Студопедия

КАТЕГОРИИ:


Архитектура-(3434)Астрономия-(809)Биология-(7483)Биотехнологии-(1457)Военное дело-(14632)Высокие технологии-(1363)География-(913)Геология-(1438)Государство-(451)Демография-(1065)Дом-(47672)Журналистика и СМИ-(912)Изобретательство-(14524)Иностранные языки-(4268)Информатика-(17799)Искусство-(1338)История-(13644)Компьютеры-(11121)Косметика-(55)Кулинария-(373)Культура-(8427)Лингвистика-(374)Литература-(1642)Маркетинг-(23702)Математика-(16968)Машиностроение-(1700)Медицина-(12668)Менеджмент-(24684)Механика-(15423)Науковедение-(506)Образование-(11852)Охрана труда-(3308)Педагогика-(5571)Полиграфия-(1312)Политика-(7869)Право-(5454)Приборостроение-(1369)Программирование-(2801)Производство-(97182)Промышленность-(8706)Психология-(18388)Религия-(3217)Связь-(10668)Сельское хозяйство-(299)Социология-(6455)Спорт-(42831)Строительство-(4793)Торговля-(5050)Транспорт-(2929)Туризм-(1568)Физика-(3942)Философия-(17015)Финансы-(26596)Химия-(22929)Экология-(12095)Экономика-(9961)Электроника-(8441)Электротехника-(4623)Энергетика-(12629)Юриспруденция-(1492)Ядерная техника-(1748)

Модель Баумоля




Методы расчета целевого остатка денежных средств

 

В данном разделе мы рассмотрим три основных метода расчета этого показателя и контроля за ним: 1) модель Баумоля, 2) модель Миллера—Орра,
3) модель Стоуна [4].

 

 

Уильям Баумоль первым заметил, что остаток денежных средств на счете во многом сходен с остатком товарно-материальных запасов, поэтому мо­дель оптимальной партии заказа может быть использована и для определения целевого остатка денеж­ных средств. Данная модель предполагает следующее:

1. Потребность фирмы в денежных средствах находится на постоянном прогнозируемом уровне.

2. Денежные поступления также прогнозируются на некотором постоянном уровне.

3. Сальдо поступления и оттока денежных средств, таким образом, также находится на постоянном уровне.

В условиях сделанных допущений динамика остатка денежных средств на счете фирмы будет сходна с динамикой запасов. Оптимальный размер средств на счете определяется тем же самым путем, что и в модели оптимального размера запаса, но при использовании иных переменных:

С – сумма денежных средств, которая может быть получена от продажи ли­квидных ценных бумаг или в результате займа;

С/ 2 – средний остаток средств на счете;

С* – оптимальная сумма денежных средств, которая может быть получена от продажи ликвидных ценных бумаг или в результате займа;

С*/2 – опти­мальный средний остаток средств на счете;

F – постоянные трансакционные затраты по купле-продаже ценных бумаг или обслуживанию полученной ссуды;

Т – общая сумма дополнительных денежных средств, необходимых для поддержания текущих операций в течение всего периода (обычно равен одному году, но может быть и другой продолжительности в случае сезонных изменений потребности в денежных средствах);

k – относительная величина альтернативных затрат (неполученного до­хода), принимается в размере ставки дохода по ликвидным ценным бумагам или процента от предоставления имеющихся средств в кредит.

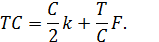
Общие затраты (ТС) по поддержанию некоторого остатка средств на счете могут быть определены суммированием альтернативных затрат и постоянных трансакционных затрат:

(2)

Общие затраты могут быть выражены как с учетом, так и без учета налогов. Оба ме­тода приводят к одинаковым выводам относительно целевого остатка денежных средств и сравнительных расходов. В данном случае для простоты представлена модель без учета налогов.

Чтобы минимизировать общие затраты, дифференцируем выражение (2) по С и приравняем результат к нулю:

(3)

Из полученного уравнения находим С*:

(4)

Формула (4) и является моделью Баумоля для определения оптимального остатка средств на счете [4].

Необходимо заметить, что общая сумма дополнительных денежных средств и, следовательно, целевой остаток средств на счете не изменяются пропорцио­нально увеличению объема операций. Заметим также, что сокращение величины F приводит к уменьшению опти­мального остатка средств на счете.

Некоторые предприятия предпочитают существенно снижать размер «страхового запаса» средств на счете. Это делается в случае, если предприятие в состоянии произ­вести продажу ценных бумаг или получить кредит в предельно короткие сроки, порой в течение пары часов, при помощи телефонного звонка или короткого уведомления.

Серьезным недостатком модели Баумоля является предположение об устой­чивости и предсказуемости денежных потоков; кроме того, она не учитывает наличия сезонности и цикличности.

 




Поделиться с друзьями:


Дата добавления: 2015-08-31; Просмотров: 677; Нарушение авторских прав?; Мы поможем в написании вашей работы!


Нам важно ваше мнение! Был ли полезен опубликованный материал? Да | Нет



studopedia.su - Студопедия (2013 - 2025) год. Все материалы представленные на сайте исключительно с целью ознакомления читателями и не преследуют коммерческих целей или нарушение авторских прав! Последнее добавление




Генерация страницы за: 0.009 сек.