Студопедия

КАТЕГОРИИ:


Архитектура-(3434)Астрономия-(809)Биология-(7483)Биотехнологии-(1457)Военное дело-(14632)Высокие технологии-(1363)География-(913)Геология-(1438)Государство-(451)Демография-(1065)Дом-(47672)Журналистика и СМИ-(912)Изобретательство-(14524)Иностранные языки-(4268)Информатика-(17799)Искусство-(1338)История-(13644)Компьютеры-(11121)Косметика-(55)Кулинария-(373)Культура-(8427)Лингвистика-(374)Литература-(1642)Маркетинг-(23702)Математика-(16968)Машиностроение-(1700)Медицина-(12668)Менеджмент-(24684)Механика-(15423)Науковедение-(506)Образование-(11852)Охрана труда-(3308)Педагогика-(5571)Полиграфия-(1312)Политика-(7869)Право-(5454)Приборостроение-(1369)Программирование-(2801)Производство-(97182)Промышленность-(8706)Психология-(18388)Религия-(3217)Связь-(10668)Сельское хозяйство-(299)Социология-(6455)Спорт-(42831)Строительство-(4793)Торговля-(5050)Транспорт-(2929)Туризм-(1568)Физика-(3942)Философия-(17015)Финансы-(26596)Химия-(22929)Экология-(12095)Экономика-(9961)Электроника-(8441)Электротехника-(4623)Энергетика-(12629)Юриспруденция-(1492)Ядерная техника-(1748)

Параллельный перенос осей координат




Площадь треугольника

 

Требуется найти площадь треугольника ABC с вершинами A(x1;y1), В(х22), С(х3; у3).

 

Решение: Опустим из вершин А, В, С перпендикуляры АА1, ВВ1, СС1 на ось Ох (см. рис. 27). Очевидно, что

 

SABC = SAA1B1B + SB1BCC1 – SA1ACC1

Поэтому

Замечание: Если при вычислении площади треугольника получим S = 0, то это означает, что точки А, В, С лежат на одной прямой, если же получим отрицательное число, то следует взять его модуль.

 

3. Преобразование системы координат

 

Переход от одной системы координат в какую-либо другую называется преобразованием системы координат.

Рассмотрим два случая преобразования одной прямоугольной системы координат в другую. Полученные формулы устанавливают зависимость между координатами произвольной точки плоскости в разных системах координат.

 

 

Пусть на плоскости задана прямоугольная система координат Оху. Под параллельным переносом осей координат понимают переход от систе­мы координат Оху к новой системе O1x1y1, при котором меняется поло­жение начала координат, а направление осей и масштаб остаются неизменными.

Пусть начало новой системы координат точка O1 имеет координаты оо) в старой системе координат Оху, т. е. O1(x0;y0). Обозначим координаты произвольной точки М плоскости в системе Оху через (х;у), а в новой системе O1x1y1 через (х';у') (см. рис. 28).

Рис. 28.

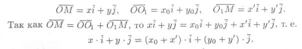
Рассмотрим векторы

 

Следовательно,

 

Полученные формулы позволяют находить старые координаты х и у по известным новым х' и у' и наоборот.

 




Поделиться с друзьями:


Дата добавления: 2015-06-28; Просмотров: 660; Нарушение авторских прав?; Мы поможем в написании вашей работы!


Нам важно ваше мнение! Был ли полезен опубликованный материал? Да | Нет



studopedia.su - Студопедия (2013 - 2026) год. Все материалы представленные на сайте исключительно с целью ознакомления читателями и не преследуют коммерческих целей или нарушение авторских прав! Последнее добавление




Генерация страницы за: 0.014 сек.