Студопедия

КАТЕГОРИИ:


Архитектура-(3434)Астрономия-(809)Биология-(7483)Биотехнологии-(1457)Военное дело-(14632)Высокие технологии-(1363)География-(913)Геология-(1438)Государство-(451)Демография-(1065)Дом-(47672)Журналистика и СМИ-(912)Изобретательство-(14524)Иностранные языки-(4268)Информатика-(17799)Искусство-(1338)История-(13644)Компьютеры-(11121)Косметика-(55)Кулинария-(373)Культура-(8427)Лингвистика-(374)Литература-(1642)Маркетинг-(23702)Математика-(16968)Машиностроение-(1700)Медицина-(12668)Менеджмент-(24684)Механика-(15423)Науковедение-(506)Образование-(11852)Охрана труда-(3308)Педагогика-(5571)Полиграфия-(1312)Политика-(7869)Право-(5454)Приборостроение-(1369)Программирование-(2801)Производство-(97182)Промышленность-(8706)Психология-(18388)Религия-(3217)Связь-(10668)Сельское хозяйство-(299)Социология-(6455)Спорт-(42831)Строительство-(4793)Торговля-(5050)Транспорт-(2929)Туризм-(1568)Физика-(3942)Философия-(17015)Финансы-(26596)Химия-(22929)Экология-(12095)Экономика-(9961)Электроника-(8441)Электротехника-(4623)Энергетика-(12629)Юриспруденция-(1492)Ядерная техника-(1748)

Часть 5. Элементы линейного программирования




 

Общая постановка задачи

Определение 1. Линейное программирование — наука о ме­тодах исследования и отыскания экстремальных (наибольших и наименьших) значений линейной функции, на неизвестные которой наложены линейные ограничения.

Эта линейная функция называется целевой, а ограничения, которые математически записываются в виде уравнений или неравенств, называются системой ограничений.

Определение 2. Математическое выражение целевой функ­ции и ее ограничений называется математической моделью экономической задачи.

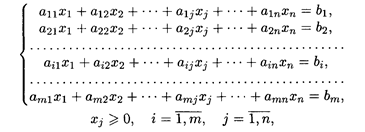
В общем виде математическая модель задачи линейного программирования (ЛП) записывается как

 

 

при ограничениях:

 

где xj — неизвестные; aij, bi, cj — заданные постоянные вели­чины.

Все или некоторые уравнения системы ограничений могут быть записаны в виде неравенств.

Математическая модель в более краткой записи имеет вид

 

 

при ограничениях:

 

Определение 3. Допустимым решением (планом) зада­чи линейного программирования называется вектор = (x 1, x 2,..., xп), удовлетворяющий системе ограничений.

Множество допустимых решений образует область допус­тимых решений (ОДР).

Определение 4. Допустимое решение, при котором целевая функция достигает своего экстремального значения, называ­ется оптимальным решением задачи линейного программиро­вания и обозначается опт.

Базисное допустимое решение 1, х 2 ,..., x r, 0, …, 0) яв­ляется опорным решением, где r — ранг системы ограничений.

 

Виды математических моделей

 

Математическая модель задачи ЛП может быть каноничес­кой и неканонической.

Определение 5. Если все ограничения системы заданы урав­нениями и переменные xj неотрицательные, то такая модель задачи называется канонической.

Если хотя бы одно ограничение является неравенством, то модель задачи ЛП является неканонической. Чтобы перейти от неканонической модели к канонической, необходимо в каждое неравенство ввести балансовую переменную xn+i. Если знак неравенства ≤, то балансовая переменная вводится со знаком плюс, если знак неравенства ≥, то — минус. В целевую функ­цию балансовые переменные не вводятся.

Чтобы составить математическую модель задачи ЛП, не­обходимо:

— ввести обозначения переменных;

— исходя из цели экономических исследований, составить целевую функцию;

— учитывая ограничения в использовании экономических показателей задачи и их количественные закономернос­ти, записать систему ограничений.

Для рассмотрения решения задач линейного программиро­вания дадим некоторые понятия аналитической геометрии в n -мерном пространстве.

Глава 19. ЭЛЕМЕНТЫ АНАЛИТИЧЕСКОЙ ГЕОМЕТРИИ В n -МЕРНОМ ПРОСТРАНСТВЕ




Поделиться с друзьями:


Дата добавления: 2014-10-15; Просмотров: 409; Нарушение авторских прав?; Мы поможем в написании вашей работы!


Нам важно ваше мнение! Был ли полезен опубликованный материал? Да | Нет



studopedia.su - Студопедия (2013 - 2026) год. Все материалы представленные на сайте исключительно с целью ознакомления читателями и не преследуют коммерческих целей или нарушение авторских прав! Последнее добавление




Генерация страницы за: 0.011 сек.