Студопедия

КАТЕГОРИИ:


Архитектура-(3434)Астрономия-(809)Биология-(7483)Биотехнологии-(1457)Военное дело-(14632)Высокие технологии-(1363)География-(913)Геология-(1438)Государство-(451)Демография-(1065)Дом-(47672)Журналистика и СМИ-(912)Изобретательство-(14524)Иностранные языки-(4268)Информатика-(17799)Искусство-(1338)История-(13644)Компьютеры-(11121)Косметика-(55)Кулинария-(373)Культура-(8427)Лингвистика-(374)Литература-(1642)Маркетинг-(23702)Математика-(16968)Машиностроение-(1700)Медицина-(12668)Менеджмент-(24684)Механика-(15423)Науковедение-(506)Образование-(11852)Охрана труда-(3308)Педагогика-(5571)Полиграфия-(1312)Политика-(7869)Право-(5454)Приборостроение-(1369)Программирование-(2801)Производство-(97182)Промышленность-(8706)Психология-(18388)Религия-(3217)Связь-(10668)Сельское хозяйство-(299)Социология-(6455)Спорт-(42831)Строительство-(4793)Торговля-(5050)Транспорт-(2929)Туризм-(1568)Физика-(3942)Философия-(17015)Финансы-(26596)Химия-(22929)Экология-(12095)Экономика-(9961)Электроника-(8441)Электротехника-(4623)Энергетика-(12629)Юриспруденция-(1492)Ядерная техника-(1748)

Построение сетевой модели и диаграммы Гантта




Расписание проекта

Лабораторная работа №4

Совершенствование технологического оборудования

Этап Работа Предшест. работы Время Ресурсы
Обоснование 1.1 Анализ планов производства     Нач. цеха
1.2 Заключение о росте числа операций, выполняемых на оборудовании 1.1   Нач. цеха, экономист
1.3 Выбор требуемых характеристик 1.2   Нач. цеха, технолог
1.4 Выбор оборудования из прайс-листов 1.3   Нач. цеха
1.5 Анализ срока окупаемости оборудования 1.4   Экономист
Закупка оборудования 2.1 Заключение договора на закупку и запуск оборудования 1.4, 1.5   Экономист
2.2 Оплата счёта на оборудование 2.1   Экономист
2.3 Получение оборудования от поставщика 2.2   Нач. цеха
Пуско-наладка 3.1 Формирование фундамента под оборудование 2.2   Рабочие (3 чел.)
3.2 Установка и подключение оборудования 2.3, 3.1   Мастер, рабочие (3 чел.)
3.3 Пробный пуск и настройка 3.2   Рабочие (2 чел.)
3.4 Актирование и сдача в эксплуатацию 3.3   Нач. цеха
Внедрение 4.1 Обучение работников использованию оборудования 3.2   Эксперт
4.2 Формирование инструкций по обслуживанию оборудования 3.2   Технолог
4.3 Включение в технологии нового оборудования 3.4   Технолог (2 чел.)
4.4 Внедрение новых методов работ с использованием оборудования 3.2   Технолог
Оценка эффективно­сти ин­ве­сти­ций 5.1 Сбор данных о работе оборудования: отказах, расходе ГСМ и т.д. 3.4, 4.4   Нач. цеха
5.2 Анализ планируемых и реальных затрат на закупку, внедрение и использование оборудования 5.1   Экономист
5.3 Оценка приближения срока окупаемости 5.1   Экономист
5.4 Принятие решения об эффективности или неэффективности затрат 5.2, 5.3   Нач. цеха, экономист

 

 

Чтобы составить идеальное расписание, желательно придерживаться несколь­ких принципов и правил.

Количество работ, отображаемых на графике, и уровень работ должны быть вам подконтрольны. Не перегружайте свой график теми работами, которыми вы не буде­те управлять в ходе проекта. Для быстрого принятия решений расположите мероприятия по проекту с учетом их значимости для достижения цели проекта.

Длительность работ на рабочих графиках не должна составлять более полутора месяцев. Если возникает ситуация, что задача требует большего количества времени, то разбейте ее на ряд работ.

Для нечетко структурированных работ лучше всего планировать время на 15% меньше, чем вам надо в действительности, и оставлять резерв времени.

Стройте график по принципу от общих задач к частным. Потом совместите на гра­фиках задачи одного уровня разбиения.

