Студопедия

КАТЕГОРИИ:


Архитектура-(3434)Астрономия-(809)Биология-(7483)Биотехнологии-(1457)Военное дело-(14632)Высокие технологии-(1363)География-(913)Геология-(1438)Государство-(451)Демография-(1065)Дом-(47672)Журналистика и СМИ-(912)Изобретательство-(14524)Иностранные языки-(4268)Информатика-(17799)Искусство-(1338)История-(13644)Компьютеры-(11121)Косметика-(55)Кулинария-(373)Культура-(8427)Лингвистика-(374)Литература-(1642)Маркетинг-(23702)Математика-(16968)Машиностроение-(1700)Медицина-(12668)Менеджмент-(24684)Механика-(15423)Науковедение-(506)Образование-(11852)Охрана труда-(3308)Педагогика-(5571)Полиграфия-(1312)Политика-(7869)Право-(5454)Приборостроение-(1369)Программирование-(2801)Производство-(97182)Промышленность-(8706)Психология-(18388)Религия-(3217)Связь-(10668)Сельское хозяйство-(299)Социология-(6455)Спорт-(42831)Строительство-(4793)Торговля-(5050)Транспорт-(2929)Туризм-(1568)Физика-(3942)Философия-(17015)Финансы-(26596)Химия-(22929)Экология-(12095)Экономика-(9961)Электроника-(8441)Электротехника-(4623)Энергетика-(12629)Юриспруденция-(1492)Ядерная техника-(1748)

Числовые характеристики случайной величины




 

Функция распределения или плотность распределения полностью описывают случайную величину. Часто, однако, при решении практических задач нет необходимости в полном знании закона распределения, достаточно знать лишь некоторые его характерные черты. Для этого в теории вероятностей используются числовые характеристики случайной величины, выражающие различные свойства закона распределения. Основными числовыми характеристиками являются математическое ожидание, дисперсия и среднее квадратическое отклонение.

Математическое ожидание характеризует положение случайной величины на числовой оси. Это некоторое среднее значение случайной величины, около которого группируются все ее возможные значения.

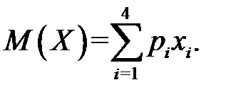
Математическое ожидание случайной величины X обозначают символами М (Х)или т. Математическим ожиданием дискретной случайной величины называется сумма парных произведений всех возможных значений случайной величины на вероятности этих значений:

Математическое ожидание непрерывной случайной величины определяется с помощью несобственного интеграла:

Исходя из определений, нетрудно убедиться в справедливости следующих свойств математического ожидания:

1. (математическое ожидание неслучайной величины с равно самой неслучайной величине).

2. Если ³0, то ³0.

3. .

4. Если и независимы, то .

Пример 3.3. Найти математическое ожидание дискретной случайной величины, заданной рядом распределения:

X        
p 0.2 0.4 0.3 0.1

Решение.

=0×0.2 + 1×0.4 + 2×0.3 + 3×0.1=1.3.

Пример 3.4. Найти математическое ожидание случайной величины, заданной плотностью распределения:

.

Решение.

Дисперсия и среднее квадратическое отклонение являются характеристиками рассеивания случайной величины, они характеризуют разброс ее возможных значений относительно математического ожидания.

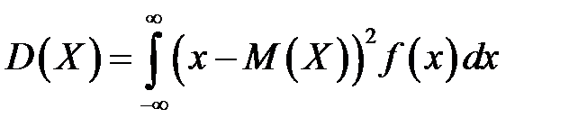
Дисперсией D(X) случайной величины X называется математическое ожидание квадрата отклонения случайной величины от ее математического ожидания Для дискретной случайной величины дисперсия выражается суммой:

(3.3)

а для непрерывной – интегралом

(3.4)

Дисперсия имеет размерность квадрата случайной величины. Характеристикой рассеивания, совпадающей по размерности со случайной величиной, служит среднее квадратическое отклонение.

Свойства дисперсии:

1) – постоянные. В частности,

2)

3)

В частности,

(3.5)

Заметим, что вычисление дисперсии по формуле (3.5) часто оказывается более удобным, чем по формуле (3.3) или (3.4).

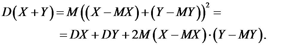
Величина называется ковариацией случайных величин .

Если , то величина

называется коэффициентом корреляции случайных величин .

Можно показать, что если , то величины линейно зависимы: где

Отметим, что если независимы, то

и

Пример 3.5. Найти дисперсию случайной величины, заданной рядом распределения из примера 1.

Решение. Чтобы вычислить дисперсию, необходимо знать математическое ожидание. Для данной случайной величины выше было найдено: m =1.3. Вычисляем дисперсию по формуле (3.5):

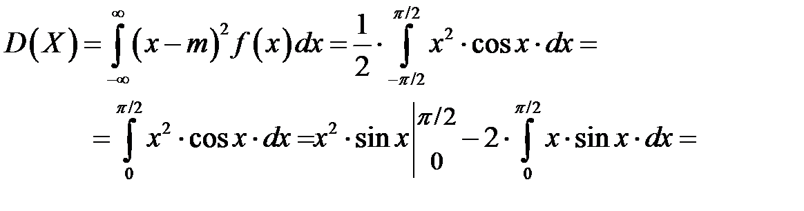
Пример 3.6. Случайная величина задана плотностью распределения

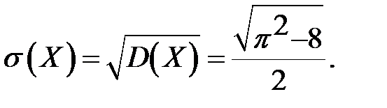
Найти дисперсию и среднее квадратическое отклонение.

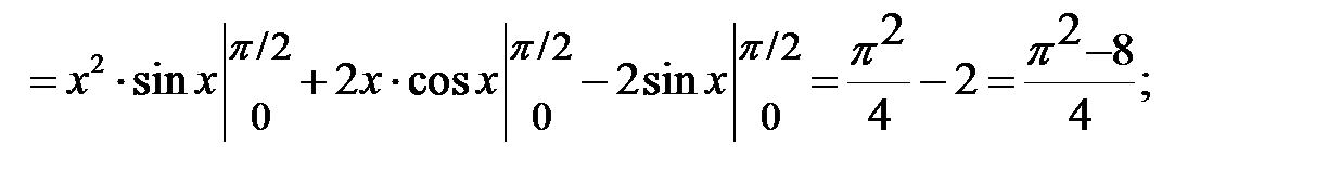
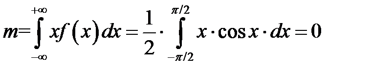
Решение. Находим сначала математическое ожидание:

(как интеграл от нечетной функции по симметричному промежутку).

Теперь вычисляем дисперсию и среднее квадратическое отклонение:




Поделиться с друзьями:


Дата добавления: 2014-12-16; Просмотров: 579; Нарушение авторских прав?; Мы поможем в написании вашей работы!


Нам важно ваше мнение! Был ли полезен опубликованный материал? Да | Нет



studopedia.su - Студопедия (2013 - 2025) год. Все материалы представленные на сайте исключительно с целью ознакомления читателями и не преследуют коммерческих целей или нарушение авторских прав! Последнее добавление




Генерация страницы за: 0.012 сек.