Студопедия

КАТЕГОРИИ:


Архитектура-(3434)Астрономия-(809)Биология-(7483)Биотехнологии-(1457)Военное дело-(14632)Высокие технологии-(1363)География-(913)Геология-(1438)Государство-(451)Демография-(1065)Дом-(47672)Журналистика и СМИ-(912)Изобретательство-(14524)Иностранные языки-(4268)Информатика-(17799)Искусство-(1338)История-(13644)Компьютеры-(11121)Косметика-(55)Кулинария-(373)Культура-(8427)Лингвистика-(374)Литература-(1642)Маркетинг-(23702)Математика-(16968)Машиностроение-(1700)Медицина-(12668)Менеджмент-(24684)Механика-(15423)Науковедение-(506)Образование-(11852)Охрана труда-(3308)Педагогика-(5571)Полиграфия-(1312)Политика-(7869)Право-(5454)Приборостроение-(1369)Программирование-(2801)Производство-(97182)Промышленность-(8706)Психология-(18388)Религия-(3217)Связь-(10668)Сельское хозяйство-(299)Социология-(6455)Спорт-(42831)Строительство-(4793)Торговля-(5050)Транспорт-(2929)Туризм-(1568)Физика-(3942)Философия-(17015)Финансы-(26596)Химия-(22929)Экология-(12095)Экономика-(9961)Электроника-(8441)Электротехника-(4623)Энергетика-(12629)Юриспруденция-(1492)Ядерная техника-(1748)

Камфора 1 страница




А 37Б

32 33

Б

Б

А

А 1Б

Вступ

А Б

 

Обидва варіанти будови сполуки 12 теоретично можуть мати в 1Н‑ЯМР спектрах по дві спінові системи ABCD та синглети двох ароматичних протонів та метильної групи. З формули видно, що в ангулярному варіанті А міститься фенантреноподібний фрагмент, в якому два ароматичних протони знаходяться дуже близько один від одного. Відповідно, для них повинен спостерігатися ЯЕО, що за величиною наближається до максимального. В лінійній структурі Б такої ситуації не виникає. Таким чином, виявлення великого ЯЕО буде свідчити на користь ангулярної структури А. Як видно з наведених експериментальних величин ЯЕО, отримано саме ангулярну структуру А. Додаткові експерименти по виявленню ЯЕО між іншими протонами підтверджують зроблені висновки.

Якщо висновки про структуру молекули доводиться робити, базуючись на невеликих ЯЕО, що сягають лише 1-5%, слід особливу увагу приділити віднесенню сигналів ароматичних протонів, оскільки для певності результатів треба точно знати, між якими саме сигналами спостерігається ЯЕО. Є емпіричні дані, згідно з якими між довільними орто-протонами ЯЕО може досягати 10%, а між протонами у пері-положеннях – навіть 12-15%. При цьому видимі ЯЕО можуть бути і значно меншими через присутність розчиненого кисню, механічні домішки тощо. Таким чином, іноді зробити надійні висновки про структуру кістяка ароматичних сполук виявляється не дуже просто.

7.3.3. Спектроскопія NOESY-2D

Недоліком експериментів по отриманню різницевих спектрів ЯЕО є те, що їх доводиться повторювати для кожного з протонів сполуки. Тільки тоді можна отримати повну картину ЯЕО-взаємодій. Для спрощення експерименту розроблена двовимірна методика, що дає змогу в одному експерименті отримати всі наявні ефекти ЯЕО. Вона називається NOESY. Принцип отримання двовимірного набору даних в експерименті NOESY цілком аналогічний до того, що був описаний для експерименту COSY. Відмінність полягає в тому, що в цьому випадку кроспіки відповідають ЯЕО-кореляціям між відповідними протонами. Для того, щоб показати читачеві практичну цінність методу NOESY, наведемо приклад застосування методу для вивчення двох органічних сполук, одна з яких має просту будову, а друга - достатньо складна.

Перша сполука є заміщеним кумарином, що має будову 13:

 

 

В спектрі, що наведений на Рис. 37, є кроспік між ароматичними віцинальними протонами 5Н та 6Н, розташованими поруч один з одним. Аналогічний кроспік ми б бачили в спектрі COSY.

7-OCH3
4-OCH3
4CH2
3H
6H
8H
5H
3.5
3.5
4.0
4.5
5.0
5.5
6.0
6.5
7.0
7.5
4.0
4.5
5.0
5.5
6.5
6.0
7.0
7.5

Рис. 37. Спектр NOESY сполуки 13. Кореляції між сигналами протонів позначено горизонтальними та вертикальними лініями.

