Студопедия

КАТЕГОРИИ:


Архитектура-(3434)Астрономия-(809)Биология-(7483)Биотехнологии-(1457)Военное дело-(14632)Высокие технологии-(1363)География-(913)Геология-(1438)Государство-(451)Демография-(1065)Дом-(47672)Журналистика и СМИ-(912)Изобретательство-(14524)Иностранные языки-(4268)Информатика-(17799)Искусство-(1338)История-(13644)Компьютеры-(11121)Косметика-(55)Кулинария-(373)Культура-(8427)Лингвистика-(374)Литература-(1642)Маркетинг-(23702)Математика-(16968)Машиностроение-(1700)Медицина-(12668)Менеджмент-(24684)Механика-(15423)Науковедение-(506)Образование-(11852)Охрана труда-(3308)Педагогика-(5571)Полиграфия-(1312)Политика-(7869)Право-(5454)Приборостроение-(1369)Программирование-(2801)Производство-(97182)Промышленность-(8706)Психология-(18388)Религия-(3217)Связь-(10668)Сельское хозяйство-(299)Социология-(6455)Спорт-(42831)Строительство-(4793)Торговля-(5050)Транспорт-(2929)Туризм-(1568)Физика-(3942)Философия-(17015)Финансы-(26596)Химия-(22929)Экология-(12095)Экономика-(9961)Электроника-(8441)Электротехника-(4623)Энергетика-(12629)Юриспруденция-(1492)Ядерная техника-(1748)

Второй закон Ньютона




Второй закон Ньютона – основной закон динамики поступательного движения – отвечает на вопрос, как изменяется механическое движение материального объекта (точки, тела) под действием приложенных к нему сил.
В динамике рассматриваются два типа задач, решения которых находятся на основе второго закона Ньютона. Задачи первого типа состоят в том, чтобы, зная движение тела, определить действующие на него силы. Классическим примером решения такой задачи является открытие Ньютоном закона всемирного тяготения: зная установленные Кеплером на основании результатов наблюдений законы движений планет, Ньютон доказал, что это движение происходит под действием силы, обратно пропорциональной квадрату расстояния между планетой и Солнцем.
Задачи второго типа являются в динамике основными и состоят в том, чтобы по действующим на тело силам определить закон его движения (уравнение движения). Для решения этих задач необходимо знать начальные условия, т.е. положение и скорость тела в момент начала его движения под действием заданных сил. Примерами таких задач являются следующие: а) по величине и направлению скорости снаряда в момент его вылета из канала ствола и действующим на снаряд при его движении силе тяжести и силе сопротивления воздуха найти закон движения снаряда, в частности его траекторию, горизонтальную дальность полета, время движения до цели; б) по известным скорости автомобиля в момент начала торможения и силе торможения найти время движения и путь до остановки.
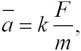
Второй закон Ньютона формулируется следующим образом: ускорение, приобретаемое материальной точкой (телом), прямо пропорционально действующей силе, совпадает с нею по направлению и обратно пропорционально массе материальной точки (тела):

(2.3)

где k - коэффициент пропорциональности, зависящий от выбора системы единиц. В международной системе (СИ) k =1, поэтому

(2.4)

Второй закон Ньютона обычно записывается в следующей форме:


или

(2.5)

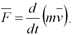
Вектор mv=p называется импульсом или количеством движения. В отличие от ускорения и скорости, импульс является характеристикой движущегося тела, отражающей не только кинематическую меру движения (скорость), но и его важнейшее динамическое свойство – массу.

Таким образом, можно записать:

(2.6)

Выражение (2.6) является более общей формулировкой второго закона Ньютона: скорость изменения импульса материальной точки равна действующей на нее силе.
Это уравнение называется уравнением движения материальной точки.
Единица силы в системе СИ – ньютон (Н):
1 Н – это сила, которая телу массой в 1 кг сообщает ускорение 1 м/с2 в направлении действия силы:

1 Н = 1 кг*1 м/с2.


При действии на материальную точку нескольких сил справедлив принцип независимости действия сил: если на материальную точку действуют одновременно несколько сил, то каждая из этих сил сообщает материальной точке ускорение, определяемое вторым законом Ньютона так, как если бы других сил не было:


где сила называется равнодействующей сил или результирующей силой.
Таким образом, если на тело действует одновременно несколько сил, то, согласно принципу независимости действия сил, под силой F во втором законе Ньютона понимают результирующую силу.
Второй закон Ньютона справедлив только в инерциальных системах отсчета. Первый закон Ньютона можно получить из второго закона: в случае равенства нулю равнодействующей силы ускорение также равно нулю, т.е. тело находится в покое или движется равномерно.

 

 

3 вопрос: Третий закон Ньютона и закон сохранения импульса. Закон всемирного тяготения. Сила трения

 




Поделиться с друзьями:


Дата добавления: 2014-11-08; Просмотров: 1574; Нарушение авторских прав?; Мы поможем в написании вашей работы!


Нам важно ваше мнение! Был ли полезен опубликованный материал? Да | Нет



studopedia.su - Студопедия (2013 - 2025) год. Все материалы представленные на сайте исключительно с целью ознакомления читателями и не преследуют коммерческих целей или нарушение авторских прав! Последнее добавление




Генерация страницы за: 0.009 сек.