Студопедия

КАТЕГОРИИ:


Архитектура-(3434)Астрономия-(809)Биология-(7483)Биотехнологии-(1457)Военное дело-(14632)Высокие технологии-(1363)География-(913)Геология-(1438)Государство-(451)Демография-(1065)Дом-(47672)Журналистика и СМИ-(912)Изобретательство-(14524)Иностранные языки-(4268)Информатика-(17799)Искусство-(1338)История-(13644)Компьютеры-(11121)Косметика-(55)Кулинария-(373)Культура-(8427)Лингвистика-(374)Литература-(1642)Маркетинг-(23702)Математика-(16968)Машиностроение-(1700)Медицина-(12668)Менеджмент-(24684)Механика-(15423)Науковедение-(506)Образование-(11852)Охрана труда-(3308)Педагогика-(5571)Полиграфия-(1312)Политика-(7869)Право-(5454)Приборостроение-(1369)Программирование-(2801)Производство-(97182)Промышленность-(8706)Психология-(18388)Религия-(3217)Связь-(10668)Сельское хозяйство-(299)Социология-(6455)Спорт-(42831)Строительство-(4793)Торговля-(5050)Транспорт-(2929)Туризм-(1568)Физика-(3942)Философия-(17015)Финансы-(26596)Химия-(22929)Экология-(12095)Экономика-(9961)Электроника-(8441)Электротехника-(4623)Энергетика-(12629)Юриспруденция-(1492)Ядерная техника-(1748)

Организация труда




ОРГАНИЗАЦИЯ ТРУДА, ТЕХНИЧЕСКОГО НОРМИРОВАНИЯ И ЗАРАБОТНОЙ ПЛАТЫ.

Основой и важнейшей частью производственного процесса является организация труда. Цель организации труда - создать условия обеспечивающие непрерывную работу в течение полной смены и наибольшую производительность труда рабочего, благодаря эффективному использованию оборудования, материально-технических ресурсов и рабочего времени, применению новой техники и передовых методов труда, механизации и автоматизации производственных процессов. На судоремонтных предприятиях, как и на любом предприятии, организацию труда осуществляют на научной основе, подтвержденной инженерно-экономическими расчетами. Хорошая организация труда - это основа роста его производительности.

Важнейшие условия современной организации труда - правильное распределение труда между участниками производственного процесса путем внедрения научных организаций труда (НОТ).

Как правило, НОТ охватывает все стороны производственной деятельности и основана на современных достижениях науки и техники, передового опыта. Главными направлениями, в которых ведутся работы в области НОТ, являются следующие:

выработка рациональных форм

• разделение (специализации) и кооперации труда;

•улучшение организации и обслуживания рабочих мест;

•изучение и распространение передового опыта приемов и


нормирование труда;

• всемерное облегчение и оздоровление труда;

•улучшение подготовки кадров и постоянное повышение их культурно-технического уровня;

•разработка прогрессивных форм и методов труда и организации производства (укрупненные комплексные бригады, цеховые и бригадный хозрасчет, ремонт судов хозрасчетными прорабскими участками, арендными участками и др.)

• совершенствование нормирование труда и системы заработной платы.

Основой рациональной организации труда является разделение труда и специализация рабочих (бригад), рабочих мест, кооперация труда. Для судоремонтного производства характерны следующие формы специализации и разделение труда:

технологическая - по видам работ, профессиям и специальностям пооперационная - базирующаяся на расчленение технологического процесса на отдельные операции;

По функциям работы - отделение вспомогательных и подсобных работ от основных;

По квалификации - в зависимости от сложности выполняемых работ.

Распределение трудовых функций по технологическому принципу между работниками разных специальностей способствует быстрейшему освоению трудовых навыков углублению профессиональных знаний и росту производительности труда.

При разделении труда по операциям технологического процесса можно выявить и механизировать ручные работы, специализировать рабочих на выполнение одной или нескольких операций, и закрепить операции за определенными рабочими местами. Этот вид разделения труда позволяет отделить квалифицированные работы от неквалифицированных, когда более квалифицированный рабочий выполняет сложные элементы работы, а менее квалифицированный - простейшие ее элементы. Такой вид разделения труда создает предпосылки коллективного труда т.е. бригадного.

