Студопедия

КАТЕГОРИИ:


Архитектура-(3434)Астрономия-(809)Биология-(7483)Биотехнологии-(1457)Военное дело-(14632)Высокие технологии-(1363)География-(913)Геология-(1438)Государство-(451)Демография-(1065)Дом-(47672)Журналистика и СМИ-(912)Изобретательство-(14524)Иностранные языки-(4268)Информатика-(17799)Искусство-(1338)История-(13644)Компьютеры-(11121)Косметика-(55)Кулинария-(373)Культура-(8427)Лингвистика-(374)Литература-(1642)Маркетинг-(23702)Математика-(16968)Машиностроение-(1700)Медицина-(12668)Менеджмент-(24684)Механика-(15423)Науковедение-(506)Образование-(11852)Охрана труда-(3308)Педагогика-(5571)Полиграфия-(1312)Политика-(7869)Право-(5454)Приборостроение-(1369)Программирование-(2801)Производство-(97182)Промышленность-(8706)Психология-(18388)Религия-(3217)Связь-(10668)Сельское хозяйство-(299)Социология-(6455)Спорт-(42831)Строительство-(4793)Торговля-(5050)Транспорт-(2929)Туризм-(1568)Физика-(3942)Философия-(17015)Финансы-(26596)Химия-(22929)Экология-(12095)Экономика-(9961)Электроника-(8441)Электротехника-(4623)Энергетика-(12629)Юриспруденция-(1492)Ядерная техника-(1748)

Циклы газотурбинных установок (ГТУ). ГТУ называются теплоэнергетические устройства, в которых рабочим телом служат газообразные продукты сгорания топлива (или другие газы




ЛЕКЦИЯ 25

ГТУ называются теплоэнергетические устройства, в которых рабочим телом служат газообразные продукты сгорания топлива (или другие газы, нагретые тем или иным способом), а рабочим двигателем является газовая турбина.

ГТУ могут работать по циклам со сгоранием топлива при постоянных объёме и давлении.

Первая ГТ была построена П. Д. Кузьминским в 1897 г., затем ГТ со сгоранием топлива при постоянном объеме была построена В. В. Караводиным в 1906 г.

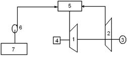
На рис. 25.1 изображена принципиальная схема работы ГТУ, состоящей из объединенных общим валом ГТ (1), нагнетателя (компрессора) 2, электрического генератора 3 и пускового электродвигателя 4, камеры сгорания 5, насоса 6 и топливного бака 7 (для жидкого топлива).

В идеализированном виде рабочие процессы ГТУ происходят следующим образом. Воздух из окру-

Рис. 25.1 жающей среды засасывается нагнетателем, сжимается до требуемого давления и подается в камеру сгорания, в неё же подается жидкое или газообразное топливо, которое там и сгорает.

Продукты сгорания при требуемой температуре, регулируемой количеством подаваемого воздуха (который подается с большим избытком, чтобы обеспечить приемлемые температуры продуктов сгорания), поступают в сопла ГТ, где их энергия в процессе адиабатного истечения преобразуется в кинетическую. Истекающие из сопел струи попадают на лопасти турбины, где кинетическая энергия газа расходуется на вращение вала установки и передается электрическому генератору, здесь механическая энергия – энергия вращения вала преобразуется в электрическую.

На основании изложенного можно написать для ГТУ следующий баланс мощности: Nг.т. = Nк + Nэ.г. + Nн откуда Nэ.р.= Nг.т. – Nк ­–Nн, (25.1)

где Nг.т. – мощность ГТУ; Nк – мощность компрессора; Nэ.г. – мощность электрического генератора; Nн – мощность насоса.

 

25.2. Идеальный цикл ГТУ с подводом теплоты при p = const

Этот цикл в p,v- и T,S-диаграммах изображен на рис. 25.2

Цикл состоит из следующих процессов:

1-2 – адиабатное сжатие воздуха в нагнетателе;

2-3 – изобарный подвод теплоты q1 в количестве cp(T3 – T2), которая на T,S-диаграмме выражается пл. 2-3-5-6-2; 3-4 – ади-

Рис. 25.2 абатное расширение продуктов сгорания в соплах газовой турбины;

4-1 – изобарный процесс, в котором от рабочего тела отводится теплота в

количестве cp(T4 – T1), выражаемое на T,S-диаграмме пл. 4-1-6-5-4.

Параметры цикла:

b = р21 –степень повышения давления при адиабатном сжатии в компрессоре; r = v3/v2 – степень предварительного расширения в камере сгорания.

e = v1/v2 – степень адиабатного сжатия в компрессоре.

Термический К.П.Д. определяется следующим образом:

ht = 1 – q2/q1, (25.2)

Как известно, ht будет различной в зависимости от процесса сжатия воздуха в компрессоре, который может быть адиабатным, изотермическим и политропным.

Рассмотрим цикл ГТУ со сгорание при p = const для случая адиабатного сжатия воздуха в компрессоре.

Количество теплоты, отводимое в изобарном процессе 4-1

q2 = cp(T4 – T1), (25.3)

Количество теплоты, подводимое к рабочему телу в изобарном процессе 2-3

q1 = cp(T3 – T2), (25.4)

Подставляя значения q1 и q2 в уравнение (25.2), получаем

, (25.5)

Выразим температуры Т2, Т3 и Т4 через начальную температуру Т1 и параметры цикла b и r.

Для адиабаты 1-2: и , (25.6)

Для изобары 2-3, учитывая что р3 = р2 и р4 = р1, получаем:

, (25.7)

Для адиабаты 3-4:

(25.8)

Подставляя выражения (25.6) – (25.8) в выражения (25.2) – (25.4), находим:

, (25.9) , (25.10)

, (25.11)

где e = v1/v2 – степень адиабатного сжатия в компрессоре.

Из выражения (25.11) видно, что ht ГТУ с подводом теплоты при p = const и адиабатном сжатии воздуха в компрессоре определяется степенью повышения давления при адиабатном сжатии b и показателем адиабаты k продуктов сгорания, т.е. ht зависит от работы компрессора. Чем выше показатель адиабаты k и чем больше значение b, тем выше ht.




Поделиться с друзьями:


Дата добавления: 2014-11-29; Просмотров: 713; Нарушение авторских прав?; Мы поможем в написании вашей работы!


Нам важно ваше мнение! Был ли полезен опубликованный материал? Да | Нет



studopedia.su - Студопедия (2013 - 2026) год. Все материалы представленные на сайте исключительно с целью ознакомления читателями и не преследуют коммерческих целей или нарушение авторских прав! Последнее добавление




Генерация страницы за: 0.009 сек.