 

Для ідентифікації кроспіку корисно від нього провести горизонтальну та вертикальну лінії до перетину з діагоналлю. На точках перетину будуть міститися діагональні піки протонів, між якими виник відповідний ЯЕО. Для названих кореляцій такі лінії проведено нижче від діагоналі. Крім того, на відміну від відповідного спектра COSY, в спектрі містяться кроспіки між сигналом 4-СН2 групи та сигналами протонів 3Н та 5Н, між якими знаходиться даний замісник. У даному випадку між протонами немає ССВ, але вони розташовані в просторі достатньо близько один від одного для виникнення помітного ЯЕО. Аналогічні кроспіки виникають і між сигналами 7-ОСН3 групи та сигналами протонів Н6 та Н8. Таким чином, зі спектру легко провести віднесення сигналів метоксильних груп та підтвердити положення замісників у молекулі. Даний приклад наочно показує, як метод NOESY можна використати для підтвердження будови молекул.

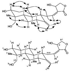
На Рис. 38 показаний набагато більш складний спектр NOESY природного терпеноїду андрографоліду 8 у ДМСО-D6. Нижче, на формулі сполуки представлена схема найважливіших кореляцій, що можна дістати з NOESY спектру. На спектрі знак піків виділений кольором. Позитивні сигнали позначено червоним кольором, а негативні – чорним. Видно, що більшість кроспіків мають знак, протилежний до знаку діагональних піків. Це відображає той факт, що знак ЯЕО в цьому випадку повинен бути позитивним. У декількох кроспіків в області 3-6 м.ч. знак збігається зі знаком діагональних піків. Ці кроспіки відповідають гідроксильним протонам і воді. Вони обумовлені протонним обміном. Таким чином, на спектрі ми можемо відрізнити кроспіки, зумовлені ЯЕО від кроспіків, зумовлених явищем хімічного обміну.

 

 

k,l
z
y
wx
v
u
t
s
pq r
m n o
H2O
j
i
h
g
f
e
d
c
b
a
ppm
1.0
1.5
2.0
2.0
2.5
3.0
3.5
4.0
4.5
5.0
5.5
6.0
7.0
6.5
1.0
1.5
2.0
2.5
3.0
3.5
4.0
4.5
5.0
5.5
6.0
6.5

Рис. 38 2D NOESY спектр терпену андрографоліду8в ДМСО‑D6 при 25°C.

 

Аналіз спектру проводиться цілком аналогічно тому, як це було показано у попередньому випадку. Для інтерпретації спектру від кожного зі знайдених кроспіків проводиться горизонтальна та вертикальна лінії до перетину з діагоналлю спектру. Ці лінії повинні закінчуватись на двох діагональних піках, між якими виник кроспік. Наприклад, в спектрі на Рис. 38 є кроспік між сигналами з хімічними зсувами 3,1 м.ч. та 3,7 м.ч., що відповідає наявності ЯЕО між протонами Нk та Hj. У даному випадку наявність кроспіку є цілком передбачуваною, оскільки названі протони, як це витікає з формули сполуки, є гемінальними. У таких складних випадках, як той, що розглядається, найчастіше недостатньо мати оглядовий спектр, що містить всі кореляції, оскільки кроспіки можуть виявитися занадто малими. Найчастіше складний спектр розбивають на декілька ділянок, де містяться кроспіки і кожну з них записують окремо у зручному масштабі. Кожний такий фрагмент спектра аналізують окремо, а результати записують в таблицю, де зведено знайдені кореляції для кожного з наявних сигналів. Наприкінці аналізу таблиця міститиме всі наявні кроспіки ЯЕО. Подальший аналіз структури виконують вже без спектрів, а лише з табличними даними. Такий підхід є найбільш систематичним і запобігає виникненню помилок.

Звісно, щоб проаналізувати результати експерименту NOESY потрібно, щоб до його проведення вже було виконано віднесення сигналів у протонному спектрі. Тому аналізу спектру NOESY зазвичай передує вивчення спектрів COSY, що дозволяють знайти спіновий зв’язок між ядрами, а отже, спростити віднесення відповідних сигналів. Крім того, бажано мати просторову модель досліджуваної молекули, або кілька варіантів моделей для альтернативних структур. Їх можна отримати або за допомогою комп’ютерного моделювання, або шляхом побудови молекули з моделей типу Дрейдингу. Лише співставлення наявних кроспіків з отриманими за допомогою молекулярного моделювання між’ядерними відстанями дозволяє зробити висновки про геометричну будову молекули.