Отделение основной работы, например, ремонт узлов и секций корпуса судна, на котором заняты сборщики, сварщики, газорезчики, грунтовщики и др. от вспомогательной, например, ремонт основного технологического оборудования и средств механизации его наладки, который выполняют слесари, электромонтеры, смазчики, станочники и др. дает возможность освободить производственного рабочего от обслуживания рабочего места. Разделение труда не только исключает, но и часто делает целесообразным совмещение функций. Объединение труда рабочих различных профессий, осуществляется созданием комплексных бригад. Примером может служить комплексная бригада по ремонту двигателей внутреннего сгорания, в состав которой входят слесари, станочники, сборщики и др.

Одной из форм совершенствования организации труда является рациональная кооперация в трудовом процессе, которая выражается во


взаимосвязи между отдельными исполнителями в бригадах, специализированными производственными участками и цехами в едином процессе судоремонта.

Следовательно, разделение труда при установленной четкой ответственности исполнителей за участок работы и его кооперация заключается в специализации деятельности работающих на предприятии и установление взаимосвязей между отдельными рабочими во время выполнения производственного задания на основе данной технической базы и существующих форм организации производства. В каждом конкретном случае надо применять такие формы деференцации и интеграции работ, которые обеспечат наибольшую экономию трудовых ресурсов. Специфика судоремонта не позволяет провести полное разделение труда, как при крупно серийном или массовом производстве. Здесь главной задачей является выполнение отдельных операций технологического цикла с максимальной загрузкой каждого исполнителя.

Одно из основных направлений совершенствования разделения труда и специализации - совмещение профессий и многостаночное обслуживание. Совмещение профессий, вызванное необходимостью более полно использовать рабочее время и загружать оборудование, представляет такую форму организации труда, при которой рабочий выполняет функции, относящиеся к различным профессиям. Благодаря совмещению профессий сохраняются и ликвидируются потери рабочего времени из-за ожидания рабочих смежных специальностей, и обеспечивается рост производительности труда.

Многостаночное обслуживание - это такая форма организации труда, когда рабочие или бригады обслуживают одновременно оборудование на котором выполняют одинаковые операции или обрабатывают разные детали. Совмещение профессий повышает эффективность и степень использование оборудования и рабочих мест при многостаночном обслуживании.

Для выбора оптимальной схемы организации труда необходимо совершенствование трудовых процессов на каждом рабочем месте.

Рабочее место - часть производственной площади цеха или судна, на которой размещены один или несколько исполнителей работы и обслуживаемая ими единица технологического оборудования или части конвейера, а также оснастки и инструмента.

Каждое рабочее место имеет свои особенности и зависит от формы организации труда - индивидуальной или бригадной. Все рабочие места могут быть классифицированы по следующей схеме рис.2.7.


Рис.2.7. Классификация рабочих мест

Применение индивидуальной формы организации труда, целесообразно, если за оператором полностью закреплено изготовление изделия или если отсутствует тесная взаимосвязь операции в процессе труда, а также, если средства оснащенности рабочего места позволяют более полно использовать квалификацию каждого исполнителя, например, техническое обслуживание форсунки дизеля.

Бригадную форму (коллективную) организации труда целесообразно использовать на таких видах работ, где трудно или невозможно расчленить операцию между отдельными исполнителями и для ее выполнения требуется четкое взаимодействие нескольких рабочих.

На судоремонтных предприятиях широко применяется бригадная форма организации труда при ремонте корпусных, малярных, демонтажно-монтажных, трубопроводных, такелажных и др. работ. Такая форма организации труда является наиболее рациональной и экономически эффективной для разделения и кооперации труда рабочих, способствует созданию условий совмещения профессий, а также объединению работающих для совместного выполнения производственных заданий, т.е. созданию бригад. Известно, что виды и число бригад, их производственные связи формируются в зависимости от заданной производственной программы (номенклатуры, объема и сложности работ).

Специализированные бригады создаются, когда по условиям

производства требуется специализация рабочих мест для выполнения однородных технологических процессов. Такие бригады состоят из рабочих одной профессии, как правило, различной квалификации (например, бригады слесарей судоремонтников по ремонту главных и вспомогательных


двигателей внутреннего сгорания, судокорпусников по ремонту конструкций металлического корпуса судов, судовых котельщиков по ремонту паровых котлов, токарей, судовых такелажников и др.)

