представления тестового материала испытуемым бланковые Тестовый материал в письменной или иной знаковой форме (рисунок, схема и т. п.)
технические Тестовый материал в аудио-, видео-или киноформе, или ч/з иные технические устройства
сенсорные Тестовый материал в виде физических стимулов, непосредственно адресованных органам чувств
По характеру данных, используемых для выводов о результатах п/диагностики объективные Используются показатели, не зависящие от сознания и желания испытуемого или экспериментатора
субъективные Используются показатели, зависящие от желания и сознания экспериментатора или испытуемого (пример - интроспекция
По наличию в методике тестовых норм Имеющие тестовые нормы  
Не имеющие тестовых норм  
По внутренней структуре методики мономерные В них диагностируется и оценивается единственное качество
Многомерные Предназначены для п/диагностики или оценки сразу нескольких одно- или разнотипных психологических качеств человека
По типу анализа экспериментальных данных качественный Диагностируемое св-во описывается ч/з известные научные понятия
количественный Диагностируемое св-во описывается ч/з относительную степень развития его у данного человека по сравнению с другими людьми

 




Поделиться с друзьями:


Дата добавления: 2015-06-04; Просмотров: 479; Нарушение авторских прав?; Мы поможем в написании вашей работы!


Нам важно ваше мнение! Был ли полезен опубликованный материал? Да | Нет



studopedia.su - Студопедия (2013 - 2026) год. Все материалы представленные на сайте исключительно с целью ознакомления читателями и не преследуют коммерческих целей или нарушение авторских прав! Последнее добавление




Генерация страницы за: 0.008 сек.