Студопедия

КАТЕГОРИИ:


Архитектура-(3434)Астрономия-(809)Биология-(7483)Биотехнологии-(1457)Военное дело-(14632)Высокие технологии-(1363)География-(913)Геология-(1438)Государство-(451)Демография-(1065)Дом-(47672)Журналистика и СМИ-(912)Изобретательство-(14524)Иностранные языки-(4268)Информатика-(17799)Искусство-(1338)История-(13644)Компьютеры-(11121)Косметика-(55)Кулинария-(373)Культура-(8427)Лингвистика-(374)Литература-(1642)Маркетинг-(23702)Математика-(16968)Машиностроение-(1700)Медицина-(12668)Менеджмент-(24684)Механика-(15423)Науковедение-(506)Образование-(11852)Охрана труда-(3308)Педагогика-(5571)Полиграфия-(1312)Политика-(7869)Право-(5454)Приборостроение-(1369)Программирование-(2801)Производство-(97182)Промышленность-(8706)Психология-(18388)Религия-(3217)Связь-(10668)Сельское хозяйство-(299)Социология-(6455)Спорт-(42831)Строительство-(4793)Торговля-(5050)Транспорт-(2929)Туризм-(1568)Физика-(3942)Философия-(17015)Финансы-(26596)Химия-(22929)Экология-(12095)Экономика-(9961)Электроника-(8441)Электротехника-(4623)Энергетика-(12629)Юриспруденция-(1492)Ядерная техника-(1748)

Корреляционный анализ




Корреляционный анализ решает две основные задачи.

Первая задача заключается в определении формы свя­зи, т.е. в установлении математической формы, в кото­рой выражается данная связь. Это очень важно, так как от правильного выбора формы связи зависит конечный ре­зультат изучения взаимосвязи между признаками.

Вторая задача состоит в измерении тесноты, т.е. меры связи между признаками с целью установить степень вли­яния данного фактора на результат. Она решается мате­матически путем определения параметров корреляцион­ного уравнения.

Затем проводятся оценка и анализ полученных резуль­татов при помощи специальных показателей корреляци­онного метода (коэффициентов детерминации, линейной и множественной корреляции и т.д.), а также проверка существенности связи между изучаемыми признаками.

Определяющая роль в выборе формы связи между явлениями принадлежит теоретичес­кому анализу. Так, например, чем больше размер основ­ного капитала предприятия (факторный признак), тем боль­ше при прочих равных условиях оно выпускает продук­ции (результативный признак). С ростом факторного при­знака здесь, как правило, равномерно растет и результа­тивный, поэтому зависимость между ними может быть выражена уравнением прямой Y = а0 + а1 x, которое назы­вается линейным уравнением регрессии.

Параметр а1 называется коэффициентом регрессии и показывает, насколько в среднем отклоняется величина результативного признака у при отклонении величины факторного признаках на одну единицу. При х=0 а0 = Y. Увеличение количества внесенных удобрений приводит, при прочих равных условиях, к росту урожайности, но чрезмерное внесение их без изменения других элементов к дальнейшему повышению урожайности не приводит, а, наоборот, снижает ее. Такая зависимость может быть вы­ражена уравнением параболы Y = а0 + а1 x+ а2 x2..

Параметр а2 характеризует степень ускорения или за­медления кривизны параболы, и при а2 > 0 парабола име­ет минимум, а при а2 < 0 — максимум. Параметр а1 ха­рактеризует угол наклона кривой, а параметр а0 — начало кривой.

Однако с помощью теоретического анализа не всегда удается установить форму связи. В таких случаях прихо­дится только предполагать о наличии определенной фор­мы связи. Проверить эти предположения можно при по­мощи графического анализа, который используется для выбора формы связи между явлениями, хотя графический метод изучения связи применяется и самостоятельно.

Применение мето­дов корреляционного анализа дает возможность выражать связь между признаками аналитически — в виде уравне­ния — и придавать ей количественное выражение. Рас­смотрим применение приемов корреляционного анализа на конкретном примере.