Комплексные бригады создаются для выполнения определенных комплексов технологически разнородных, но взаимосвязанных работ имеющих относительно постоянный объем и требующих участия рабочих различных профессий и квалификаций (например, бригады по доковому ремонту судов в составе слесарей судоремонтников, судокорпусников-ремонтников, электросварщиков, трубопроводчиков, такелажников; бригады по ремонту люковых закрытий и дельных вещей в составе судокорпусников-ремонтников, слесарей судоремонтников, электросварщиков, такелажников и

ДР-)

Комплексные бригады играют прогрессивную роль в повышении

уровня предметной замкнутости внутрицеховых подразделений судоремонтных предприятий. Использование комплексных бригад в судоремонте наиболее целесообразно при создании специализированных участков с замкнутым циклом производства, что позволяет сократить затраты времени на взаимоувязку выполняемых работ, обеспечить непрерывность производственного процесса.

Укрупненные комплексные бригады (УКБ) создаются для выполнения значительных объемов работ, чаще из рабочих различных профессий и квалификаций (например, бригады по доковому ремонту судов, ремонту люковых закрытий и др.). При этом необходимо соблюдать следующие условия: бригада должна закрепляться за определенными участками, судами, доками;

Основной объем выполняемых работ должен быть сконцентрирован территориально, так как в противном случае затрудняется кооперирование труда в бригаде, резко усложняется управление бригадой и укрупненная бригада фактически распадается.

Создание хозрасчетного прорабского участка (ХПУ) который является самостоятельным производственным подразделением завода (укрупненной комплексной бригадой переменного состава действующей на период ремонта данного судна), возглавляемой старшим прорабом. Прораб формирует ХПУ из бригад, звеньев и рабочих производственных цехов и участков завода. Состав и численность ХПУ зависит от объемов работ на объекте в соответствии с производственным заданием. Наиболее рациональной системой работы ХПУ является метод прорабского подряда.

Сквозные бригады создаются, когда производственная необходимость требует выполнение работ в две три смены (например, УКБ по доковому ремонту судов).

В последние годы находит применение еще одна форма организации труда на основе арендных отношений. На Новороссийском судоремонтном заводе организован арендный подряд в механозаготовительном производстве, включающий в себя литейный, кузнечный и станочный


участки. Созданы также специализированные производства (котельное и трубопроводное) на основе арендных отношений.

Основой организации труда является рабочее место.

2.3.2.2.Организация рабочих мест - важнейшая составная часть
организации труда на производстве. Под организацией труда рабочего
места подразумеваются его оснащение, планировка, система четкого
обслуживания, создания хороших условий и обеспечение безопасности
работающего.

Оснащение рабочих зависит от типа производства и характера выполняемых работ и включает оборудование, инструмент, приспособления, инвентарь, подъемно-транспортные средства и др.

Планировка рабочих мест должна обеспечить целесообразное размещение оборудования и оснастки, максимальную экономию трудовых движений и условия для высокопроизводительной работы исполнителя или членов бригады.

Организация рабочего места учитывает последовательность частоту пользования инструментом, приспособлением, изменение положения предметов труда и соответственно этому определяет и удобное положение расположение на рабочем месте.

Важным элементом рациональной организации труда на рабочем месте является правильная рабочая поза, при которой снижается утомляемость. Под рабочей позой понимают определенное положение корпуса, головы, рук и ног работающего относительно предметов и орудий труда. Удобная поза «сидя-стоя», при которой рабочему не надо наклонятся вперед больше чем на 10...15°.

Особое внимание надо уделять работам, которые выполняются в согнутом положении, на коленях, лежа, и в других неудобных позах. Если по условиям труда нельзя избежать таких поз, должен быть установлен соответствующий режим отдыха и приняты профилактические меры против профессиональных заболеваний.

Обслуживание рабочего места включает ряд организационно-технических мероприятий по подготовке производства (своевременная выдача сменных заданий, рабочих нарядов, чертежей и т. п.) техническому обслуживанию оборудования, обеспечению материально-технического снабжения, контролю качества изготовляемой продукции, поддержанию надлежащего порядка.

