Студопедия

КАТЕГОРИИ:


Архитектура-(3434)Астрономия-(809)Биология-(7483)Биотехнологии-(1457)Военное дело-(14632)Высокие технологии-(1363)География-(913)Геология-(1438)Государство-(451)Демография-(1065)Дом-(47672)Журналистика и СМИ-(912)Изобретательство-(14524)Иностранные языки-(4268)Информатика-(17799)Искусство-(1338)История-(13644)Компьютеры-(11121)Косметика-(55)Кулинария-(373)Культура-(8427)Лингвистика-(374)Литература-(1642)Маркетинг-(23702)Математика-(16968)Машиностроение-(1700)Медицина-(12668)Менеджмент-(24684)Механика-(15423)Науковедение-(506)Образование-(11852)Охрана труда-(3308)Педагогика-(5571)Полиграфия-(1312)Политика-(7869)Право-(5454)Приборостроение-(1369)Программирование-(2801)Производство-(97182)Промышленность-(8706)Психология-(18388)Религия-(3217)Связь-(10668)Сельское хозяйство-(299)Социология-(6455)Спорт-(42831)Строительство-(4793)Торговля-(5050)Транспорт-(2929)Туризм-(1568)Физика-(3942)Философия-(17015)Финансы-(26596)Химия-(22929)Экология-(12095)Экономика-(9961)Электроника-(8441)Электротехника-(4623)Энергетика-(12629)Юриспруденция-(1492)Ядерная техника-(1748)

Влияние обратного напряжения на коллекторном переходе на токи транзистора. Эффект Эрли




В соответствии с формулами 3.5...3.8 ток связи перестает зависеть от обратных напряжений при | uКП| >> uТ = 26 мВ. Однако реально такая зависимость существует, так как при увеличении обратных напряжений ширина n-p- переходов увеличивается, а ширина базы уменьшается. Зависимость ширины базы от величины обратного напряжения на коллекторе называется эффектом модуляции ширины базы или эффектом Эрли. (Аналогичный эффект в эмиттерном переходе интереса не представляет, так как на эмиттерный переход не подают больших обратных напряжений). На рис 3.12 показаны два распределения n(x) электронов в базе при двух значениях обратного напряжения на коллекторном переходе. Видно, что при uКП = uКП2 ширина базы уменьшилась на величину D WБ. При этом увеличился градиент концентрации электронов

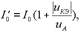
и, следовательно, увеличился и ток связи, являющийся диффузионным. Как следует из рис. 3.12, большему обратному напряжению uКП2 соответствует больший ток связи iЭ-К а, следовательно, и большие токи iЭ и iК. Однако данный эффект в сотни раз слабее, чем влияние прямых напряжений на переходах, и часто не учитывается, или учитывается приближенно. Для учета эффекта Эрли уточняют формулу (3.6) теплового тока транзистора I 0, принимая:

(3.16)

где I0 - ток, определенный без учета эффекта Эрли по формуле (3.6), uА - напряжение Эрли - параметр транзистора, характеризующий величину эффекта Эрли. Обычно uА составляет десятки вольт и более. Физический смысл напряжения Эрли будет рассмотрен позднее в разделе 3.5.




Поделиться с друзьями:


Дата добавления: 2014-01-06; Просмотров: 1125; Нарушение авторских прав?; Мы поможем в написании вашей работы!


Нам важно ваше мнение! Был ли полезен опубликованный материал? Да | Нет



studopedia.su - Студопедия (2013 - 2025) год. Все материалы представленные на сайте исключительно с целью ознакомления читателями и не преследуют коммерческих целей или нарушение авторских прав! Последнее добавление




Генерация страницы за: 0.011 сек.