Студопедия

КАТЕГОРИИ:


Архитектура-(3434)Астрономия-(809)Биология-(7483)Биотехнологии-(1457)Военное дело-(14632)Высокие технологии-(1363)География-(913)Геология-(1438)Государство-(451)Демография-(1065)Дом-(47672)Журналистика и СМИ-(912)Изобретательство-(14524)Иностранные языки-(4268)Информатика-(17799)Искусство-(1338)История-(13644)Компьютеры-(11121)Косметика-(55)Кулинария-(373)Культура-(8427)Лингвистика-(374)Литература-(1642)Маркетинг-(23702)Математика-(16968)Машиностроение-(1700)Медицина-(12668)Менеджмент-(24684)Механика-(15423)Науковедение-(506)Образование-(11852)Охрана труда-(3308)Педагогика-(5571)Полиграфия-(1312)Политика-(7869)Право-(5454)Приборостроение-(1369)Программирование-(2801)Производство-(97182)Промышленность-(8706)Психология-(18388)Религия-(3217)Связь-(10668)Сельское хозяйство-(299)Социология-(6455)Спорт-(42831)Строительство-(4793)Торговля-(5050)Транспорт-(2929)Туризм-(1568)Физика-(3942)Философия-(17015)Финансы-(26596)Химия-(22929)Экология-(12095)Экономика-(9961)Электроника-(8441)Электротехника-(4623)Энергетика-(12629)Юриспруденция-(1492)Ядерная техника-(1748)

Виды дисперсий




 

Часто значения количественного признака Х совокупности разбиваются на определенное число групп. Каждую группу можно рассматривать как самостоятельную выборку, и для каждой группы можно определить групповую среднюю и дис­персию. Пусть r — число групп. Групповой дисперсией на зывается дисперсия значений признака в группе относительно групповой средней:

 

 

где ni частота значения xi в группе, j — номер группы j групповая средняя j- й группы, Nj = ni, — объем j -й группы.

Зная дисперсию каждой группы, можно определить их сред­нюю арифметическую. Внутригрупповой дисперсией называ­ется средняя арифметическая дисперсий, где каждое слагаемое входит с весом объема группы:

 

 

В свою очередь, зная для всех групп средние j и общую среднюю , введем еще одно понятие. Межгрупповой диспер­сией называется дисперсия групповых средних относительно общей средней:

 

 

где п = объем всей совокупности.

Для общей дисперсии всей совокупности справедлива сле­дующая теорема, которая приводится здесь без доказатель­ства.

ТЕОРЕМА 6. Если совокупность состоит из нескольких групп, то общая дисперсия равна сумме внутригрупповой и межгрупповой дисперсий:

 

где слагаемые в правой части определяются соответствен­но формулами (18.57) и (18.58).

Поясним сказанное в этом пункте на примере.

Пример 5. Совокупность состоит из двух следующих групп:

 

 

Найти групповые, внутригрупповую, межгрупповую и общую дисперсии.

Решение. Объемы групп соответственно равны N 1 = 10 и N 2 = 5. Общий объем совокупности: п = 10 + 5 = 15. Найдем групповые средние:

 

 

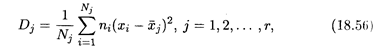
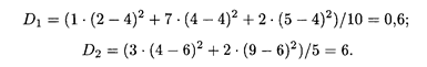
Теперь находим групповые дисперсии по формуле (18.56):

 

 

Внутригрупповая дисперсия, согласно формуле (18.57), равна:

 

 

Теперь найдем межгрупповую дисперсию по формуле (18.58), для чего сначала определим общую среднюю:

 

 

Наконец, общая дисперсия, согласно формуле (18.59), равна:

 




Поделиться с друзьями:


Дата добавления: 2014-10-15; Просмотров: 450; Нарушение авторских прав?; Мы поможем в написании вашей работы!


Нам важно ваше мнение! Был ли полезен опубликованный материал? Да | Нет



studopedia.su - Студопедия (2013 - 2026) год. Все материалы представленные на сайте исключительно с целью ознакомления читателями и не преследуют коммерческих целей или нарушение авторских прав! Последнее добавление




Генерация страницы за: 0.011 сек.