Для обеспечения высокой работоспособности и должного здоровья работника - важнейших факторов повышения производительности труда и элементов его научной организации - необходимо создавать благоприятные условия труда, выполнять комплекс санитарно-гигиенических, физиологических, психологических и эстетических требований, касающихся шумности, температуры, влажности и чистоты воздуха, освещенности, чистоты производственного помещения и рабочего места.


Физиология и психология труда -это науки занимающиеся изучением уровня работоспособности человека и возможностей повышения его производительностей труда. Исследованиями физиологов и психологов установлено, что на производительность влияет производственная эстетика и соблюдение ее требований (удобства и внешнего вида орудий труда, формы и качественные характеристики изготовляемой продукции, сочетание цветов в рабочем пространстве при различном освещении, соответствие интерьера цеха или участка, рабочей одежде и т.д.).

Освещенность производственного помещения и рабочего места - один из важнейших факторов оказывающих влияние на производительность труда работающего. В зависимости от источника различают естественное и искусственное освещение, которое регулируется нормами проектирования промышленных предприятий. При подборе цветовых соотношений в рабочем помещении следует учитывать характер труда, санитарно-гигиенические факторы и число работающих в данном помещение. В «холодный» цвет (синий, голубой, зелено-голубой) окрашивают помещения с повышенной температурой, в «теплый» и «легкий» цвет (белый, оранжевый, алюминиевый и все светлые) - помещения с пониженной температурой. Шумы, по уровню звукового давления значительно превышающие допустимые нормы, резко снижают работоспособность.

Степень вредности шума определяется уровнем звукового давления, спектром частот, продолжительностью и регулярностью действия; уровень звукового давления измеряется в децибелах (дб).При проектировании рабочих мест, если работа сопровождается высоким уровнем звукового давления, должны быть предусмотрены специальные устройства, защищающие рабочего от его влияния.

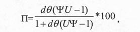
Важнейшим фактором улучшения условий и повышения производительности труда на судоремонтном предприятии является механизация производственных процессов. Показатель уровня механизации П,%, на предприятиях определяют по методике, разработанной д-ром технических наук Н.К. Лопыревым:

где d - отношение трудоемкости механизированных работ к общей трудоемкости по всему объему работ или показатель охвата работ механизацией;

q - коэффициент загрузки средств механизации по времени,

U - коэффициент эффективности средств механизации показывающий, во сколько раз по сравнению с исходной технологией, принятой за базу

сравнения, сократилось число рабочих мест (время выполнения операции) в результате применения механизации;

Y - коэффициент загрузки средств механизации по производительности.


Показатель охвата работы механизацией находят по формуле.

d=Тм/(Тр+Тм),

где Тм - фактическая трудоемкость механизированной части технологического процесса, чел.ч;

Тр - фактическая трудоемкость ручного труда который в данном процессе не механизирован, чел.ч.

Коэффициент эффективности средств механизации находят делением числа рабочих, предусмотренных исходной технологией на число рабочих, выполняющих технологические операции с применением средств механизации.

Коэффициент загрузки средств механизации по времени

q=tм/(tм+tр)=tм/tобщ

где: tм - машинное время, ч;

tр - время затраченное на выполнение ручных операций в общем времени,ч;

tобщ - общее рабочее время, ч.

Коэффициент загрузки средств механизации по производительности (мощность).

Y = Qcp/QH,

где: Qcp - средняя используемая производительность (мощность) механизма;

QH - номинальная (паспортная) производительность (мощность) механизма.

Средний показатель уровня комплексной механизации и автоматизации Пcр, %, для цеха и завода находят по формуле

где; n- определенная операция;

i - число операций;

Пср.п. - средний уровень комплексной механизации и автоматизации защит по технологическим процессам, %;

In - удельная приведенная трудоемкость цеха (завода).

Организация труда на судоремонтных предприятиях при разработке необходимо учитывать следующее имеет свои особенности.

1. Организация труда должна рассматриваться не только с
позиции наибольшей экономии и наилучшей организации труда рабочих
отдельных специальностей, бригад или участков, а с учетом максимального
сокращения срока ремонта судов.

