Студопедия

КАТЕГОРИИ:


Архитектура-(3434)Астрономия-(809)Биология-(7483)Биотехнологии-(1457)Военное дело-(14632)Высокие технологии-(1363)География-(913)Геология-(1438)Государство-(451)Демография-(1065)Дом-(47672)Журналистика и СМИ-(912)Изобретательство-(14524)Иностранные языки-(4268)Информатика-(17799)Искусство-(1338)История-(13644)Компьютеры-(11121)Косметика-(55)Кулинария-(373)Культура-(8427)Лингвистика-(374)Литература-(1642)Маркетинг-(23702)Математика-(16968)Машиностроение-(1700)Медицина-(12668)Менеджмент-(24684)Механика-(15423)Науковедение-(506)Образование-(11852)Охрана труда-(3308)Педагогика-(5571)Полиграфия-(1312)Политика-(7869)Право-(5454)Приборостроение-(1369)Программирование-(2801)Производство-(97182)Промышленность-(8706)Психология-(18388)Религия-(3217)Связь-(10668)Сельское хозяйство-(299)Социология-(6455)Спорт-(42831)Строительство-(4793)Торговля-(5050)Транспорт-(2929)Туризм-(1568)Физика-(3942)Философия-(17015)Финансы-(26596)Химия-(22929)Экология-(12095)Экономика-(9961)Электроника-(8441)Электротехника-(4623)Энергетика-(12629)Юриспруденция-(1492)Ядерная техника-(1748)

Составление ремонтно-сметной ведомости




 

Расчету подлежат следующие категории промышленно-производственного персонала: основные, вспомогательные рабочие. Численность основных рабочих участка определяем через трудоемкость ремонта и эффективный фонд времени работы одного рабочего, , чел.

, (39)

где - трудоемкость ремонта, чел./час.;

- эффективный фонд времени одного рабочего, ч.

 

Численность вспомогательных рабочих, , чел., составляет 25 % от численности основных рабочих

, (40)

 

Численность вспомогательных рабочих принимаемой равной 1.

Численность вспомогательных рабочих принимаемой равной 1.

На основании установленной численности работающих рассчитываются соответствующие фонды заработной платы. Рабочие, занятые ремонтом и текущим надзором за агрегатами и оборудованием, премируются за соблюдение и сокращение срока ремонта, качественное его выполнение, за уменьшение простоев агрегатов и оборудования. Фонд заработной платы включает в себя основную и дополнительную заработную плату. Основная заработная плата состоит из тарифного фонда оплаты труда и фонда премий.

Тарифный фонд оплаты основных рабочих, , тыс. руб., вспомогательных рабочих, , тыс. руб.

, (41)
, (42)

где – среднечасовая заработная плата (часовая тарифная ставка) основного рабочего, тыс. руб.;

– среднечасовая заработная плата (часовая тарифная ставка) вспомогательного рабочего, тыс. руб.

 

 

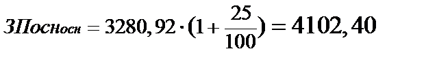
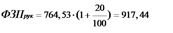
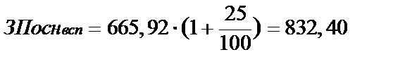
Основная заработная плата с учетом премирования, , тыс. руб.

, (43)
, (44)

где α – процент премирования (25 %).

 

Общий фонд заработной платы, , тыс. руб.

, (45)
, (46)

где β – процент дополнительной заработной платы (20 %).

 

 

Учету подлежат все виды материалов, запасных частей и топливно-энергетических затрат, используемых при выполнении капитального ремонта. При ремонте используются следующие топливно-энергетические затраты: электроэнергия, теплоэнергия (пар), техническая вода. Расчет проводим в таблице 5.

Расчет материальных затрат, , тыс. руб.

(47)

где – расход i-го вида материальных затрат на ремонт;

- цена i-го вида материальных затрат, тыс. руб.

Расчет стоимости материалов и запасных частей проводим в таблице 4

Таблица 7 – Ведомость материалов, запасных частей и хозяйственных принадлежностей на капитальный ремонт оборудования

Наименование материалов Единица измерения Расход Цена единицы, тыс. руб. Общая стоимость, тыс. руб.
Подшипник шт   700,00 2 800,00
Болты кг   15,00 30,00
Гайки кг   15,00 30,00
Хозяйственные принадлежности и инвентарь тыс. руб. - 130,00 130,00
Кольцо шт   50,00 100,00
Втулка шт   150,00 150,00
ДСИ (вал, восстановление) шт   428,290 428,29
ДСИ (зубчатое колесо, изготовление) шт   622,920 622,92
Итого: 4 290,11

 

Сметная ведомость – основной документ для определения стоимости предстоящего ремонта. Она способствует правильному расходу отпущенных средств на ремонт. Расчет сметы ведется на основании ведомости дефектов, цен на материалы, норм времени на проведение капитального ремонта. Расчет сметы сводится в таблицу 6.

 

Таблица 8 – Сметная ведомость на проведение капитального ремонта

Наименование статьи Данные для расчета Сумма, тыс. руб.
1 Электроэнергия Формула 17 123,65
2 Теплоэнергия (пар) Формула 18 121,58
3 Вода техническая Формула 19 0,76
4 Материалы, запасные части, хозяйственные принадлежности Таблица 5 4 290,11
5 Фонд оплаты труда (основных и вспомогательных рабочих) Формула 14 + формула 15 5 921,76
6 Отчисления на соц. страхование 34 % от п.5 2 076,61
7 Налог на заработную плату 5 % от п.5 296,09
8 Обязательное страхование 1 % от п.5 59,21
9 Амортизация 8 % от п.5 473,74
10 Охрана труда 0,5 % от п.5 29,6
11 Транспортные расходы Формула 20 61,54
Итого себестоимость капитального ремонта: 13 452,38

 




Поделиться с друзьями:


Дата добавления: 2014-11-29; Просмотров: 753; Нарушение авторских прав?; Мы поможем в написании вашей работы!


Нам важно ваше мнение! Был ли полезен опубликованный материал? Да | Нет



studopedia.su - Студопедия (2013 - 2026) год. Все материалы представленные на сайте исключительно с целью ознакомления читателями и не преследуют коммерческих целей или нарушение авторских прав! Последнее добавление




Генерация страницы за: 0.008 сек.