Студопедия

КАТЕГОРИИ:


Архитектура-(3434)Астрономия-(809)Биология-(7483)Биотехнологии-(1457)Военное дело-(14632)Высокие технологии-(1363)География-(913)Геология-(1438)Государство-(451)Демография-(1065)Дом-(47672)Журналистика и СМИ-(912)Изобретательство-(14524)Иностранные языки-(4268)Информатика-(17799)Искусство-(1338)История-(13644)Компьютеры-(11121)Косметика-(55)Кулинария-(373)Культура-(8427)Лингвистика-(374)Литература-(1642)Маркетинг-(23702)Математика-(16968)Машиностроение-(1700)Медицина-(12668)Менеджмент-(24684)Механика-(15423)Науковедение-(506)Образование-(11852)Охрана труда-(3308)Педагогика-(5571)Полиграфия-(1312)Политика-(7869)Право-(5454)Приборостроение-(1369)Программирование-(2801)Производство-(97182)Промышленность-(8706)Психология-(18388)Религия-(3217)Связь-(10668)Сельское хозяйство-(299)Социология-(6455)Спорт-(42831)Строительство-(4793)Торговля-(5050)Транспорт-(2929)Туризм-(1568)Физика-(3942)Философия-(17015)Финансы-(26596)Химия-(22929)Экология-(12095)Экономика-(9961)Электроника-(8441)Электротехника-(4623)Энергетика-(12629)Юриспруденция-(1492)Ядерная техника-(1748)

Логарифмическое дифференцирование. Вывод производной степенной ф-ции




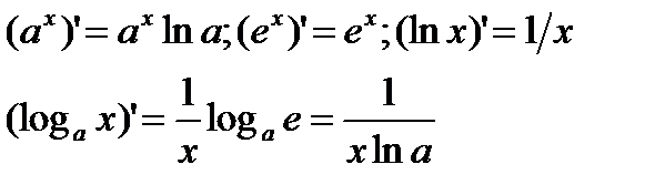
Производные показательных и логарифмических функций.

Производные обратных тригонометрических функций.

Производные степенных и тригонометрических функций.

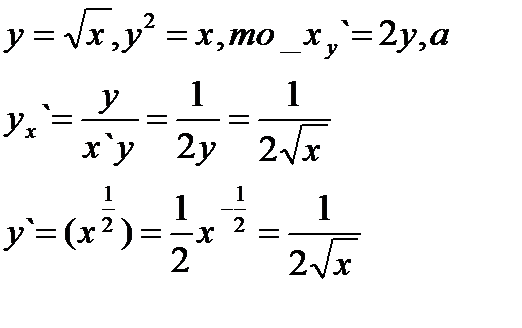
Дифференцирование обратной ф-ции.

y=f(x), то x=j(y) - обратная ф-ция.

Для дифференцируемой ф-ции с производной, не = 0, производная обратной ф-ции = обратной величине производной данной ф-ции, т.е. xy`=1/yx`.

Dy/Dx=1/(Dy/Dx) - возьмем предел от левой и правой части, учитывая, что предел частного = частному пределов:

lim(Dy/Dx)=1/(lim(Dy/Dx), т.е. yx`=1/xy или f`(x)=1/j`(x)

Например:

 

Основные формулы:

 

Основные формулы:

Для сложных функций:

 

Основные формулы:

Если z=z(x) – дифференцируемая функция от x, то формулы имеют вид:

y=ax - показательная ф-ция, y=xn - степенная, y=xx - показательно-степенная.

y=[f(x)]j(x) - показательно-степенная ф-ция.

lny=xlnx - найдем производную от левой и правой части, считая у ф-цией х.

(1/y)*y`=(lny)

(x*lnx)`=x`lnx+x*(lnx)`=lnx+1

y`=y*(lnx+1)=xx(lnx+1)

Операция, которая заключается в последовательном применении к ф-ции y=f(x) сначала логарифмирование, а затем дифференцирование.

Степенная ф-ция:

1.y=xn, nlnx, y`/y=n/x=n*(x)-1

y`=y*n*(x-1)=n*xn*x-1=n*xn-1

2.y=eU, где U=sinx

U`=cosx, y`=(eU)`=eU*U`=esinx*cosx.




Поделиться с друзьями:


Дата добавления: 2014-11-16; Просмотров: 580; Нарушение авторских прав?; Мы поможем в написании вашей работы!


Нам важно ваше мнение! Был ли полезен опубликованный материал? Да | Нет



studopedia.su - Студопедия (2013 - 2025) год. Все материалы представленные на сайте исключительно с целью ознакомления читателями и не преследуют коммерческих целей или нарушение авторских прав! Последнее добавление




Генерация страницы за: 0.007 сек.