Допустим, что между стоимостью основного капитала и выпуском продукции существует прямолинейная связь, которая выражается уравнением прямой Y = а0 + а1 x. Не­обходимо найти параметры а0 и a1 что позволит опреде­лить теоретические значения Y для разных значений х. Причем а0 и a1 должны быть такими, чтобы было достиг­нуто максимальное приближение к первоначальным (эм­пирическим) значениям теоретических значений Y. Эта за­дача решается при помощи способа наименьших квадра­тов, основное условие которого сводится к определению параметров а0 и a1 таким образом, чтобы å (уi - Y) 2 = min.

Математически доказано, что условие минимума обеспе­чивается, если параметры а0 и a1 определяются при помо­щи системы двух нормальных уравнений, отвечающих требованию метода наименьших квадратов:

åy=na0 +a1åx

åxy=a0*åx 2 (8.10)

Первое уравнение есть сумма всех первоначальных уравнений. Второе получается умножением обеих частей уравнения прямой на один и тот же множитель. Математически доказано, что условие å (уi - Y) 2 = min соблюдается, если в качестве такого множителя принять значе­ние факторного признака, т.е. если уравнение прямой умножить на x.

Кроме рассмотренных функций связи в экономичес­ком анализе часто применяются степенная, показательная и гиперболическая функции.

Степенная функция имеет вид Y = а0 ха1. Параметр a1 степенного уравнения называется показателем эластично­сти и указывает, на сколько процентов изменится у при возрастании х на 1 %. При х = 1 а0 =. Y.

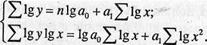
Для определения параметров степенной функции вна­чале ее приводят к линейному виду путем логарифмиро­вания: l g y = lg a0 + а1 lg x1, а затем строят систему нор­мальных уравнений:

(8.11)

Решив систему двух нормальных уравнений, находят логарифмы параметров логарифмической функции а0 и а1 а затем и сами параметры а0 и а1 При помощи степенной функции определяют, например, зависимость между фондом заработной платы и выпуском продукции, затратами труда и выпуском продукции и т.д.

Если факторный признак x растет в арифметической про­грессии, а результативный у — в геометрической, то такая зависимость выражается показательной функцией Y = а0 * а1 2. Для определения параметров показательной функции ее так­же вначале приводят к линейному виду путем логарифми­рования: lg у = lg а0 + х lg a1, а затем строят систему нор­мальных уравнений:

(8.12)

Вычислив соответствующие данные и решив систему двух нормальных уравнений, находят параметры показа­тельной функции ао и а1.

В ряде случаев обратная связь между факторным и результативным признаками может быть выражена урав­нением гиперболы:

(8.13)

 
 

И здесь задача заключается в нахождении параметров а0 и at при помощи системы двух нормальных уравнений:

(8.14)

При помощи гиперболической функции изучают, на­пример, связь между выпуском продукции и себестоимо­стью, уровнем издержек обращения (в % к товарообороту) и товарооборотом в торговле, сроками уборки и урожай­ностью и т.д.

Таким образом, применение различных функций в ка­честве уравнения связи сводится к определению парамет­ров уравнения по способу наименьших квадратов при по­мощи системы нормальных уравнений.

В малых совокупностях значение коэффициента рег­рессии подвержено случайным колебаниям. Поэтому воз­никает необходимость в определении достоверности ко­эффициента регрессии. Достоверность коэффициента ре­грессии определяется так же, как и в выборочном наблю­дении, т.е. устанавливаются средняя и предельная ошиб­ки для выборочной средней и доли. Средняя ошибка коэффициента регрессии определяется по формуле:


(8.15)

где s02 случайная дисперсия; s 2 общая дисперсия, п - число коррелируемых пар.




Поделиться с друзьями:


Дата добавления: 2014-11-25; Просмотров: 576; Нарушение авторских прав?; Мы поможем в написании вашей работы!


Нам важно ваше мнение! Был ли полезен опубликованный материал? Да | Нет



studopedia.su - Студопедия (2013 - 2026) год. Все материалы представленные на сайте исключительно с целью ознакомления читателями и не преследуют коммерческих целей или нарушение авторских прав! Последнее добавление




Генерация страницы за: 0.011 сек.