Студопедия

КАТЕГОРИИ:


Архитектура-(3434)Астрономия-(809)Биология-(7483)Биотехнологии-(1457)Военное дело-(14632)Высокие технологии-(1363)География-(913)Геология-(1438)Государство-(451)Демография-(1065)Дом-(47672)Журналистика и СМИ-(912)Изобретательство-(14524)Иностранные языки-(4268)Информатика-(17799)Искусство-(1338)История-(13644)Компьютеры-(11121)Косметика-(55)Кулинария-(373)Культура-(8427)Лингвистика-(374)Литература-(1642)Маркетинг-(23702)Математика-(16968)Машиностроение-(1700)Медицина-(12668)Менеджмент-(24684)Механика-(15423)Науковедение-(506)Образование-(11852)Охрана труда-(3308)Педагогика-(5571)Полиграфия-(1312)Политика-(7869)Право-(5454)Приборостроение-(1369)Программирование-(2801)Производство-(97182)Промышленность-(8706)Психология-(18388)Религия-(3217)Связь-(10668)Сельское хозяйство-(299)Социология-(6455)Спорт-(42831)Строительство-(4793)Торговля-(5050)Транспорт-(2929)Туризм-(1568)Физика-(3942)Философия-(17015)Финансы-(26596)Химия-(22929)Экология-(12095)Экономика-(9961)Электроника-(8441)Электротехника-(4623)Энергетика-(12629)Юриспруденция-(1492)Ядерная техника-(1748)

Коэффициенты переноса в газах




Для оценки коэффициентов переноса (диффузии, теплопроводности, вязкости) в газах используется следующий прием. Принимается, что вдоль каждой из осей координат движется по всех молекул, - в положительном, - в отрицательном.

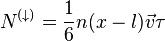
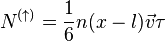
Рассмотрим перенос молекул вдоль оси . Число молекул, проходящих вверх за время свободного пробега через единицу площади равно

и вниз

здесь - средняя тепловая скорость, а - длина свободного пробега молекулы.

Коэффициент диффузии. Править

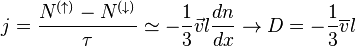
По определению диффузионного потока

Поскольку , то

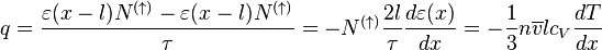
Коэффициент теплопроводности. Править

Будем считать что перемещение газа как целого вдоль оси нет. Это значит, что . Пусть - энергия молекулы в точке , - теплоемкость приходящееся на одну молекулу. Тогда согласно определению теплового потока

Отсюда следует

Вязкость. Править

С молекулярно кинетической точки зрения вязкость - это перенос тангенциальной компоненты импульса в направлении, перпендикулярном скорости течения. Пусть - средняя скорость упорядоченного движения молекул. Тогда импульс переносимый снизу в верхний слой газа, равен

а импульс переносимый вниз

Здесь как и предыдущем

Получаем

Отсюда находим

Бро́уновское движе́ние — беспорядочное движение микроскопических видимых, взвешенных в жидкости или газе частиц твердого вещества, вызываемое тепловым движением частиц жидкости или газа. Броуновское движение никогда не прекращается. Броуновское движение связано с тепловым движением, но не следует смешивать эти понятия. Броуновское движение является следствием и свидетельством существования теплового движения.

Броуновское движение — наиболее наглядное экспериментальное подтверждение представлений молекулярно-кинетической теории о хаотическом тепловом движении атомов и молекул. Если промежуток наблюдения достаточно велик, чтобы силы, действующие на частицу со стороны молекул среды, много раз меняли своё направление, то средний квадрат проекции её смещения на какую-либо ось (в отсутствие других внешних сил) пропорционален времени.

Броуновское движение происходит из-за того, что все жидкости и газы состоят из атомов или молекул — мельчайших частиц, которые находятся в постоянном хаотическом тепловом движении, и потому непрерывно толкают броуновскую частицу с разных сторон. Было установлено, что крупные частицы с размерами более 5мкм в броуновском движении практически не участвуют (они неподвижны или седиментируют), более мелкие частицы (менее 3 мкм) двигаются поступательно по весьма сложным траекториям или вращаются. Когда в среду погружено крупное тело, то толчки, происходящие в огромном количестве, усредняются и формируют постоянное давление. Если крупное тело окружено средой со всех сторон, то давление практически уравновешивается, остаётся только подъёмная сила Архимеда — такое тело плавно всплывает или тонет. Если же тело мелкое, как броуновская частица, то становятся заметны флуктуации давления, которые создают заметную случайно изменяющуюся силу, приводящую к колебаниям частицы. Броуновские частицы обычно не тонут и не всплывают, а находятся в среде во взвешенном состоянии.
Соотношение Эйнштейна

В физике (главным образом в молекулярно кинетической теории) соотношением Эйнштейна (также называемое соотношением Эйнштейна — Смолуховского) называется выражение, связывающее подвижность молекулы (молекулярный параметр) с коэффициентом диффузии и температурой (макро параметры). Оно было независимо открыто Альбертом Эйнштейном в 1905 году и Марианом Смолуховским (1906) в ходе работ по изучению броуновского движения:

где — коэффициент диффузии, — подвижность частиц, — постоянная Больцмана, а — абсолютная температура.

Величина подвижности определяется из соотношения

где — стационарная скорость перемещения частицы в вязкой среде под действием силы .

Это уравнение является частным следствием флуктуационно-диссипационной теоремы.




Поделиться с друзьями:


Дата добавления: 2015-08-31; Просмотров: 1062; Нарушение авторских прав?; Мы поможем в написании вашей работы!


Нам важно ваше мнение! Был ли полезен опубликованный материал? Да | Нет



studopedia.su - Студопедия (2013 - 2026) год. Все материалы представленные на сайте исключительно с целью ознакомления читателями и не преследуют коммерческих целей или нарушение авторских прав! Последнее добавление




Генерация страницы за: 0.008 сек.