Студопедия

КАТЕГОРИИ:


Архитектура-(3434)Астрономия-(809)Биология-(7483)Биотехнологии-(1457)Военное дело-(14632)Высокие технологии-(1363)География-(913)Геология-(1438)Государство-(451)Демография-(1065)Дом-(47672)Журналистика и СМИ-(912)Изобретательство-(14524)Иностранные языки-(4268)Информатика-(17799)Искусство-(1338)История-(13644)Компьютеры-(11121)Косметика-(55)Кулинария-(373)Культура-(8427)Лингвистика-(374)Литература-(1642)Маркетинг-(23702)Математика-(16968)Машиностроение-(1700)Медицина-(12668)Менеджмент-(24684)Механика-(15423)Науковедение-(506)Образование-(11852)Охрана труда-(3308)Педагогика-(5571)Полиграфия-(1312)Политика-(7869)Право-(5454)Приборостроение-(1369)Программирование-(2801)Производство-(97182)Промышленность-(8706)Психология-(18388)Религия-(3217)Связь-(10668)Сельское хозяйство-(299)Социология-(6455)Спорт-(42831)Строительство-(4793)Торговля-(5050)Транспорт-(2929)Туризм-(1568)Физика-(3942)Философия-(17015)Финансы-(26596)Химия-(22929)Экология-(12095)Экономика-(9961)Электроника-(8441)Электротехника-(4623)Энергетика-(12629)Юриспруденция-(1492)Ядерная техника-(1748)

Метод расчета коэффициента внутреннего трения




Выполнение работы

Жидкости методом Стокса

Определение коэффициента внутреннего трения

 

1. Цель работы: определение коэффициента внутреннего трения жидкости методом Стокса.

2. Оборудование: цилиндр с исследуемой жидкостью, шарик, микрометр, линейка, секундомер, магнит.

3. Подготовка к работе: а) изучить необходимые теоретические положения по учебникам: [1] § 48; [2] 10.7, 10.8; [3] §§ 39–43, 79; б) ответить на вопросы для самоподготовки 1–17; в) уметь пользоваться измерительными приборами.

Для выполнения работы студент должен знать: а) явления переноса (диффузия, внутреннее трение, теплопроводность) и уравнения, описывающие эти неравновесные процессы; б) методику расчета коэффициента внутреннего трения жидкости, его физический смысл; в) физический смысл числа Рейнольдса и различие между ламинарным и турбулентным течением; г) порядок расчета абсолютной и относительной погрешностей при прямых и косвенных измерениях.

В трубах при движении жидкости различные слои жидкости движутся с разными скоростями, причем, чем дальше слой от стенки сосуда, тем его скорость больше. При этом слой жидкости с большей скоростью увлекает рядом находящийся слой, движущийся с меньшей скоростью. Слой же с меньшей скоростью, в свою очередь, действует на слой, движущийся с большей скоростью, и тормозит его, то есть происходит обмен импульсом соседних слоев.

При установившемся движении скорости слоев остаются постоянными. Силу, с которой один слой жидкости действует на другой, называют силой внутреннего трения. Величина силы внутреннего трения зависит от разности скоростей движения слоев, от расстояния между слоями и площади их соприкосновения.

Эта зависимость выражается формулой

 

,

 

где – сила внутреннего трения; h – коэффициент внутреннего трения; – разность скоростей слоев, отстоящих на расстояние ; – градиент скорости, характеризующий быстроту ее изменения в указанном направлении; – площадь, на которую действует сила трения.

Коэффициент внутреннего трения может быть определен из наблюдений за движением шарика в вязкой среде (метод Стокса).

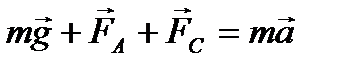
На шарик (рис. 1), движущийся в вязкой среде, действуют силы:

1) направленная вниз сила тяжести

, (1)

 

где m – масса шарика; – его объем; – плотность материала шарика; g – ускорение свободного падения;

2) направленная вверх сила Архимеда

, (2)

 

где – плотность жидкости;

3) cила сопротивления среды, обусловленная вязкостью жидкости, направлена в сторону, противоположную скорости движения шарика.

Согласно формуле, выведенной Стоксом, сила внутреннего трения пропорциональна скорости шарика, его радиусу и коэффициенту внутреннего трения (динамической вязкости):

. (3)

 

Эта формула справедлива для движущегося в жидкости твердого шарика при условии, что скорость его невелика, а расстояние до границ жидкости значительно больше диаметра шарика.

Основное уравнение поступательного движения шарика записывается в виде:

. (4)

 

В проекции на ось Х (см. рис. 1) с учетом равенств (1–3) уравнение (4) примет вид:

 

. (5)

 

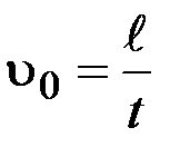
Сила сопротивления зависит от скорости и при некотором ее значении движение шарика становится равномерным, то есть выполняется соотношение:

 

, (6)

 

где – скорость установившегося равномерного движения; – расстояние между метками на цилиндре с жидкостью; – время равномерного движения шарика.

Из уравнения (6) с учетом соотношения для определения скорости равномерного движения находят коэффициент внутреннего трения исследуемой жидкости:

 

. (7)




Поделиться с друзьями:


Дата добавления: 2014-11-07; Просмотров: 933; Нарушение авторских прав?; Мы поможем в написании вашей работы!


Нам важно ваше мнение! Был ли полезен опубликованный материал? Да | Нет



studopedia.su - Студопедия (2013 - 2026) год. Все материалы представленные на сайте исключительно с целью ознакомления читателями и не преследуют коммерческих целей или нарушение авторских прав! Последнее добавление




Генерация страницы за: 0.011 сек.