Студопедия

КАТЕГОРИИ:


Архитектура-(3434)Астрономия-(809)Биология-(7483)Биотехнологии-(1457)Военное дело-(14632)Высокие технологии-(1363)География-(913)Геология-(1438)Государство-(451)Демография-(1065)Дом-(47672)Журналистика и СМИ-(912)Изобретательство-(14524)Иностранные языки-(4268)Информатика-(17799)Искусство-(1338)История-(13644)Компьютеры-(11121)Косметика-(55)Кулинария-(373)Культура-(8427)Лингвистика-(374)Литература-(1642)Маркетинг-(23702)Математика-(16968)Машиностроение-(1700)Медицина-(12668)Менеджмент-(24684)Механика-(15423)Науковедение-(506)Образование-(11852)Охрана труда-(3308)Педагогика-(5571)Полиграфия-(1312)Политика-(7869)Право-(5454)Приборостроение-(1369)Программирование-(2801)Производство-(97182)Промышленность-(8706)Психология-(18388)Религия-(3217)Связь-(10668)Сельское хозяйство-(299)Социология-(6455)Спорт-(42831)Строительство-(4793)Торговля-(5050)Транспорт-(2929)Туризм-(1568)Физика-(3942)Философия-(17015)Финансы-(26596)Химия-(22929)Экология-(12095)Экономика-(9961)Электроника-(8441)Электротехника-(4623)Энергетика-(12629)Юриспруденция-(1492)Ядерная техника-(1748)

Векторна форма




Формули для обчислення модуля та напрямних

Формули для обчислення головного

вектора і головного моменту:

,

,

,

,


косинусів головного вектора и головного моменту:

, ,

,

,

Умови рівноваги системи сил

Теорема. Для рівноваги довільної системи сил, прикладених до твердого тіла, необхідно і достатньо, щоб головний вектор системи сил дорівнював нулю і головний момент системи сил відносно будь-якого центра зведення також дорівнював нулю.

,

Алгебраїчна форма

Для рівноваги довільної системи сил, прикладених до твердого тіла, необхідно і досить, щоб три суми проекцій всіх сил на осі декартових координат дорівнювали нулю і три суми моментів усіх сил відносно трьох осей координат також дорівнювали нулю:

,

, , .

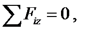
Умови рівноваги просторової системи паралельних сил

На тіло діє система паралельних сил. Розташуємо вісь Oz паралельно силам.

Рівняння: , ,

Для рівноваги просторової системи паралельних сил, що діють на тверде тіло, необхідно і достатньо, щоб сума проекцій цих сил дорівнювала нулю і суми моментів цих сил відносно двох координатних осей, перпендикулярних силам, також дорівнювали нулю:

, , .

проекція сили на ось Oz.




Поделиться с друзьями:


Дата добавления: 2014-12-16; Просмотров: 412; Нарушение авторских прав?; Мы поможем в написании вашей работы!


Нам важно ваше мнение! Был ли полезен опубликованный материал? Да | Нет



studopedia.su - Студопедия (2013 - 2026) год. Все материалы представленные на сайте исключительно с целью ознакомления читателями и не преследуют коммерческих целей или нарушение авторских прав! Последнее добавление




Генерация страницы за: 0.013 сек.