В теоретическом плане в этом случае следует рассматривать совокупный продукт, т.е. общую экономию труда рабочих и плавсостава а не экономию конкретного труда рабочих СРЗ. Это связано с тем, что сокращение стоянки судна в ремонте на несколько суток дает значительно большую сверхплановую прибыль, чем это может достичь судоремонтный завод, при


сверхплановом снижении себестоимости работ.

Поэтому иногда для сокращения срока ремонта судов идут на увеличение трудовых затрат либо повышают оплату труда.

2. Большая сложность организации рабочих мест, так как при

ремонте судна работы приходится вести в цехе и в доках, и в различных частях и отсеках судна. Если в цехах возможно создание замкнутых рабочих мест, то при работе всех цехов это трудно или невозможно, что усложняет анализ организации труда и выработку мероприятий, направленных на улучшение условий труда. Сложными становятся вопросы рациональной планировки рабочих мест из-за тесноты на судне. Здесь требуется обеспечить легкий доступ к рабочим местам и возможность работать в удобном положении, для чего необходима установка различных лесов, подмостей, переходных временных и постоянных трапов и т.д.

3. Сложная технология судоремонтных работ:

• Большая плотность бригадных работ, усложняющая эффективную загрузку каждого рабочего;

• Индивидуальный характер производства, усложняющий оснащение рабочих инструментами, оснасткой, приспособлениями, которые в связи с этим приходится делать универсальными не всегда дающими необходимый эффект;

• Большая номенклатура работ, что создает сложность в их нормировании.

Все эти особенности должны учитываться при разработке и внедрении планов организации труда на СРЗ.

2.3.2.3. Основы технического нормирования труда

Важнейшей задачей организации труда является планомерное и целесообразное использование рабочей силы. При этом наилучшей организацией труда считается та, которая позволяет получить наименьший уровень трудовых затрат на единицу продукции, т.е. наивысшую производительность труда.

Затрата труда на производство судоремонтных работ определяется техническим нормированием.

Техническое нормирование является одним из факторов, способ­ствующим научной организации труда. Оно имеет своей целью всемерно способствовать наиболее полному выявлению и использованию резервов повышения производительности труда, снижению себестоимости продукции, улучшению использования производственных мощностей. Нормы затрат времени устанавливаются в результате: а) глубокого анализа производственных возможностей данного рабочего места; б) выявления резервов повышения производительности труда; в) наиболее полного использования научно-технических достижений, а также изучения и широкого распространения передовых методов работы; г) установления рациональной структуры операций, предусматривающей наиболее полное


использование как наличной техники, так и рабочего времени исполнителя.

Различают нормы затрат рабочего времени и нормы выработки. Нормой времени называется время, установленное на производство единицы продукции или выполнение определенной производственной операции. Норма времени выражается в различных единицах времени (в часах, минутах, секундах) на единицу продукции.

Норма выработки — величина, обратная норме времени. Норма вы­работки устанавливает количество определенной продукции, которое должно быть произведено рабочим в единицу времени, например, смену при данных организационно-технических условиях.

Норма выработки в смену определяется как частное от деления продолжительности смены в минутах на норму времени, установленную на единицу продукции:

Нвр=Т/Нвыр или Нвыр=Т/Нвр

где Нвр - норма времени в часах или минутах; Нвыр - норма выработки в штуках в смену;

Т - рабочее время за смену в минутах.

До настоящего времени в судоремонтном производстве существуют два метода нормирования вследствие индивидуального характера итого производства: опытно-статистический и аналитический.

Опытно-статистический метод нормирования основан на исполь­зовании личного опыта нормировщика, мастера, отчетных данных пред­приятий и статистической их обработки. Норма времени в целом уста­навливается на работу (операцию) без деления на отдельные составные части (переходы, проходы).

Опытно-статистические нормы отражают организацию труда и уровень техники, свойственные прошлому периоду, поэтому не стимулируют роста производительности труда. Их следует по мере возможности заменять нормами, устанавливаемыми аналитическим методом,

Аналитический метод нормирования основан на определении норм расчетным или исследовательским (экспериментальным) путем.

Нормы, полученные аналитическим путем, называются технически обоснованными.

Под технически обоснованной нормой времени понимается уста­навливаемое время на выполнение данной работы, исходя из рационального использования производственных возможностей оборудования, рабочего места, с максимальным учетом передового производственного опыта.

