Студопедия

КАТЕГОРИИ:


Архитектура-(3434)Астрономия-(809)Биология-(7483)Биотехнологии-(1457)Военное дело-(14632)Высокие технологии-(1363)География-(913)Геология-(1438)Государство-(451)Демография-(1065)Дом-(47672)Журналистика и СМИ-(912)Изобретательство-(14524)Иностранные языки-(4268)Информатика-(17799)Искусство-(1338)История-(13644)Компьютеры-(11121)Косметика-(55)Кулинария-(373)Культура-(8427)Лингвистика-(374)Литература-(1642)Маркетинг-(23702)Математика-(16968)Машиностроение-(1700)Медицина-(12668)Менеджмент-(24684)Механика-(15423)Науковедение-(506)Образование-(11852)Охрана труда-(3308)Педагогика-(5571)Полиграфия-(1312)Политика-(7869)Право-(5454)Приборостроение-(1369)Программирование-(2801)Производство-(97182)Промышленность-(8706)Психология-(18388)Религия-(3217)Связь-(10668)Сельское хозяйство-(299)Социология-(6455)Спорт-(42831)Строительство-(4793)Торговля-(5050)Транспорт-(2929)Туризм-(1568)Физика-(3942)Философия-(17015)Финансы-(26596)Химия-(22929)Экология-(12095)Экономика-(9961)Электроника-(8441)Электротехника-(4623)Энергетика-(12629)Юриспруденция-(1492)Ядерная техника-(1748)

Центр паралельних сил. Центр ваги




Для системи паралельних сил введемо поняття центра паралельних сил.

На тіло діє система паралельних сил , прикладених у точках . Оберемо осі координат так, щоб вісь Оz була паралельна силам.

 

Рисунок 6.1
, ,

проекція сили на вісь Oz.

Точка С з координатами називається центром паралельних сил.

проекція сили на вісь Oz.

Властивості центра паралельних сил:

а) сума моментів усіх сил відносно точки С дорівнює нулю

б) якщо всі сили обернути на один і той самий кут, не міняючи точок прикладення сил, то центр нової системи паралельних сил буде тією самою точкою С.

Паралельні сили розподілені по відрізку прямої

а) загальний випадок

Рисунок 6.2
інтенсивність

розподіленої сили [Н/м],

елементарна сила;

l довжина відрізка

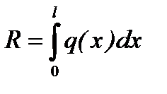
Розподілена по відрізку прямої сила інтенсивності q(x) еквівалентна зосередженій силі . Зосереджена сила прикладається в точці С (центрі паралельних сил) із координатою

;

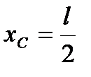
б) постійна інтенсивність

Рисунок 6.3
,

,

;

Рисунок 6.4
в) інтенсивність, змінна за лінійним законом

,

,

.

Центром ваги тіла називається геометрична точка, жорстко пов'язана з цим тілом, що є центром паралельних сил ваги, прикладених до окремих елементарних частинок тіла.

Координати центра ваги неоднорідного твердого тіла у вибраній системі відліку визначаються таким чином:

Рисунок 6.5
, ,

,

де – вага одиниці об'єму тіла (питома вага);

– вага всього тіла.

Для однорідного твердого тіла і формули набувають вигляд у:

, , ,

де – об'єм всього тіла.

Центр ваги однорідного твердого тіла можна назвати центром об'єму тіла. Інтеграли, що стоять у чисельниках формул, називаються статичними моментами об'єму тіла відносно координатних площин.

Якщо тверде тіло є неоднорідною поверхнею, то координати центра тяжіння у вибраній системі відліку визначаються таким чином:

Рисунок 6.6
,

де – вага одиниці площі тіла;

– вага всього тіла.

Для однорідної поверхні і формули набувають вигляу

, , ,

де – площа поверхні.

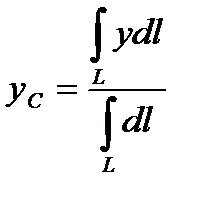
Якщо тверде тіло є неоднорідною лінією, то координати центра тяжіння у вибраній системі відліку визначаються таким чином:

Рисунок 6.7

де – вага одиниці довжини тіла;

– вага всього тіла.

Для однорідної лінії і формули набувають вигляду:

, , ,

де – довжина лінії.




Поделиться с друзьями:


Дата добавления: 2014-12-16; Просмотров: 532; Нарушение авторских прав?; Мы поможем в написании вашей работы!


Нам важно ваше мнение! Был ли полезен опубликованный материал? Да | Нет



studopedia.su - Студопедия (2013 - 2026) год. Все материалы представленные на сайте исключительно с целью ознакомления читателями и не преследуют коммерческих целей или нарушение авторских прав! Последнее добавление




Генерация страницы за: 0.011 сек.