Студопедия

КАТЕГОРИИ:


Архитектура-(3434)Астрономия-(809)Биология-(7483)Биотехнологии-(1457)Военное дело-(14632)Высокие технологии-(1363)География-(913)Геология-(1438)Государство-(451)Демография-(1065)Дом-(47672)Журналистика и СМИ-(912)Изобретательство-(14524)Иностранные языки-(4268)Информатика-(17799)Искусство-(1338)История-(13644)Компьютеры-(11121)Косметика-(55)Кулинария-(373)Культура-(8427)Лингвистика-(374)Литература-(1642)Маркетинг-(23702)Математика-(16968)Машиностроение-(1700)Медицина-(12668)Менеджмент-(24684)Механика-(15423)Науковедение-(506)Образование-(11852)Охрана труда-(3308)Педагогика-(5571)Полиграфия-(1312)Политика-(7869)Право-(5454)Приборостроение-(1369)Программирование-(2801)Производство-(97182)Промышленность-(8706)Психология-(18388)Религия-(3217)Связь-(10668)Сельское хозяйство-(299)Социология-(6455)Спорт-(42831)Строительство-(4793)Торговля-(5050)Транспорт-(2929)Туризм-(1568)Физика-(3942)Философия-(17015)Финансы-(26596)Химия-(22929)Экология-(12095)Экономика-(9961)Электроника-(8441)Электротехника-(4623)Энергетика-(12629)Юриспруденция-(1492)Ядерная техника-(1748)

Средняя арифметическая и ее свойства




Эмпирические и теоретические частоты.

Асимметрия и эксцесс ряда распределения.

Моменты ряда распределения и связь между ними.

Дисперсия ряда распределения и ее свойства. Среднее квадратическое отклонение.

Средняя арифметическая и ее свойства.

Лекция 2 Вопросы

Вариационные ряды позволяют получить первое представление об изучаемом распределении. Далее необходимо исследовать числовые характеристики распределения: положения (средняя арифметическая, мода, медиана); рассеяния (дисперсия, среднее квадратическое отклонение, коэффициент вариации); меры скошенности (коэффициент асимметрии) и островершинности (эксцесс) распределения.

Средней арифметической () дискретного вариационного ряда называется отношение суммы произведений вариант на соответствующие частоты к объему совокупности:

. (9.6)

Средняя арифметическая имеет те же единицы измерения, что и варианты.

Свойства средней арифметической.

1. Средняя арифметическая суммы соответствующих друг другу значений, принадлежащих двум группам наблюдений, равна алгебраической сумме средних арифметических этих групп:

. (9.7)

2. Если ряд наблюдений состоит из двух непересекающихся групп наблюдений, то средняя арифметическая всего ряда наблюдений равна взвешенной средней арифметической групповых средних и , причём весами являются объёмы групп соответственно

. (9.8)

3. Средняя арифметическая постоянной равна самой постоянной

4. Если все варианты умножить на одно и то же число, то средняя арифметическая увеличится в то же число раз:

. (9.9)

5. Сумма отклонений результатов наблюдений от их средней, взвешенная с соответствующими частотами равна нулю

.

6. Если все варианты увеличить (уменьшить) на одно и то же число, то средняя арифметическая увеличится (уменьшится) на то же число, т.е.:

. (9.10)

7. Если все частоты вариантов умножить на одно и то же число, то средняя арифметическая не изменится.

Модой дискретного вариационного ряда называется вариант, имеющий наибольшую частоту.

Медианой дискретного вариационного ряда называется вариант, делящий ряд на две равные части.

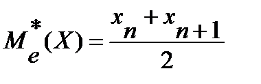
Если дискретный вариационный ряд имеет 2n членов в ранжированной совокупности: х1, х2,…,хn, хn+1,…,x2n, то

. (9.11)

Если дискретный вариационный ряд в ранжированной совокупности имеет 2n+1 членов: х1, х2,…,хn-1, хn, хn+1,…,x2n+1, то

. (9.12)

Для интервальных вариационных рядов имеют место формулы:

а) медианы:

(9.13)

где хМе – начало медианного интервала,

h – длина частичного интервала,

n – объем совокупности,

SМе-1 – накопленная частота интервала, предшествующего медианному,

nМе – частота медианного интервала;

б) моды:

, (9.14)

где хМо – начало модального интервала,

h – длина частичного интервала,

nМо – частота модального интервала,

nМо-1 - частота предмодального интервала,

nМо+1 - частота послемодального интервала;

в) средней арифметической, совпадающей с формулой (3.2.1) для дискретного вариационного ряда, причем в качестве вариант xi принимаются середины соответствующих интервалов.

Мода и медиана используются в качестве характеристики среднего

положения в случае, если границы ряда нечеткие или если ряд не симметричен.

 




Поделиться с друзьями:


Дата добавления: 2014-11-20; Просмотров: 508; Нарушение авторских прав?; Мы поможем в написании вашей работы!


Нам важно ваше мнение! Был ли полезен опубликованный материал? Да | Нет



studopedia.su - Студопедия (2013 - 2025) год. Все материалы представленные на сайте исключительно с целью ознакомления читателями и не преследуют коммерческих целей или нарушение авторских прав! Последнее добавление




Генерация страницы за: 0.008 сек.