Выявлению действительных производственных возможностей, как отдельных рабочих мест, так и целых участков способствует изучение фактических затрат времени.

Изучение затрат, рабочего времени и их анализ производятся, по


По этой классификации все затраты рабочего времени на протяжении рабочего дня (смены) подразделяются на время работы и на время перерывов.

Время работы подразделяется в свою очередь на подготовительно-заключительное, основное (технологическое), вспомогательное и время обслуживания рабочего места.

Время перерывов подразделяется на время перерывов, не зависящих от рабочего, и время перерывов, зависящих от рабочего.

Подготовительно-заключительное время tnз затрачивается рабочим

(или бригадой рабочих) на ознакомление с порученной работой, на подготовку к ней, а также на выполнение действий, связанных с ее окончанием. Это время не зависит от продолжительности самой работы и размера партии деталей, поэтому затрачивается один раз на всю партию, на данную работу или на рабочий день. К подготовительно-заключительному времени относятся затраты времени на получение работы и наряда на работу,

ознакомление с работой (чертежом, технологической картой), наладку оборудования на требуемый режим работы, подготовку и установку необходимых приспособлений и инструмента в начале работы и снятие их в


конце работы, сдачу работы и документации. Длительность подготовительно-заключительного времени зависит от вида оборудования и характера работы.

Основное (технологическое) время to представляет собой время, в течение которого непосредственно происходят количественные и каче­ственные изменения предмета труда; его размеров и формы (станочные, кузнечные, слесарные и другие работы), взаимного расположения частей, образующих изделие или узел (разборочные и сборочные работы), внешнего вида (шлифовка, полировка и др.), структуры и физико-химических свойств металла (термическая обработка) и т. д. Основное время пропорционально объему выполняемой работы (размеру партии деталей), т. е. повторяется с каждой обрабатываемой деталью. Оно может быть машинным, машинно-ручным и ручным.

Вспомогательное время tв представляет время, затрачиваемое рабочим на выполнение действий, обеспечивающих осуществление основной работы (например, время установки и снятия обрабатываемой детали, подвода и отвода инструмента, пуска и остановки механизма, промеров изделия, смены электродов и т. д.). Вспомогательное время может быть ручным, машинно-ручным и машинным. В большинстве случаев вспомогательные работы выполняются вручную.

Время ручной вспомогательной работы может перекрываться ма­шинным временем. При расчете нормы времени учитывается только вспомогательное время, не перекрывающееся основным (машинным) временем. Вспомогательное время повторяется или с каждой деталью или через некоторое количество деталей в определенной последовательности.

Время обслуживания рабочего места to6 охватывает время, затра­чиваемое рабочим на уход за рабочим местом (механизмом, инструментом, приспособлением) на протяжении данной конкретной работы и рабочей смены.

На станочных, кузнечных и других операциях, выполняемых на оборудовании, требующем подналадки и регулировки в процессе работы, время обслуживания рабочего места подразделяется на время технического и на время организационного обслуживания, рабочего места. Время технического обслуживания рабочего места затрачивается на смену инструмента, на регулировку и подналадку механизма в процессе работы, на правку инструмента и другие действия рабочего, связанные с уходом за рабочим местом при выполнении определенной заданной работы.

Время организационного обслуживания рабочего места включает затраты времени рабочего по уходу за рабочим местом на протяжении рабочей смены (раскладка и уборка инструмента в начале и в конце смены, смазка и чистка механизма, уборка рабочего места).

Во времени перерывов, не зависящих от рабочего, различают:

• Технологические перерывы в работе рабочего, вызываемые ходом установленного технологического процесса, например, в работе токаря во


время машинно-автоматического действия станка или в работе ва­гранщика во время плавки чугуна и т.д.;

• Перерывы, вызванные организационно-техническим или
производственно-технологическими неполадками, например, задержками
в снабжении рабочего места материалом и инструментом, ожиданием
работы, нарядов и т. п.

• Время перерывов, зависящих от рабочего, подразделяется:

• Перерывы на личные (естественные) надобности, производственную гимнастику и отдых;

• Допущенные рабочим перерывы. Время на личные надобности дается обычно в размере около 2,5% от продолжительности рабочей смены.

Время на отдых устанавливается специальным нормативом в зави­симости от сложности и тяжести работы с обязательным учетом воз­можности использования времени на отдых в течение технологических перерывов.

