Студопедия

КАТЕГОРИИ:


Архитектура-(3434)Астрономия-(809)Биология-(7483)Биотехнологии-(1457)Военное дело-(14632)Высокие технологии-(1363)География-(913)Геология-(1438)Государство-(451)Демография-(1065)Дом-(47672)Журналистика и СМИ-(912)Изобретательство-(14524)Иностранные языки-(4268)Информатика-(17799)Искусство-(1338)История-(13644)Компьютеры-(11121)Косметика-(55)Кулинария-(373)Культура-(8427)Лингвистика-(374)Литература-(1642)Маркетинг-(23702)Математика-(16968)Машиностроение-(1700)Медицина-(12668)Менеджмент-(24684)Механика-(15423)Науковедение-(506)Образование-(11852)Охрана труда-(3308)Педагогика-(5571)Полиграфия-(1312)Политика-(7869)Право-(5454)Приборостроение-(1369)Программирование-(2801)Производство-(97182)Промышленность-(8706)Психология-(18388)Религия-(3217)Связь-(10668)Сельское хозяйство-(299)Социология-(6455)Спорт-(42831)Строительство-(4793)Торговля-(5050)Транспорт-(2929)Туризм-(1568)Физика-(3942)Философия-(17015)Финансы-(26596)Химия-(22929)Экология-(12095)Экономика-(9961)Электроника-(8441)Электротехника-(4623)Энергетика-(12629)Юриспруденция-(1492)Ядерная техника-(1748)

Определение необходимой численности выборки




Определение доверительного интервала для средней и доли при случайном и типическом отборе.

Лекция 2. Вопросы

Для построения доверительного интервала параметра a – математического ожидания нормального распределения составляют выборочную характеристику (статистику), функционально зависимую от наблюдений и связанную с a, например, для повторного отбора:

. (10.5)

Статистика u распределена по нормальному закону распределения с математическим ожиданием a = 0 и средним квадратическим отклонением s=1. Отсюда,

где Ф − функция Лапласа, uα/2 − квантиль нормального закона распределения, соответствующая уровню значимости a. Доверительный интервал для параметра а:

< a < , (10.6)

где - предельная ошибка выборочной средней.

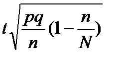
Формулы предельной ошибки и необходимого объема выборки

для различных способов отбора В таблице:

1) t – квантиль распределения, соответствующая уровню значимости a,

а) при n³30 t=ua/2 - квантиль нормального закона распределения (прил.1),

б) при n<30 t - квантиль распределения Стьюдента с ν=n-1 степенями свободы для двусторонней области (прил.3);

2) s2 – выборочная дисперсия,

а) при n³30 ,

б) при n<30 вместо s2 берут ;

3) pq - дисперсия относительной частоты в схеме повторных независимых испытаний;

4) N - объем генеральной совокупности;

5) n - объем выборки;

6) - средняя арифметическая групповых дисперсий (внутригрупповая дисперсия);

 

 

Выборка Собственно-случайная Типическая Серийная
повторная бесповторная повторная бесповторная повторная Бесповторная
Предельная ошибка, D средней,
доли,
Необходимая численность, n средней,
доли,

 

7) - средняя арифметическая дисперсий групповых долей;

8) d2м.с. - межсерийная дисперсия;

9) pqм.с.- межсерийная дисперсия доли;

10) Nc - число серий в генеральной совокупности;11) nc - число отобранных серий (объем выборки);12) D - предельная ошибка выборки ( или ).




Поделиться с друзьями:


Дата добавления: 2014-11-20; Просмотров: 452; Нарушение авторских прав?; Мы поможем в написании вашей работы!


Нам важно ваше мнение! Был ли полезен опубликованный материал? Да | Нет



studopedia.su - Студопедия (2013 - 2025) год. Все материалы представленные на сайте исключительно с целью ознакомления читателями и не преследуют коммерческих целей или нарушение авторских прав! Последнее добавление




Генерация страницы за: 0.01 сек.