Студопедия

КАТЕГОРИИ:


Архитектура-(3434)Астрономия-(809)Биология-(7483)Биотехнологии-(1457)Военное дело-(14632)Высокие технологии-(1363)География-(913)Геология-(1438)Государство-(451)Демография-(1065)Дом-(47672)Журналистика и СМИ-(912)Изобретательство-(14524)Иностранные языки-(4268)Информатика-(17799)Искусство-(1338)История-(13644)Компьютеры-(11121)Косметика-(55)Кулинария-(373)Культура-(8427)Лингвистика-(374)Литература-(1642)Маркетинг-(23702)Математика-(16968)Машиностроение-(1700)Медицина-(12668)Менеджмент-(24684)Механика-(15423)Науковедение-(506)Образование-(11852)Охрана труда-(3308)Педагогика-(5571)Полиграфия-(1312)Политика-(7869)Право-(5454)Приборостроение-(1369)Программирование-(2801)Производство-(97182)Промышленность-(8706)Психология-(18388)Религия-(3217)Связь-(10668)Сельское хозяйство-(299)Социология-(6455)Спорт-(42831)Строительство-(4793)Торговля-(5050)Транспорт-(2929)Туризм-(1568)Физика-(3942)Философия-(17015)Финансы-(26596)Химия-(22929)Экология-(12095)Экономика-(9961)Электроника-(8441)Электротехника-(4623)Энергетика-(12629)Юриспруденция-(1492)Ядерная техника-(1748)

Розрахунок точності кутових вимірювань. Розрахунок впливу помилок лінійних і кутових вимірювань в полігонометричному ході




Розрахунок впливу помилок лінійних і кутових вимірювань в полігонометричному ході

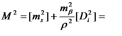
Для ходу довільної форми:

0,04м

де ] – сума квадратів СКП вимірювання ліній ходу;

] - сума квадратів відстаней від центра тяжіння ходу до кожної його

точки;
– СКП вимірювання кутів; ρ=206265”;

n –кількість сторін ходу.

]= ]=0,02

Тоді:

М2=2 ]=0,04

Лінії в полігонометричному ході потрібно вимірювати таким приладом, щоб виконувалась нерівність, яка є критерієм вибору приладу для вимірювання довжин ліній полігонометричного ходу:

]


Для полігонометричного ходу 4 класу ([S]=3,335км, n=7)

=

=2244,5мм2

СКП окремого джерела помилок:

Таблиця 3.2 - Розрахунок очікуваних СКП вимірювання ліній для запроектованого полігонометричного ходу

№ лінії Довж. лінії, S,км Sokkia Set 600 Trimble 3305 CE УОМЗ СТ-5 Leica TC 407 УОМЗ 3Та5
  0,721 6,2 38,4 4,4 19,4 13,6 185,0 3,4 11,6 7,2 51,8
  0,551 5,7 32,5 3,9 15,2 12,8 163,8 3,1 9,6 6,7 44,9
  0,328 5,0 25,0 3,2 10,2 11,6 134,6 2,7 7,3 6,0 36,0
  0,614 5,8 33,6 4,0 16,0 13,1 171,6 3,2 10,2 6,8 46,2
  0,310 4,9 24,0 3,1 9,6 11,6 134,6 2,6 6,8 5,9 34,8
  0,399 5,2 27,0 3,4 11,6 12,0 144,0 2,8 7,8 6,2 38,4
  0,410 5,2 27,0 3,4 11,6 12,1 146,4 2,8 7,8 6,2 38,4
  3,333       93,6   1080,0   61,1   290,5

61,6<2244,5мм2

Координати центру тяжіння ходу:

= ; =

Віддаль до центру тяжіння ходу:

 

 

Таблиця 3.3 Розрахунок координат центру тяжіння ходу

№ т. Xi, m Yi, m ΔXi, m ΔYi, m Di2
      -1743,8 -178,8  
      -1043,8 1,2  
      -513,8 141,2  
ОПВ-4   440,5 -213,8 261,7  
      356,2 61,2  
ОПВ-5     656,2 8,8  
      1046,2 -98,8  
      1456,2 -178,8  
  1430,5 -0,4 0,1  

 

X0=1743,8 м Y0=178,8 м

 

Лінійні елементи центрування і редукції:

 

-похибка центрування теодоліта

- похибка редукції(центрування марки).

 




Поделиться с друзьями:


Дата добавления: 2015-08-31; Просмотров: 349; Нарушение авторских прав?; Мы поможем в написании вашей работы!


Нам важно ваше мнение! Был ли полезен опубликованный материал? Да | Нет



studopedia.su - Студопедия (2013 - 2026) год. Все материалы представленные на сайте исключительно с целью ознакомления читателями и не преследуют коммерческих целей или нарушение авторских прав! Последнее добавление




Генерация страницы за: 0.008 сек.