Студопедия

КАТЕГОРИИ:


Архитектура-(3434)Астрономия-(809)Биология-(7483)Биотехнологии-(1457)Военное дело-(14632)Высокие технологии-(1363)География-(913)Геология-(1438)Государство-(451)Демография-(1065)Дом-(47672)Журналистика и СМИ-(912)Изобретательство-(14524)Иностранные языки-(4268)Информатика-(17799)Искусство-(1338)История-(13644)Компьютеры-(11121)Косметика-(55)Кулинария-(373)Культура-(8427)Лингвистика-(374)Литература-(1642)Маркетинг-(23702)Математика-(16968)Машиностроение-(1700)Медицина-(12668)Менеджмент-(24684)Механика-(15423)Науковедение-(506)Образование-(11852)Охрана труда-(3308)Педагогика-(5571)Полиграфия-(1312)Политика-(7869)Право-(5454)Приборостроение-(1369)Программирование-(2801)Производство-(97182)Промышленность-(8706)Психология-(18388)Религия-(3217)Связь-(10668)Сельское хозяйство-(299)Социология-(6455)Спорт-(42831)Строительство-(4793)Торговля-(5050)Транспорт-(2929)Туризм-(1568)Физика-(3942)Философия-(17015)Финансы-(26596)Химия-(22929)Экология-(12095)Экономика-(9961)Электроника-(8441)Электротехника-(4623)Энергетика-(12629)Юриспруденция-(1492)Ядерная техника-(1748)

Расчет подшипников




Исходные данные

Расчет подшипников на долговечность

 

 

Исходные данные:

1.Частота вращения промежуточного вала

2. Тип подшипника 207

3. Условие работы подшипникового узла. Тип нагрузки - нереверсивная, спокойная, температура подшипникового узла меньше 100°С.

4. Lh= 11000 ч - требуемый ресурс

 

Расчет подшипников на долговечность:

1. Расчёт проводится по наиболее нагруженному подшипнику. По данным пункта 5.1наиболее нагруженной опорой является точка В, т.е.

 

2. Из таблицы [3], для принятого подшипника, выписываются значения базовых динамической Cr и статической Cоr радиальных грузоподъемностей:

3. Определяется соотношение , где - осевая нагрузка (для прямозубых цилиндрических колес );

.

Коэффициент осевогонагружения e = 0 при [1].

Т.к. отношение , то X = 1; Y = 0 [1].

 

4. Определяется эквивалентная динамическая нагрузка по формуле:

 

Н

где V- коэффициент вращения, V=1 при вращении внутреннего кольца [1];

- коэффициент безопасности, учитывающий характер нагрузки на долговечность подшипника; - при спокойной нагрузке [1];

- коэффициент, учитывающий влияние температуры на долговечность подшипника;

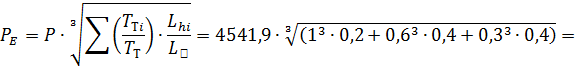
Для подшипников, работающих при переменных режимах нагружения, задаваемых циклограммой нагрузок (см.рис.1.2), определяют приведенную эквивалентную динамическую нагрузку по следующей зависимости:

.

 

5. Определяется расчетная динамическая грузоподъемность:

где а1– коэффициент надежности, а1=1 при 90% надежности;

а23 - обобщенный коэффициент совместного влияния качества металла подшипника и условий его эксплуатации, при обычных условиях работы а23=0,7…0,8 – для шариковых подшипников;

n – частота вращения вала, мин-1.

Оценивается пригодность намеченного подшипника по условию:

т.е. условие грузоподъемности для выбранного подшипника выполняется.

 

6.Определяется расчетный ресурс и оценивают пригодность подшипника по условию :

 

где – эквивалентная динамическая нагрузка, Н;

– показатель степени: для шариковых подшипников.

таким образом, заданный ресурс работы подшипника выполняется.

 




Поделиться с друзьями:


Дата добавления: 2015-08-31; Просмотров: 275; Нарушение авторских прав?; Мы поможем в написании вашей работы!


Нам важно ваше мнение! Был ли полезен опубликованный материал? Да | Нет



studopedia.su - Студопедия (2013 - 2025) год. Все материалы представленные на сайте исключительно с целью ознакомления читателями и не преследуют коммерческих целей или нарушение авторских прав! Последнее добавление




Генерация страницы за: 0.007 сек.