Студопедия

КАТЕГОРИИ:


Архитектура-(3434)Астрономия-(809)Биология-(7483)Биотехнологии-(1457)Военное дело-(14632)Высокие технологии-(1363)География-(913)Геология-(1438)Государство-(451)Демография-(1065)Дом-(47672)Журналистика и СМИ-(912)Изобретательство-(14524)Иностранные языки-(4268)Информатика-(17799)Искусство-(1338)История-(13644)Компьютеры-(11121)Косметика-(55)Кулинария-(373)Культура-(8427)Лингвистика-(374)Литература-(1642)Маркетинг-(23702)Математика-(16968)Машиностроение-(1700)Медицина-(12668)Менеджмент-(24684)Механика-(15423)Науковедение-(506)Образование-(11852)Охрана труда-(3308)Педагогика-(5571)Полиграфия-(1312)Политика-(7869)Право-(5454)Приборостроение-(1369)Программирование-(2801)Производство-(97182)Промышленность-(8706)Психология-(18388)Религия-(3217)Связь-(10668)Сельское хозяйство-(299)Социология-(6455)Спорт-(42831)Строительство-(4793)Торговля-(5050)Транспорт-(2929)Туризм-(1568)Физика-(3942)Философия-(17015)Финансы-(26596)Химия-(22929)Экология-(12095)Экономика-(9961)Электроника-(8441)Электротехника-(4623)Энергетика-(12629)Юриспруденция-(1492)Ядерная техника-(1748)

Проверка прочности шпоночных соединений. Шпонки призматические со скруглёнными торцами




 

Шпонки призматические со скруглёнными торцами. Размеры сечений шпонок и пазов и длины шпонок – по ГОСТ 23360–78.

Материал шпонок – сталь 45 нормализованная.

Напряжения смятия и условие прочности по формуле:

 

 

Допускаемые напряжения смятия при стальной ступице.

 

σcм.adm = 100…..120 Мпа

 

Ведущий вал: d=20мм; bхh=6х6мм; t1=3.5мм; длина шпонки L=25мм; момент на ведущем валу Те1=54.4Н·мм.

 

 

 

σcм maх < σcм.adm

 

0.147 <110

 

Ведомый вал:

Из двух шпонок – под зубчатым колесом и на выходном конце вала – более нагружена вторая (меньше диаметр вала и поэтому меньше размеры поперечного сечения шпонки). Проверяем шпонку на выходном конце вала:

d=20мм; bхh=6х6мм; t1=3.5мм; длина шпонки L=25мм; момент Те2=146.2Н·мм.

 

 

 

σcм max < σcм.adm

0.307<110

8 Уточнённый расчёт валов

8.1 Ведущий вал

Выполнение уточнённого расчёта ведущего вала не имеет смысла, так как его диаметр был преднамеренно увеличен для того, чтобы соединить вал двигателя и выходной конец ведущего вала стандартной муфтой, чем был обеспечен запас прочности.

 

8.2 Ведомый вал

Составляем расчётную схему нагружения вала, используя значения реакций опор в двух плоскостях, полученные при подборе подшипников.

Устанавливаем два предполагаемых опасных сечения, подлежащих проверке на усталостную прочность: сечение А-А, проходящее через середину венца зубчатого колеса (dk2=41.4мм), и сечение Б-Б, проходящее через опору у выходного конца вала (dп2=35мм).

Для этих сечений соблюдается условие:

 

S ≥ Sadm

 

где Sadm -заданный или требуемый коэффициент запаса прочности.

Sadm = 1,3….2,1[6,с.145].

S -расчётный коэффициент запаса прочности

 

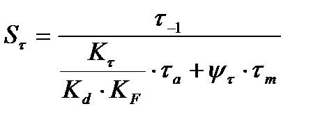
где Sσ, Sτ –коэффициенты запаса прочности по нормальным и касательным напряжениям, определяемые по зависимостям:

 

где σ-1 и τ–1 –пределы выносливости гладких стандартных цилиндрических образцов при симметричном цикле изгиба и кручения.

 

Для углеродистых конструкционных сталей

 

σ-1= 0,43 · σu

τ–1= 0,58 · σ-1

 

Для стали 45 σu=..560МПа.

 

σ-1 = 0,43 · 560= 240,8МПа

τ–1 = 0,58 ·240,8= 139,7МПа

 

σа и τа –амплитуды напряжений цикла;

σm и τm –средние напряжения цикла;

Ψσ и Ψτ –коэффициенты чувствительности материала к асимметрии цикла напряжений;

где Кσ и Кτ -эффективные коэффициенты концентраций напряжений;

Кd –коэффициент влияния абсолютных размеров поперечного сечения;

КF –коэффициент влияния параметров шероховатости поверхности.

В расчётах валов принимают, что нормальные напряжения изменяются по симметричному, а касательные по отнулевому циклу.

Для симметричного цикла:

 

σm = 0

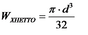
σau= Mu/Wxнетто

 

где Ми – результирующий изгибающий момент,

 

 

где Мх, Му - изгибающие моменты в горизонтальной и вертикальной плоскостях;

Wхнетто –осевой момент сопротивления сечения при изгибе.

Для отнулевого цикла:

 

τа = τm = τ/2 = T/2Wpнетто

 

где Т –крутящий момент;

Wрнетто –полярный момент сопротивления сечения при кручении.

 

Сечение А-А:

Концентратор напряжений – шпоночный паз.

Кσ =1.64; Кτ =1.44; Кd=67.5; КF=1.25; ψσ =0,2; ψτ=0,1

 

 

 

Сечение Б-Б:

Концентратор напряжений – прессовая посадка.

Кσd =0.024; Кτd=0.021; КF =1.25; ψσ =0,2; ψτ=0,1

 

 

 

 

 

Для определения изгибающих моментов строим эпюры моментов в горизонтальной и вертикальной плоскостях.

 

Горизонтальная плоскость:

МxI = 0;

МxII = Rx3· L2 = 587.7·55= 32323.5Н·м;

МxIII = Rx3 · 2L2 + Ft · L2 =587.7·2·55+1766·55=161777Н·м;

МxIII (спр) = Fm· L3 = 451.1·72=32479.2Н·м;

МxIV =0.

 

Вертикальная плоскость:

МyI =0;

МyII =Ry3·L2 = 324.48·55 = 17846.4Н·м;

МyII(c)=Ry3·L2 + m = 324.48·55+2.8 = 17852Н·м;

МyII (спр) =Ry4·L2 = 343.391·55 = 18886.505Н·м;

МyIII=0.

 

Из эпюр:

Сечение А-А:

МU=161777H·м;

МU1B=32479.2H·м.

σ u =560 МПа;

τ= 25 МПа.

 

 

 

 

Сечение Б-Б:

МU2Г=1471,1Н·м;

МU2B=0;

МU2=MU =1478,2.H·м.

σu=560 МПа;

τ= 25 МПа.

 

 

 

S >Sadm

 

3,6 >1,3

 

 




Поделиться с друзьями:


Дата добавления: 2015-07-13; Просмотров: 643; Нарушение авторских прав?; Мы поможем в написании вашей работы!


Нам важно ваше мнение! Был ли полезен опубликованный материал? Да | Нет



studopedia.su - Студопедия (2013 - 2026) год. Все материалы представленные на сайте исключительно с целью ознакомления читателями и не преследуют коммерческих целей или нарушение авторских прав! Последнее добавление




Генерация страницы за: 0.01 сек.