Студопедия

КАТЕГОРИИ:


Архитектура-(3434)Астрономия-(809)Биология-(7483)Биотехнологии-(1457)Военное дело-(14632)Высокие технологии-(1363)География-(913)Геология-(1438)Государство-(451)Демография-(1065)Дом-(47672)Журналистика и СМИ-(912)Изобретательство-(14524)Иностранные языки-(4268)Информатика-(17799)Искусство-(1338)История-(13644)Компьютеры-(11121)Косметика-(55)Кулинария-(373)Культура-(8427)Лингвистика-(374)Литература-(1642)Маркетинг-(23702)Математика-(16968)Машиностроение-(1700)Медицина-(12668)Менеджмент-(24684)Механика-(15423)Науковедение-(506)Образование-(11852)Охрана труда-(3308)Педагогика-(5571)Полиграфия-(1312)Политика-(7869)Право-(5454)Приборостроение-(1369)Программирование-(2801)Производство-(97182)Промышленность-(8706)Психология-(18388)Религия-(3217)Связь-(10668)Сельское хозяйство-(299)Социология-(6455)Спорт-(42831)Строительство-(4793)Торговля-(5050)Транспорт-(2929)Туризм-(1568)Физика-(3942)Философия-(17015)Финансы-(26596)Химия-(22929)Экология-(12095)Экономика-(9961)Электроника-(8441)Электротехника-(4623)Энергетика-(12629)Юриспруденция-(1492)Ядерная техника-(1748)

Алгоритм решения. Сортамент древесины не позволяет перекрывать деревянными балками пролеты более 6м




ЗАДАНИЯ

ТЕОРЕТИЧЕСКАЯ ЧАСТЬ

Сортамент древесины не позволяет перекрывать деревянными балками пролеты более 6м. Шаг балок ограничен 1,5м. В конструкциях покрытий для опирания стропильных ног применяют прогоны из досок, брусьев, бревен.

Расчет на прочность по нормальным напряжениям производится по формуле:

 

Расчет на прочность по скалыванию следует выполнять по формуле:

 

Прогибы деревянных балок рассчитываются аналогично стальным.

Подобрать сечение деревянной балки перекрытия жилого дома. Материал: сосна 1сорт

Вариант                                
qпперекрытия, кн/м 2,8 2,6 2,4 2,2 2,0 1,8 1,6 1,5 1,4 3,0 2,8 2,6 2,4 2,2 2,0 1,8
qперекрытия, кн/м 3,8 3,6 3,4 3,2 2,8 2,6 2,5 2,4 2,0 4,1 3,8 3,5 3,2 2,9 2,7 2,6
L, м     4,5 4,5     5,5 5,5     4,5     5,5 5,5  
а, м 0,8 0,8 0,8 1,0 1,0 1,0 1,2 1,2 1,2 0,8 0,8 0,8 1,0 1,0 1,0 1,2
Вариант                                
qпперекрытия, кн/м 2,8 4,0 4,8 4,6 4,4 4,2 4,0 3,8 3,6 3,4 3,0 3,2 3,4 3,6 3,8 5,0
qперекрытия, кн/м 3,8 5,2 6,4 6,2 5,8 5,6 5,3 4,9 4,6 4,4 3,8 3,9 4,2 4,7 4,8 6,5
L, м 3,5   4,5   5,5   5,5 4,5       5,5 5,5 4,5    
а, м 0,8 0,8 0,8 1,0 1,0 1,0 1,2 1,2 1,2 0,8 0,8 0,8 1,0 1,0 1,0 1,2


1. Предварительно принимаем собственный вес 1 п.м. балки

2. Собираем нагрузку на погонный метр балки с учетом её собственного веса

lгр = а

С учетом коэффициента надежности по ответственности γп = 0, 95 (для жилого дома)

q = q 0,95

3. Находим расчетную длину балки l0= L - 40 – 180/2 – 180/2 =,мм

4. Принимаем расчетную схему балки как шарнирную с равномерно распределенной нагрузкой

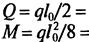
5. Находим максимальные значения поперечной силы и изгибающего момента

 

6. Определяем расчетные сопротивления изгибу и расчетные сопротивления скалыванию (табл.3 СНиП)

 

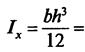
7. Определяем требуемый момент сопротивления сечения

, см3

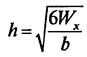
8. Приняв ширину балки по сортаменту b = … см, (5; 6; 7,5; 10см) определяем требуемую высоту балки

 

 

9. Производим проверку принятого сечения

· Определяем фактические значения геометрических характеристик сечения

 

· Проверяем прочность по нормальным напряжениям

· Проверяем прочность по касательным напряжениям

≤Rск,

· Проверяем прогиб, зная что модуль упругости древесины вдоль волокон Е =1000 кн/см2. f ≤ fu Предельный прогиб fu = L /150

 

Вывод: Подобранное сечение размерами …х… обеспечивает необходимую прочность и жесткость деревянной балки.

 

ВЫПОЛНИТЬ ЭСКИЗ СЕЧЕНИЯ

 

 

4. КОНТРОЛЬНЫЕ ВОПРОСЫ ДЛЯ САМОПРОВЕРКИ:

 

1. Разрешается ли глухая заделка торцов деревянных балок в капитальные стены?

2. Какие факторы влияют на прочность древесины при изгибе?

3. Как обеспечивается жесткость деревянной балки?

 

 

Литература: В.И. Сетков «Строительные конструкции»,М.,

ИНФРА-М,2009, с. 199 - 203

 




Поделиться с друзьями:


Дата добавления: 2015-07-02; Просмотров: 912; Нарушение авторских прав?; Мы поможем в написании вашей работы!


Нам важно ваше мнение! Был ли полезен опубликованный материал? Да | Нет



studopedia.su - Студопедия (2013 - 2026) год. Все материалы представленные на сайте исключительно с целью ознакомления читателями и не преследуют коммерческих целей или нарушение авторских прав! Последнее добавление




Генерация страницы за: 0.012 сек.