 

 

8. Гетероядерна кореляційна спектроскопія

 

У попередніх параграфах ми окремо розглянули спектри на ядрах 1Н та 13С. Кожний з видів спектрів дозволяє отримати певний обсяг інформації про будову сполуки, що досліджується. Однак, слід зауважити, що інтерпретація протонних спектрів, тобто віднесення сигналів до конкретних магнітних ядер є набагато простішою, ніж вуглецевих спектрів, оскільки завжди ми можемо аналізувати не лише хімічні зсуви, а й розщеплення сигналів завдяки ССВ, що дозволяє знайти місце ядра серед інших магнітних ядер молекули. При аналізі вуглецевих спектрів такої можливості часто немає, оскільки більшість з них вимірюється за умов декаплінгу. Тому дуже ефективними є методики, що дозволяють визначити кореляцію між протонним та вуглецевим сигналами, яка базується на гетероядерних ССВ. Це означає, що у випадках, коли сигнали у протонному спектрі віднесені, то можна визначити сигнали 13С тих атомів вуглецю, що віддалені від протона на 1 хімічний зв’язок, або на 2-3 хімічних зв’язки. Таку задачу вирішують методи так званої гетероядерної кореляційної спектроскопії. Вона являє собою сукупність методик, що дозволяють виявити наявність хімічного зв’язку між ядрами різних типів. Найбільш часто ці методики використовуються для пар ядер 1Н-13С та 1Н-15N. Не можна сказати, що методики непридатні для встановлення кореляцій з іншими ядрами, наприклад 1Н - 14N або навіть 31Р и 13С. Але ці можливості використовуються значно рідше. Найчастіше знаходять кореляції 1Н‑15N у протеїнах і пептидах. На відміну від методів редагування вуглецевих спектрів за мультиплетністю сигналів, методи гетероядерної кореляційної спектроскопії дозволяють не лише визначити кількість протонів, що зв’язані з кожним атомом вуглецю, а і з’ясувати, який саме протон у молекулі зв'язаний з певним гетероатомом (найчастіше атомом вуглецю). Знайдена в такий спосіб гіпотетична структура молекули може бути підтверджена або спростована при подальших дослідженнях.

 

8.1. Кореляції через один хімічний зв’язок. МетодHMQC

Існують два експерименти, що дозволяють знайти кореляцію між сигналами протонів та сигналами безпосередньо зв’язаних з ними атомів вуглецю. Ці експерименти мають абревіатури HSQC та HMQC. Візуально вони майже не розрізняються, тому можна використовувати будь-який з них. Ми розглянемо лише один експеримент – HMQC. Як видно з його англійської абревіатури (Heteronuclear Multiple Quantum Correlation), він є експериментом з гетероядерної багатоквантової кореляції. Як і двовимірні спектри, що були розглянуті раніше, спектр HMQC являє собою квадрат або прямокутник. Одна з осей спектру HMQC відповідає шкалі хімічних зсувів протонів, а друга - шкалі хімічних зсувів 13С. Часто спектр подають у такому вигляді, коли вздовж осей зображено відповідні одновимірні спектри. Кореляції проявляються у вигляді кроспіків, що розташовані на перпендикулярах, які проведено через відповідні сигнали в одновимірних спектрах. Таким чином, наявність кроспіку свідчить, що існує безпосередній хімічний зв’язок між протоном і атомом вуглецю, що містяться навпроти кроспіка у відповідних одновимірних спектрах. Метод дозволяє легко віднести сигнали всіх зв’язаних з протонами атомів вуглецю.

Для того, щоб одразу дати читачеві змогу зрозуміти, наскільки важливу інформацію можна отримати зі спектра HMQC, наведемо двовимірний HMQC спектр для простої сполуки - ментолу 14.

 
 
 
 
 
 
 
 
 
 
м. ч.
 
 
 
 
 
 
м. ч.
1.0
1.5
2.0
2.5
3.0

Рис. 39. Кореляції через один зв'язок у спектрі HMQC ментолу 14. Вздовж відповідних осей показані також одновимірні протонний і вуглецевий спектри.

Двовимірний гетероядерний кореляційний спектр HMQC є виключно простим для інтерпретації. В одному вимірі він містить сигнали атомів вуглецю за умов повної розв’язки від протонів, а у другому вимірі – звичайний протонний спектр. Координати кроспіку відповідають хімічним зсувам в протонному та вуглецевому спектрах тих ядер, між якими існує прямя ССВ, а отже, які зв’язяні одним хімічним зв’язком. Наприклад, найнижчий кроспік у спектрі на Рис. 39 відповідає кореляції протона з хімічним зсувом 3,32 м.ч. та атома вуглецю з хімічним зсувом 72 м.ч. Сигнал протона при 3,32 м.ч. відповідає атому Н-1 сполуки 14, оскільки саме цей сигнал повинен розташовуватися в найбільш слабкому полі завдяки впливу електронегативного атому кисню. Наявність кроспіка дозволяє стверджувати, що між атомами 1Н та 13С з названими хімічними зсувами існує хімічний зв’язок, тобто у вуглецевому спектрі сигнал при 72 м.ч. відповідає протону С-1. Аналогічно можна віднести і сигнали інших зв’язаних з протонами атомів вуглецю. Єдиною умовою для цього є попереднє віднесення сигналів у протонному спектрі. Його, у свою чергу, можна провести за допомогою спектрів COSY.