Диаграмма должна иметь последовательность работ слева направо. Если связи между работами будут отклоняться вправо, то вам придется переделывать сроки на­чала и окончания работ.

Перед тем, как включить работу в график, определите, какие мероприятия долж­ны быть закончены раньше, какие работы должны идти непосредственно после нее и какие работы могут идти параллельно во время выполнения этой операции.

Включайте в график как операции, в результате которых происходят качествен­ные изменения с ресурсами в проекте, так и наиболее важные процессы, например, хранение ресурсов, поставки, изготовление оборудование производителем..

Сначала составьте идеальный график в логической последовательности, а затем учитывайте ограничения по ресурсам.

Расписание проекта можно составить, применяя различные виды стрелочных графов или диаграмм..

 

Сетевая модель представляет собой ориентированный граф, изображающий все необходимые для достижения цели проекта операции в технологической взаимосвязи.

Сетевые модели являются основным организационным инструментом управления проектом. Они позволяют:

· осуществлять календарное планирование работ

· оптимизировать использование ресурсов

· сокращать или увеличивать продолжительность выполнения работ в зависимости от их стоимости

· организовывать оперативное управление и контроль в ходе реализации проекта

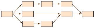
Основными элементами сетевой модели являются:

 

Обобщенная схема сетевой модели

 

Пример сетевой модели проекта «Капитальный ремонт дома»

 

Работа - это трудовой процесс, требующий затрат времени и ресурсов. В сетевой модели работа изображается в виде сплошной стрелки. В сетевой модели рассматриваемого проекта работы - 1-2, 2-3, 3-4 и т.д.

В понятие "работа" включается процесс ожидания, т.е. процесс, требующий затрат не труда и ресурсов а времени, который изображается стрелкой с обозначением над ней продолжительности ожидания.

Всего в данном проекте 14 работ.

 

 

Зависимость между двумя или несколькими событиями свидетельствующая об отсутствии необходимости в затратах времени и ресурсов, но указывающая на наличие связи между работами, изображается пунктирной стрелкой без обозначения времени и называется фиктивной работой.

Событие - это результат выполнения всех работ, входящих в данное событие, позволяющий начинать все выходящие из него работы, На сетевой матрице событие изображается, как правило, в виде кружка.

События делятся на:

- простые события - это такие события, в которые входит только 1 работа.

- сложные события - это такие события, в которые входят две или более работ.

Путь - это непрерывная последовательность работ, начиная от исходного события и заканчивая завершающим.

Путь, имеющий наибольшую продолжительность, называется критическим и в сетевой модели обозначается утолщенной стрелкой.

Пример

Сетевая модель разработки проекта строительства морского перехода газопровода, разработанного ООО «Питер Газ»

В укрупненном виде организация разработки проекта состоит из следующих этапов:

Предварительный этап

1. Получение предложения на участие в тендере, рассмотрение возможности участия в проекте строительства морского перехода газопроводом;

2. Оценка экономической эффективности выполнения проекта;

3. Разработка тендерной документации;

4. Участие в тендере, получение заказа;

Основной этап

5. Заключение договора на разработку проекта, получение техзадания;

6. Определение количества работников определенной квалификации и специализации, необходимого для разработки проекта;

7. Назначение ответственных за разработку проекта лиц;

8. Составление задания на проектирование и передача его в Управление проектирования;

9. Обеспечение Управления проектирования необходимыми данными для разработки проекта;

10. Координация и контроль выполнения проектных работ, обеспечение взаимодействия между проектными отделами;

11. Взаимодействие с организациями-субподрядчиками и заказчиками и организация изменений в проектных документах;

12. Сдача проектной документации Главному инженеру проекта (ГИПу);

Заключительный этап

13. Согласование проектной документации с заказчиком и надзорными организациями;

Сдача проекта заказчику, получение оплаты от заказчика




Поделиться с друзьями:


Дата добавления: 2014-11-20; Просмотров: 1200; Нарушение авторских прав?; Мы поможем в написании вашей работы!


Нам важно ваше мнение! Был ли полезен опубликованный материал? Да | Нет



studopedia.su - Студопедия (2013 - 2026) год. Все материалы представленные на сайте исключительно с целью ознакомления читателями и не преследуют коммерческих целей или нарушение авторских прав! Последнее добавление




Генерация страницы за: 0.012 сек.