Студопедия

КАТЕГОРИИ:


Архитектура-(3434)Астрономия-(809)Биология-(7483)Биотехнологии-(1457)Военное дело-(14632)Высокие технологии-(1363)География-(913)Геология-(1438)Государство-(451)Демография-(1065)Дом-(47672)Журналистика и СМИ-(912)Изобретательство-(14524)Иностранные языки-(4268)Информатика-(17799)Искусство-(1338)История-(13644)Компьютеры-(11121)Косметика-(55)Кулинария-(373)Культура-(8427)Лингвистика-(374)Литература-(1642)Маркетинг-(23702)Математика-(16968)Машиностроение-(1700)Медицина-(12668)Менеджмент-(24684)Механика-(15423)Науковедение-(506)Образование-(11852)Охрана труда-(3308)Педагогика-(5571)Полиграфия-(1312)Политика-(7869)Право-(5454)Приборостроение-(1369)Программирование-(2801)Производство-(97182)Промышленность-(8706)Психология-(18388)Религия-(3217)Связь-(10668)Сельское хозяйство-(299)Социология-(6455)Спорт-(42831)Строительство-(4793)Торговля-(5050)Транспорт-(2929)Туризм-(1568)Физика-(3942)Философия-(17015)Финансы-(26596)Химия-(22929)Экология-(12095)Экономика-(9961)Электроника-(8441)Электротехника-(4623)Энергетика-(12629)Юриспруденция-(1492)Ядерная техника-(1748)

Частное решение неоднородного уравнения




Решение дифференциального уравнения

Дифференциальное уравнение, описывающее вынужденные колебания

наших двух систем будет иметь один и тот же вид:

.

 

Решение дифференциального уравнения вынужденных колебаний - ξ(t) - состоит из двух слагаемых:

,

здесь ξ1(t) - общее решение однородного уравнения, т.е. уравнения с нулем в правой части (см. 14.4.5.),

ξ2(t) - частное решение неоднородного уравнения, т.е. уравнения с ненулевой правой частью - (14.5.5)

- из (14.4.6),

здесь - - частота затухающих колебаний.

ξ1(t) убывает с течением времени и его роль существенна при переходных процессах. Стационарное, установившееся значение ξ(t) определяется, в основном, слагаемым ξ2(t). Наша задача - найти ξ2(t).

 

Частное решение неоднородного уравнения - ξ2(t). Ищем ξ2(t) в виде гармонической функции изменяющейся с частотой внешнего воздействия ω:

.

Первая и вторая производные от этой функции также будут гармоническими функциями, изменяющиеся с частотой ω. Значит, в уравнении 14.5.3.5, в левой его части, будет сумма трех гармонических функций одинаковой частоты, справа - гармоническая функция той же частоты, т.е. сумма трех колебаний одной частоты равна четвертому колебанию той же частоты. Задачу о сложении колебаний мы решим методом векторных диаграмм (14.3.1.), для этого и , после нахождения этих производных, запишем с помощью функции косинуса:

.

14.5.6.1.1. Векторная диаграмма

Изобразим эти колебания с помощью векторов (14.3.1.), амплитуды которых получаются после умножения на , а - ξ на ω20.

.

В отличие от (14.3.2) вправо направим вектор длиной ω20A, изображающий функцию ω20A · Cos(ωt - φ), начальная фаза которой равна "минус фи".

14.5.6.1.2. Резонанс

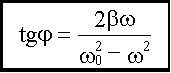
Т.к. ,

то

.

Таким образом, амплитуда вынужденных колебаний изменяется с изменением частоты внешнего воздействия. При определенной частоте амплитуда достигает максимума. Это явление называется резонансом, а соответствующая частота - ωрез - резонансной. Для определения ωрез исследуем функцию A(ω) на максимум, для этого достаточно найти минимум знаменателя у выражения A(ω). Возьмем от него производную по и приравняем к нулю:

,

откуда:

.

При 2 > ω20 резонанс отсутствует (ωрез - мнимое число).

14.5.6.1.2.1. Амплитуда при резонансе

Амплитуда при резонансе получается при подстановке найденного выражения ωрез в формулу для A(ω).

.

При β << ω0:

.

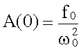
При ω = 0 отклонение системы от положения равновесия

.

Найдем отношение Aрез / A0 при условии β << ω0:

,

здесь Q - добротность.

Добротность показывает (при β << ω0) во сколько раз амплитуда при резонансе больше смещения при ω = 0.

14.5.6.1.2.2. Резонансные кривые

График зависимости A(ω) при различных β носят название резонансных кривых.

β1 < β2 < β3, 23 > ω20, в этом случае резонанса нет.




Поделиться с друзьями:


Дата добавления: 2013-12-12; Просмотров: 614; Нарушение авторских прав?; Мы поможем в написании вашей работы!


Нам важно ваше мнение! Был ли полезен опубликованный материал? Да | Нет



studopedia.su - Студопедия (2013 - 2025) год. Все материалы представленные на сайте исключительно с целью ознакомления читателями и не преследуют коммерческих целей или нарушение авторских прав! Последнее добавление




Генерация страницы за: 0.008 сек.