Студопедия

КАТЕГОРИИ:


Архитектура-(3434)Астрономия-(809)Биология-(7483)Биотехнологии-(1457)Военное дело-(14632)Высокие технологии-(1363)География-(913)Геология-(1438)Государство-(451)Демография-(1065)Дом-(47672)Журналистика и СМИ-(912)Изобретательство-(14524)Иностранные языки-(4268)Информатика-(17799)Искусство-(1338)История-(13644)Компьютеры-(11121)Косметика-(55)Кулинария-(373)Культура-(8427)Лингвистика-(374)Литература-(1642)Маркетинг-(23702)Математика-(16968)Машиностроение-(1700)Медицина-(12668)Менеджмент-(24684)Механика-(15423)Науковедение-(506)Образование-(11852)Охрана труда-(3308)Педагогика-(5571)Полиграфия-(1312)Политика-(7869)Право-(5454)Приборостроение-(1369)Программирование-(2801)Производство-(97182)Промышленность-(8706)Психология-(18388)Религия-(3217)Связь-(10668)Сельское хозяйство-(299)Социология-(6455)Спорт-(42831)Строительство-(4793)Торговля-(5050)Транспорт-(2929)Туризм-(1568)Физика-(3942)Философия-(17015)Финансы-(26596)Химия-(22929)Экология-(12095)Экономика-(9961)Электроника-(8441)Электротехника-(4623)Энергетика-(12629)Юриспруденция-(1492)Ядерная техника-(1748)

Возрастание и убывание функции




Задания для контрольной работы.

Выбор номеров вопросов определяется последней цифрой.

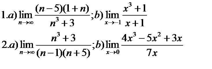
Задание 1. Вычислить пределы:

Указания к заданию 1

Опр.Число А называется пределом функции f (x) при х, стремящемся к хо (или в точке хо),

если для любого > 0 существует такое , что для всех х, удовлетворяющих

условиям | ххо | < , х ¹ х 0, имеет место неравенство | f (x) – А| < .

Если А есть предел функции f (x) при х, стремящемся к хо , то пишут

или при .

Если в определении предела вместо неравенств , т.е. ,

х ¹ х0, рассмотреть неравенства , то получим понятие правого предела. В

этом случае пишут

Рассматривая неравенства , вводим понятие левого предела:

.

Предел (двусторонний) функции в точке хо существует в том и только в том случае, когда левый и правый пределы в этой точке существуют и совпадают: f (x0 –0)= f (x0 +0).

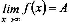
Опр. Число А называется пределом функции f (x) при x ® +¥, ,

если для любого >0 существует такое М>0, что х > М Þ | f (x) – А | < .

Опр. Число А называется пределом функции f (x) при x ® -¥, ,

если для любого >0 существует такое М>0, что х < –М Þ | f (x) – А | < .

Опр. Число А называется пределом функции f (x) при x ® ¥, ,

если для любого >0 существует такое М>0, что | х | > М Þ | f (x) – А | < .

Замечание: вычисление любого предела начинается с подстановки предельного значения аргумента в функцию стоящую под знаком предела.

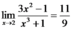
Пример 1. Вычислить предел

Пример 2. Вычислить предел

Пример 3. Вычислить предел

Решение. Если подставить х = 1 в рассматриваемую функцию, получим 0 в числителе и знаменателе. Без дополнительных преобразований трудно сказать, к чему будет стремиться подобное выражение. Поэтому такие выражения называют неопределенностями, которые могут иметь вид: Для каждой неопределенности существуют свои способы вычисления пределов.

Разложим числитель на множители:

Замечание: а) замечательные пределы

б) эквивалентности при sin , , ,

. При вычислении пределов можно пользоваться этими соотношениями.

Пример 4. Вычислить предел

Необходимо разделить числитель и знаменатель на переменную в наивысшей степени:

 

Задание 2. Производная и её приложения.

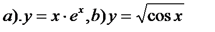
1. Найти производные функций:

Найти интервалы выпуклости и точки перегиба графика функции:

2. Найти производные функций:

Найти наименьшее и наибольшее значения функции:

3. Найти производные функций:

Исследовать функцию на монотонность

4. Найти производные функций:

Исследовать функцию на экстремум

5. Найти производные функций:

Найти наименьшее и наибольшее значения функции

6. Найти производные функций:

Исследовать функцию на монотонность:

7. Найти производные функций:

Найти интервалы выпуклости и точки перегиба графика функции:

8. Найти производные функций:

Исследовать функцию на монотонность:

9. Найти производные функций:

Исследовать функцию на экстремум:

10. Найти производные функций:

Найти наименьшее и наибольшее значения функции:

 

Указания к заданию 2

Опр. Если при существует конечный предел дроби , то этот предел называют производной функции в точке х и обозначают символом :

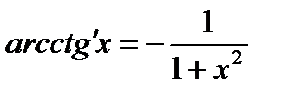
Основные правила и формулы дифференцирования

Формулы:

Для того чтобы дифференцируемая функция f(x), возрастала в некотором промежутке, необходимо и достаточно, чтобы ее производная была неотрицательна в этом промежутке, f’(x)≥0.

Для того чтобы дифференцируемая функция f(x) убывала в некотором промежутке, необходимо и достаточно, чтобы ее производная была не положительна в этом промежутке, f(x)≤0.

Промежутки, в которых функция возрастает (убывает), называются промежутками монотонности функции. Чтобы найти промежутки монотонности функции, необходимо:

1). Найти область определения функции.

2). Найти производную функции.

3). Приравнять производную к нулю, го есть определить ее корни, а также найти точки, в которых производная не существует, а функция существует.

4). Определить знак производной в каждом из промежутков, на которые разбивается полученными точками область определения функции.

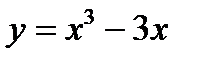
Пример:

1.Область определения – любое число.

2. Найдём производную:

3. если . Точек в которых функция не существует нет.

4. -1 1

функция возрастает, функция убывает.




Поделиться с друзьями:


Дата добавления: 2014-12-10; Просмотров: 479; Нарушение авторских прав?; Мы поможем в написании вашей работы!


Нам важно ваше мнение! Был ли полезен опубликованный материал? Да | Нет



studopedia.su - Студопедия (2013 - 2026) год. Все материалы представленные на сайте исключительно с целью ознакомления читателями и не преследуют коммерческих целей или нарушение авторских прав! Последнее добавление




Генерация страницы за: 0.012 сек.