Студопедия

КАТЕГОРИИ:


Архитектура-(3434)Астрономия-(809)Биология-(7483)Биотехнологии-(1457)Военное дело-(14632)Высокие технологии-(1363)География-(913)Геология-(1438)Государство-(451)Демография-(1065)Дом-(47672)Журналистика и СМИ-(912)Изобретательство-(14524)Иностранные языки-(4268)Информатика-(17799)Искусство-(1338)История-(13644)Компьютеры-(11121)Косметика-(55)Кулинария-(373)Культура-(8427)Лингвистика-(374)Литература-(1642)Маркетинг-(23702)Математика-(16968)Машиностроение-(1700)Медицина-(12668)Менеджмент-(24684)Механика-(15423)Науковедение-(506)Образование-(11852)Охрана труда-(3308)Педагогика-(5571)Полиграфия-(1312)Политика-(7869)Право-(5454)Приборостроение-(1369)Программирование-(2801)Производство-(97182)Промышленность-(8706)Психология-(18388)Религия-(3217)Связь-(10668)Сельское хозяйство-(299)Социология-(6455)Спорт-(42831)Строительство-(4793)Торговля-(5050)Транспорт-(2929)Туризм-(1568)Физика-(3942)Философия-(17015)Финансы-(26596)Химия-(22929)Экология-(12095)Экономика-(9961)Электроника-(8441)Электротехника-(4623)Энергетика-(12629)Юриспруденция-(1492)Ядерная техника-(1748)

Аналитическая реализация непрерывной нелинейной математической модели




Уравнение Ван дер Поля не имеет общего решения, которое можно было бы представить аналитически; существуют различные приближенные методы для оценки его вида (например, приближенный метод Ляпунова — Боголюбова). Однако наиболее удобным и обобщенным является использование фазовой плоскости для анализа поведения решения в окрестности некоторой точки.

Принципиально выделяется 2 вида точек фазовой плоскости:

1. обыкновенные точки;

2. особые точки (точки покоя).

Обыкновенные точки характеризуются единственностью проходящих через них фазовых траекторий, в то время как особые точки позволяют выделить семейства фазовых траекторий и поэтому представляют больший интерес.

В общем случае нелинейное дифференциальное уравнение второго порядка имеет вид:

(37)

равносильно системе уравнений второго порядка

(38)

Общее решение системы y = y(t), y’ = y’(t) может быть пред­ставлено геометрически семейством ориентированных фазовых траекторий на фазовой плоскости Oyy’.

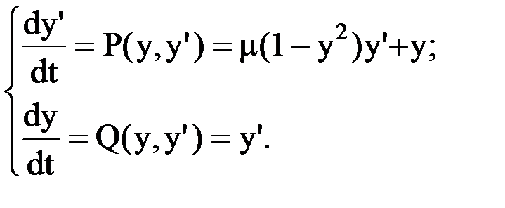
Применительно к уравнению Ван дер Поля получается автономная система дифференциальных уравнений, т.е. система, в которой функции Q(y, y’) и P(y, y’) явно не зависят от параметра t:

(39)

Для возможности исследования автономной системы ее следует линеаризовать в точке покоя.

При этом, если у автономной системы существует точка покоя, то

P(y, y’) = Q(y, y’) = 0. (40)

Очевидно, что для уравнения Ван дер Поля это условие выполняется в точке (0,0).

Линеаризация заключается в разложении правых частей дифференциальных уравнений системы по формуле Тейлора. Тогда для эквивалентной уравнению Ван дер Поля системы получим:

(41)

Характер точки покоя полученной системы зависит от корней характеристического уравнения:

(42)

т.е., определяется значением коэффициента.

Характер фазовой траектории в окрестности обыкновенной точки определяется только характером полученных траекторий в точке покоя, т.е. при фиксированном невозможно выделить точки на плоскости, в окрестностях которых фазовая траектория будет иметь характер, отличный от траектории в точке покоя.

Замечание: при анализе характера точки покоя в случае , следует учитывать, что матрица А характеристического уравнения является недиагонализуемой, т.е. не существует матрицы С такой, что

или (43)

где и эмиртовые матрицы (точнее матрица А диагонализуема только в случае = 0).




Поделиться с друзьями:


Дата добавления: 2014-11-28; Просмотров: 537; Нарушение авторских прав?; Мы поможем в написании вашей работы!


Нам важно ваше мнение! Был ли полезен опубликованный материал? Да | Нет



studopedia.su - Студопедия (2013 - 2025) год. Все материалы представленные на сайте исключительно с целью ознакомления читателями и не преследуют коммерческих целей или нарушение авторских прав! Последнее добавление




Генерация страницы за: 0.007 сек.