Немає якогось усталеного розташування осей в спектрах HMQC. Вісь протонів може бути як вертикальною, так і горизонтальною, в залежності від уподобань спектроскопіста. Але це жодним чином не впливає на результати аналізу спектру. Якщо сигналів в протонному та вуглецевому спектрах не занадто багато, кореляції можна зробити візуально. Якщо ж спектр хоча б вздовж однієї осі містить сигнали, що близькі за хімічними зсувами, слід провести вертикальну та горизонтальну лінії від кроспіка до відповідних шкал, чи сигналів в одновимірних спектрах, що містяться вздовж осей (якщо вони записані). Рисунок ілюструє три найбільш важливі результати експерименту. По-перше, з'являється можливість використання знайдених раніше віднесень протонних сигналів для віднесення сигналів у спектрах гетероядер. Такий підхід веде до значно більшої певності структурних висновків. Немає іншого методу, за допомогою якого було б настільки просто віднести сигнали у вуглецевому спектрі. По-друге, з'являється можливість рознесення нерозділених протонних сигналів у другому вимірі відповідно до хімічних зсувів гетероядра. Це дозволяє уточнити віднесення в протонному спектрі. Наприклад, область між 0,7 і 1,2 м.ч. на рис. 39. містить ряд протонних сигналів, що перекриваються і погано піддаються аналізу навіть на частоті 500 МГц. Повна картина цих сигналів видна в другому вимірі, що дозволяє ідентифікувати і віднести всі 7 сигналів.

Цінність такого підходу зростає при ускладненні структури молекули і зростанні числа сигналів, що перекриваються. Останній аспект експерименту може бути винятково корисним для структурних віднесень, оскільки з’являється можливість ідентифікувати діастереотопні гемінальні пари протонів. Їх не завжди легко ідентифікувати за COSY спектром, тому що гемінальні та віцинальні КССВ можуть мати однакові величини. Тільки для гемінальних пар протонів мають місце дві кореляції з одним вуглецевим атомом. На рис. 39 це спостерігається для С6, С4 і С3. На відміну від попередніх гомоядерних 2D спектрів, що наведені у цій книзі, гетероядерні кореляційні спектри не містять діагональних піків і не симетричні відносно діагоналі.

Слід зауважити, що бувають випадки, коли протонному сигналу не відповідає жоден кроспік. Це є надійним свідченням того, що протон, який утворює даний сигнал, зв’язаний не з атомом вуглецю, а з якимось іншим атомом, наприклад, азотом або киснем. Цю властивість спектрів HMQC теж можна використовувати для інтерпретації спектрів.

 

8.2. Кореляція гетероядер з протонами через 2-3 зв’язки. Метод НМВС

 

Розглянутий раніше метод HMQC базується на наявності зв'язку гетероатома із протоном. Тому його не можна застосувати, наприклад, для віднесення сигналів не зв’язаних з протонами атомів вуглецю. Доповнюючим підходом у таких випадках є встановлення кореляцій за рахунок ССВ між атомами вуглецю і протонами, що віддалені один від одного більш ніж на один хімічний зв'язок. Це так звані далекі або багатозв’язкові кореляції. Найчастіше їх виявляють в експериментах по багатозв’язкових 13С-1Н кореляціях за допомогою методики НМВС (Heteronuclear Multiple Bond Correlation). У більшості випадків при цьому виявляється ССВ вуглецю із протонами, що знаходяться від нього на відстані двох-трьох хімічних зв'язків, оскільки більш далекі КССВ, як правило, занадто слабкі. Ідентифікація Н-С кореляції через зв'язки вуглець-вуглець і вуглець-гетероатом дає можливість одержати за допомогою НМВС інформацію про кістяк молекули і є одним з найбільш потужних підходів до встановлення будови органічних молекул, що поступається хіба що малочутливій методиці INADEQUATE.

