Студопедия

КАТЕГОРИИ:


Архитектура-(3434)Астрономия-(809)Биология-(7483)Биотехнологии-(1457)Военное дело-(14632)Высокие технологии-(1363)География-(913)Геология-(1438)Государство-(451)Демография-(1065)Дом-(47672)Журналистика и СМИ-(912)Изобретательство-(14524)Иностранные языки-(4268)Информатика-(17799)Искусство-(1338)История-(13644)Компьютеры-(11121)Косметика-(55)Кулинария-(373)Культура-(8427)Лингвистика-(374)Литература-(1642)Маркетинг-(23702)Математика-(16968)Машиностроение-(1700)Медицина-(12668)Менеджмент-(24684)Механика-(15423)Науковедение-(506)Образование-(11852)Охрана труда-(3308)Педагогика-(5571)Полиграфия-(1312)Политика-(7869)Право-(5454)Приборостроение-(1369)Программирование-(2801)Производство-(97182)Промышленность-(8706)Психология-(18388)Религия-(3217)Связь-(10668)Сельское хозяйство-(299)Социология-(6455)Спорт-(42831)Строительство-(4793)Торговля-(5050)Транспорт-(2929)Туризм-(1568)Физика-(3942)Философия-(17015)Финансы-(26596)Химия-(22929)Экология-(12095)Экономика-(9961)Электроника-(8441)Электротехника-(4623)Энергетика-(12629)Юриспруденция-(1492)Ядерная техника-(1748)

Завдання з теми «Ряди». 1 страница




Завдання з теми «Диференціальні рівняння та системи».

 

Рекомендована література:

[2], гл. I;

[3], гл. 8;

[14].

 

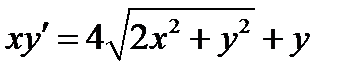
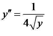
Завдання 1.

Знайти загальний розв’язок або загальний інтеграл диференціального рівняння.

 

1. ; 16. ;

2. ; 17. ;

3. ; 18. ;

4. ; 19. ;

5. ; 20. ;

6. ; 21. ;

7. ; 22. ;

8. ; 23. ;

9. ; 24. ;

10. ; 25. ;

11. ; 26. ;

12. ; 27. ;

13. ; 28. ;

14. ; 29. ;

15. ; 30. .

 

Завдання 2.

Знайти загальний інтеграл диференціального рівняння.

 

1. ; 16. ;

2. ; 17. ;

3. ; 18. ;

4. ; 19. ;

5. ; 20. ;

6. ; 21. ;

7. ; 22. ;

8. ; 23. ;

9. ; 24. ;

10. ; 25. ;

11. ; 26. ;

12. ; 27. ;

13. ; 28. ;

14. ; 29. ;

15. ; 30. .

 

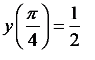
Завдання 3.

Знайти розв’язок задачі Коші.

 

1. , ; 16. , ;

2. , ; 17. , ;

3. , ; 18. , ;

4. , ; 19. , ;

5. , ; 20. , ;

6. , ; 21. , ;

7. , ; 22. , ;

8. , ; 23. , ;

9. , ; 24. , ;

10. , ; 25. , ;

11. , ; 26. , ;

12. , ; 27. , ;

13. , ; 28. , ;

14. , ; 29. , ;

15. , ; 30. , .

 

Завдання 4.

Знайти загальний розв’язок або загальний інтеграл диференціального рівняння.

 

1. ; 16. ;

2. ; 17. ;

3. ; 18. ;

4. ; 19. ;

5. ; 20. ;

6. ; 21. ;

7. ; 22. ;

8. ; 23. ;

9. ; 24. ;

10. ; 25. ;

11. ; 26. ;

12. ; 27. ;

13. ; 28. ;

14. ; 29. ;

15. ; 30. .

 

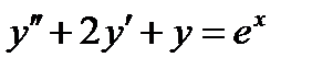
Завдання 5.

Знайти загальний розв’язок диференціального рівняння.

 

1. ; 16. ;

2. ; 17. ;

3. ; 18. ;

4. ; 19. ;

5. ; 20. ;

6. ; 21. ;

7. ; 22. ;

8. ; 23. ;

9. ; 24. ;

10. ; 25. ;

11. ; 26. ;

12. ; 27. ;

13. ; 28. ;

14. ; 29. ;

15. ; 30. .

 

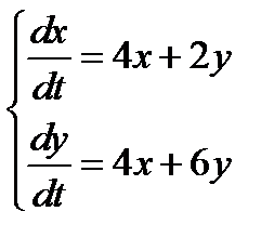
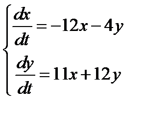
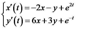
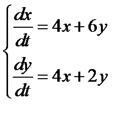
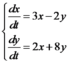
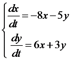
Завдання 6.

Знайти загальний розв’язок системи лінійних диференціальних рівнянь зі сталими коефіцієнтами за допомогою характеристичного рівняння.

 

1. ; 16. ;

2. ; 17. ;

3. ; 18. ;

4. ; 19. ;

5. ; 20. ;

6. ; 21. ;

7. ; 22. ;

8. ; 23. ;

9. ; 24. ;

10. ; 25. ;

11. ; 26. ;

12. ; 27. ;

13. ; 28. ;

14. ; 29. ;

15. ; 30. .

 

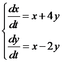
Завдання 7.

Розв’язати методом виключення невідомих систему диференціальних рівнянь, що задовольняють нульовим початковим умовам.

 

1. ; 16. ;

2. ; 17. ;

3. ; 18. ;

4. ; 19. ;

5. ; 20. ;

6. ; 21. ;

7. ; 22. ;

8. ; 23. ;

9. ; 24. ;

10. ; 25. ;

11. ; 26. ;

12. ; 27. ;

13. ; 28. ;

14. ; 29. ;

15. ; 30. .

 

Рекомендована література:

[2], гл. IV-VI;

[3], гл. 9.

 

Завдання 1.

Довести розбіжність ряду.

 

1. ; 16. ;

2. ; 17. ;

3. ; 18. ;

4. ; 19. ;

5. ; 20. ;

6. ; 21. ;

7. ; 22. ;

8. ; 23. ;

9. ; 24. ;

10. ; 25. ;

11. ; 26. ;

12. ; 27. ;

13. ; 28. ;

14. ; 29. ;

15. ; 30. .

 

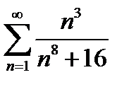
Завдання 2.

Дослідити на збіжність ряди.

 

1. а) ; б) ;

в) ; г) ;

 

2. а) ; б) ;

в) ; г) ;

 

3. а) ; б) ;

в) ; г) ;

4. а) ; б) ;

в) ; г) ;

 

5. а) ; б) ;

в) ; г) ;

6. а) ; б) ;




Поделиться с друзьями:


Дата добавления: 2014-11-08; Просмотров: 467; Нарушение авторских прав?; Мы поможем в написании вашей работы!


Нам важно ваше мнение! Был ли полезен опубликованный материал? Да | Нет



studopedia.su - Студопедия (2013 - 2026) год. Все материалы представленные на сайте исключительно с целью ознакомления читателями и не преследуют коммерческих целей или нарушение авторских прав! Последнее добавление




Генерация страницы за: 0.01 сек.