Студопедия

КАТЕГОРИИ:


Архитектура-(3434)Астрономия-(809)Биология-(7483)Биотехнологии-(1457)Военное дело-(14632)Высокие технологии-(1363)География-(913)Геология-(1438)Государство-(451)Демография-(1065)Дом-(47672)Журналистика и СМИ-(912)Изобретательство-(14524)Иностранные языки-(4268)Информатика-(17799)Искусство-(1338)История-(13644)Компьютеры-(11121)Косметика-(55)Кулинария-(373)Культура-(8427)Лингвистика-(374)Литература-(1642)Маркетинг-(23702)Математика-(16968)Машиностроение-(1700)Медицина-(12668)Менеджмент-(24684)Механика-(15423)Науковедение-(506)Образование-(11852)Охрана труда-(3308)Педагогика-(5571)Полиграфия-(1312)Политика-(7869)Право-(5454)Приборостроение-(1369)Программирование-(2801)Производство-(97182)Промышленность-(8706)Психология-(18388)Религия-(3217)Связь-(10668)Сельское хозяйство-(299)Социология-(6455)Спорт-(42831)Строительство-(4793)Торговля-(5050)Транспорт-(2929)Туризм-(1568)Физика-(3942)Философия-(17015)Финансы-(26596)Химия-(22929)Экология-(12095)Экономика-(9961)Электроника-(8441)Электротехника-(4623)Энергетика-(12629)Юриспруденция-(1492)Ядерная техника-(1748)

Дисперсия ряда распределения и ее свойства. Среднее квадратическое отклонение




 

Показатели центральной тенденции (М0е, ) не исчерпывают всех свойств распределения. В одних случаях значения признака концентрируются тесно около среднего значения, в других наблюдается значительное рассеяние.

Для изучения степени изменчивости признака вводят показатели вариации:

– размах вариации W=xmax-xmin. (9.15)

- дисперсия дискретного ряда распределения

(9.16)

характеризует средний квадрат отклонения хi от .

Среднее квадратическое отклонение дискретного ряда распределения:

, (9.17)

выражается в тех же единицах, что и хi.

Среднее линейное отклонение:

. (9.18)

 

Коэффициент вариации:

, (9.1.9)

характеризует относительное значение среднего квадратического отклонения и обычно служит для сравнения колеблемости несоизмеримых показателей.

Свойства дисперсии:

1.Дисперсия постоянной величины равна 0

D*(C)=0.

2.Если все результаты наблюдений увеличить (уменьшить) на одно и то же число С, то дисперсия и среднее квадратическое отклонение не изменятся, т.е.

, (9.20)

3.Если все результаты наблюдений умножить на одно и то же число, то имеет место равенство:

, (9.21)

4.Если все частоты вариантов умножить на одно и то же число, то дисперсия и среднее квадратическое отклонение не изменятся.

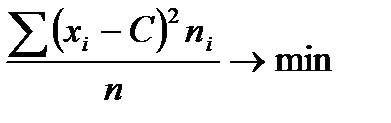
5.Свойство минимальности дисперсии.

при

Следствие 1. Средний квадрат отклонений значений xi от их средней арифметической равен среднему квадрату отклонений xi от произвольной постоянной а минус квадрат разности между средней арифметической () и этой произвольной постоянной.

Пусть , тогда

. (9.22)

Следствие 2. Дисперсия равна средней арифметической из квадратов значений признака минус квадрат средней арифметической

.

 

6.Правило сложения дисперсий. Если объединяются несколько распределений в одно, то общая дисперсия σ0*2 нового распределения равна средней арифметической из дисперсий объединяемых распределений, сложенной с дисперсией частных средних относительно общей средней нового распределения. Или, иначе говоря, общая дисперсия равна сумме внутригрупповой и межгрупповой дисперсий:

(9.23)

или

где nij – частота j–го варианта i-го частного распределения (j=1,…, m; i=1,2,…, к)

xij – j–й вариант i-го частного распределения (j=1,…, m; i=1,2,…, к),

ni – объем i-го частного распределения,

– частота j-го варианта нового распределения,

- объем нового распределения,

средняя арифметическая i-го частного распределения, (i=1,...,к),

средняя арифметическая нового распределения,

дисперсия i-го частного распределения,

внутригрупповая дисперсия,

- межгрупповая дисперсия.




Поделиться с друзьями:


Дата добавления: 2014-11-20; Просмотров: 1482; Нарушение авторских прав?; Мы поможем в написании вашей работы!


Нам важно ваше мнение! Был ли полезен опубликованный материал? Да | Нет



studopedia.su - Студопедия (2013 - 2025) год. Все материалы представленные на сайте исключительно с целью ознакомления читателями и не преследуют коммерческих целей или нарушение авторских прав! Последнее добавление




Генерация страницы за: 0.012 сек.