Вигляд спектру НМВС подібний до вигляду спектру HMQC. Тут координатні осі також відповідають одновимірним спектрам на ядрах вуглецю та на протонах. Далекі кореляції кожного протона знаходяться на прямій, що відповідає його хімічному зсуву і проходить через його сигнал в одновимірному спектрі перпендикулярно до шкали протонних хімічних зсувів. Взаємна орієнтація осей не є усталеною і може бути довільною. Інтенсивності кроспіків залежать від типу гетероядер, величин дальніх КССВ та настроювання імпульсної послідовності даної методики. На практиці настроювання імпульсної послідовності здійснюють за допомогою керуючого інтервалу D (див далі).

Одержання інформації з НМВС спектра проілюструємо на прикладі сполуки 15 (рис. 40).

 

м. ч.
м. ч.

Рис. 40. HMBC спектр далеких кореляцій для сполуки 15, записаний з керуючим інтервалом D = 60 мс

 

Якщо віднесення всіх протонних та вуглецевих сигналів вже проведене, то, як це показано на Рис. 40, відповідні ядра можна позначити прямо на осях двовимірного спектра. У цьому разі одразу видно, з якими ядрами вуглецю є кореляції в сигналів кожного з протонів. Всі вони знаходяться на вертикальних лініях одна під одною. (Якщо у виміряному спектрі вісь протонів була б вертикальною, то всі протонні кореляції розташовувалися б на одній горизонталі). Найбільш інтенсивні кореляції спостерігаються для метильних груп, оскільки намагніченість для них відповідає трьом протонам одночасно і спінова система є найпростішою. Менш інтенсивні кореляції відповідають протонам зі складними мультиплетами в протонних спектрах.

Результати аналізу двовимірного спектру HMBC можна представити у вигляді таблиці, що дуже зручно для аналізу стереохімічної будови молекули. Прикладом такої таблиці є Табл. 16. Слабкі кореляції, які відповідають маленьким константам ССВ, позначені як (w) (не всі вони спостерігаються на Рис. 40 на вибраному нижньому рівні контурної карти).

 

Табл. 16. Список далеких кореляцій, що спостерігаються в HMBC спектрі (D = 60 мс) сполуки 15

Протон Кореляції для атомів С
  4, 5, 8, 9, 10
  2, 5(w), 6(w)
4’ 2(w), 5, 6
  4(w), 7(w), 8
  4, 5, 7, 8
6’ 4, 5, 7, 8
  5, 6,8
7’ 5, 6,8
  2, 10
  2, 9, 10'
10’ 2, 9, 10

Основні принципи інтерпретації спектрів даного типу можна простежити на прикладі аналізу кореляцій сигналу Н-2. Насамперед слід зазначити, що в спектрі впадає в око наявність кореляції через один зв'язок з утворенням дублета при 93 м.ч. Вона повністю еквівалентна кореляції, яка спостерігалася б у спектрі HMQC і може служити для ідентифікації даного сигналу. На Рис. 40 такі кореляції показані стрілками. Можливість появи таких піків завжди слід враховувати при інтерпретації спектрів даного типу. На вертикальній лінії, що проходить через сигнал Н-2 в одновимірному спектрі, окрім очевидних кореляцій з ядрами вуглецю С9 і С10, відзначаємо наявність кореляцій із С4 і С5, що зумовлені ССВ через гетероатоми (N і О). Такі кореляції можуть бути особливо цінними за відсутності протон-протонних взаємодій. Так, у спектрі Н-Н-COSY сполуки 15 не спостерігається Н2-Н5 кроспіків, але кореляція Н2-С5 в НМВС доказує наявність не більш ніж 3 хімічних зв’язків між С2 і С5. Нарешті, слід зазначити, що Н2 дає кореляцію з вуглецевим атомом С8, не зв’язаним безпосередньо з протонами. Цей атом є „невидимим” в експериментах по кореляції через один зв'язок. Можливість спостерігати цим методом не зв’язані з протонами вуглецеві центри дозволяє не тільки визначити їхні хімічні зсуви, але й одержати цінні дані щодо зв’язаності атомів. Комбінація COSY, HMQC і НМВС є в більшості випадків достатньою для знаходження зв’язаності атомів в невеликих (молекулярна маса до 600) органічних молекулах.




Поделиться с друзьями:


Дата добавления: 2015-08-31; Просмотров: 359; Нарушение авторских прав?; Мы поможем в написании вашей работы!


Нам важно ваше мнение! Был ли полезен опубликованный материал? Да | Нет



studopedia.su - Студопедия (2013 - 2026) год. Все материалы представленные на сайте исключительно с целью ознакомления читателями и не преследуют коммерческих целей или нарушение авторских прав! Последнее добавление




Генерация страницы за: 0.028 сек.