К допущенным рабочим перерывам относятся перерывы, обусловленные нарушением трудовой дисциплины — опозданием на работу, уходом до звонка на обед, опозданием после обеденного перерыва и т. д.

В состав технически обоснованной нормы времени включаются лишь те категории рабочего времени, которые необходимы для выполнения заданной работы. К их числу относятся: подготовительно-заключительное время, основное, вспомогательное, время на обслуживание рабочего места, время перерывов на отдых и естественные надобности.

Для технологического и оперативно-календарного планирования технически обоснованная норма времени рассчитывается на единицу продукции (штучное или штучно-калькуляционное время) или на партию изготавливаемых деталей.

Сумма штучного и подготовительно-заключительного времени в доле, приходящейся на единицу выполняемой работы, называется штучно-калькуляционным временем.

Подготовительно-заключительное время устанавливается по норма­тивам или на основании фотографии рабочего времени. При расчете подготовительно-заключительного времени обращают внимание на пра­вильность организации рабочего места, т.е. подачу нарядов, инструментов, приспособлений непосредственно к рабочему месту, а также приемку готовой работы у рабочего.

Основное (технологическое время) определяется по нормативам или расчетом, в основу которого заложены зависимость основного времени от технологического режима работы оборудования.

Вспомогательное время рассчитывается в соответствии с нормативами или на основании хронометражных наблюдений.

Суммой основного (технологического) и вспомогательного неперекрываемого времени является оперативное время - главная часть технически обоснованной нормы (toп = to + tв).


Время обслуживания рабочего места устанавливается на основании нормативов и во многих случаях определяется в процентном отношении к оперативному времени.

Время регламентированных перерывов на отдых, производственную

гимнастику и естественные надобности также, обычно, устанавливается в виде коэффициента к оперативному времени.

Штучное время рассчитывается по следующей формуле:

Tш = (to+ t'В)(l-a+b) мин;

Tш = toп (1+a+b) мин,

где a - коэффициент времени обслуживания рабочего места; а =а/100 (а - процент к оперативному времени);

b - коэффициент, выражающий время на отдых и естественные

надобности.

b=b/100 (b - процент к оперативному времени).

Штучно-калькуляционное время определяется из выражения

tшк=tш+tпз/n, где п - количество деталей в партии в штуках;

tпз - подготовительно-заключительное время на партию деталей или при n=1 на деталь.

Основными методами установления технически обоснованных норм времени являются:

• метод технического расчета норм по нормативам (аналитически расчетный метод);

• метод расчета норм на основе изучения затрат рабочего времени наблюдением (аналитически-исследовательский метод);

• метод сравнения, и расчета по типовым нормам. При определении норм времени по нормативам (аналитически-расчетным методом) длительность нормируемой работы (операции) находят расчетным путем. Для этого работу (операцию) разбивают на такие элементы, для которых разработаны нормативные таблицы. Такие нормативные таблицы (нормативы) приводятся в специальных справочниках по нормированию различных работ, пользуясь которыми при малой затрате времени рассчитывают технически обоснованную норму времени.

Метод расчета норм времени на основе изучения затрат рабочего времени наблюдением (аналитически-исследовательский метод) основан на специальном исследовании операции непосредственно в производственных условиях и затрат рабочего времени на рабочих местах с помощью хронометража и фотографии рабочего дня. Особое значение этот метод имеет при изучении и обобщении передовых приемов труда, при разработке нормативов для установления технически обоснованных норм расчетным путем.

Метод сравнения и расчета по типовым нормам сводится к разработке норм на основе сопоставления и расчета типовых операций по отдельным


видам работ, типовых технологических процессов, типовой организации труда и рабочих мест.




Поделиться с друзьями:


Дата добавления: 2014-01-03; Просмотров: 3661; Нарушение авторских прав?; Мы поможем в написании вашей работы!


Нам важно ваше мнение! Был ли полезен опубликованный материал? Да | Нет



studopedia.su - Студопедия (2013 - 2026) год. Все материалы представленные на сайте исключительно с целью ознакомления читателями и не преследуют коммерческих целей или нарушение авторских прав! Последнее добавление




Генерация страницы за: 0.009 сек.