Студопедия

КАТЕГОРИИ:


Архитектура-(3434)Астрономия-(809)Биология-(7483)Биотехнологии-(1457)Военное дело-(14632)Высокие технологии-(1363)География-(913)Геология-(1438)Государство-(451)Демография-(1065)Дом-(47672)Журналистика и СМИ-(912)Изобретательство-(14524)Иностранные языки-(4268)Информатика-(17799)Искусство-(1338)История-(13644)Компьютеры-(11121)Косметика-(55)Кулинария-(373)Культура-(8427)Лингвистика-(374)Литература-(1642)Маркетинг-(23702)Математика-(16968)Машиностроение-(1700)Медицина-(12668)Менеджмент-(24684)Механика-(15423)Науковедение-(506)Образование-(11852)Охрана труда-(3308)Педагогика-(5571)Полиграфия-(1312)Политика-(7869)Право-(5454)Приборостроение-(1369)Программирование-(2801)Производство-(97182)Промышленность-(8706)Психология-(18388)Религия-(3217)Связь-(10668)Сельское хозяйство-(299)Социология-(6455)Спорт-(42831)Строительство-(4793)Торговля-(5050)Транспорт-(2929)Туризм-(1568)Физика-(3942)Философия-(17015)Финансы-(26596)Химия-(22929)Экология-(12095)Экономика-(9961)Электроника-(8441)Электротехника-(4623)Энергетика-(12629)Юриспруденция-(1492)Ядерная техника-(1748)

Схемы манипуляторов




 

Таблица К4.1

 

Вариант r1, м r2, м r3, м j1, рад j2, рад j3, рад
  0,8 0,7 0,7 3,1 3,7 5,5
  0,4 0,6 0,6 2,5 2,0 2,0
  0,8 0,4 0,8 0,5 5,2 4,2
  0,9 0,5 0,8 0,4 0,7 5,7
  0,4 0,6 0,6 3,0 4,9 5,8
  0,7 0,7 0,6 2,0 3,4 1,3
  0,9 0,4 0,8 3,1 5,9 0,6
  0,4 0,7 0,7 0,5 0,5 5,1
  0,9 0,4 0,8 3,7 0,4 5,8
  0,4 0,6 0,6 2,8 3,6 3,7
  0,8 0,5 0,6 5,8 3,2 4,7
  0,4 0,6 0,7 1,9 0,7 0,4
  0,4 0,6 0,6 3,2 3,9 5,4
  0,9 0,4 0,7 0,5 5,0 5,2
  0,9 0,5 0,7 2,8 4,5 1,8
  0,5 0,7 0,7 0,4 4,2 5,0
  0,9 0,5 0,7 2,6 0,7 2,0
  0,4 0,6 0,5 0,4 5,0 5,8
  0,53 0,47 0,47 0,57 5,77 5,17
  0,4 0,5 0,6 1,1 2,5 3,7
  0,5 0,7 0,7 3,1 2,5 2,5
  0,9 0,5 0,8 0,3 0,4 5,1
  0,4 0,6 0,7 3,3 2,1 2,2
  0,4 0,7 0,7 3,1 3,0 4,2
  0,9 0,5 0,8 0,5 5,6 5,5
  0,8 0,6 0,7 0,5 5,7 5,6
  0,9 0,5 0,7 3,0 5,1 4,2
  0,5 0,7 0,7 0,5 5,2 1,2
  0,9 0,5 0,8 0,4 4,2 0,5
  0,6 0,6 0,6 3,0 2,1 0,7

 

Размеры звеньев: АВ = r1 = 0,7 м, BD = r2 = 0,5 м, DC = r3 = 0,8 м, значения углов, определяющих положения звеньев манипулятора в начальный момент времени (t = 0): j1 (0) = 0,5 рад; j2 (0) = 0,3 рад; j3 (0) = 1,0 рад.

Порядок расчета. Исходные соотношения для расчета получим, воспользовавшись векторным описанием геометрии механизма, расчленив его на две группы звеньев (рис. К4б и рис. К4в).

 

Рис. К4б

Рис. К4в

 

Из рис. К4б следует

 

(80)

 

Входящие сюда векторы и определяют положение точек А и Р относительно неподвижного начала О1 системы координат хО1у. Векторы, обозначенные двумя буквами, задают положение точки, определяемой второй из этих букв, относительно точки, обозначенной первой буквой.

Продифференцировав равенство (80) по времени, получим

 

(81)

 

где обозначение с одним индексом (Р или А) соответствует значению абсолютной скорости точки Р или А, а обозначение с двумя индексами – относительной скорости; например, есть скорость точки в во вращательном движении звена АВ вокруг точки А. Указанные скорости определяются известными соотношениями:

 

 

 

(82)

 

где , – векторы угловых скоростей звеньев 1 и 2, направленные перпендикулярно чертежу.

С учетом (82) равенство (81) будет иметь вид

 

(83)

 

Спроецировав векторное равенство (83) на координатные оси и учитывая, что АВ = r1, BD = DP = r2, получим два скалярных уравнения:

 

(84)

 

(85)

 

Так как точка Р, принадлежащая катку 2, является мгновенным центром скоростей, то VPx = VPy = 0. Кроме того, sin (3p/2) = –1, cos (3p/2) = 0 и, как следует из условий задачи, VAx = 0 и VАy = VA = V×sin pt. С учетом этих замечаний уравнения (84) и (85) принимают вид:

 

w1 × r1 sin j1 + w2 × r2 (sin j2 - 1) = 0, (86)

 

w1 × r1 cos j1 + w2 × r2 × cos j2 + V× sin pt = 0. (87)

 

Рис. К4в позволяет составить следующее векторное равенство:

 

 

после дифференцирования которого по времени получим

 

или

(88)

 

Спроецировав векторное равенство (88) на координатные оси и учитывая, что PD = r2 и DC = r3, находим:

 

VCx = VPx – w2 × r2 × sin(p/2) – w3 × r3 × sin j3,

 

VCy = VPy + w2 × r2 × cos(p/2) + w3 × r3 × cos j3.

 

В этих уравнениях VCx = 0, VPx = VPy = 0, VCy = VC, sin (p/2) = 1, сos (p/2) = 0. С учетом этих замечаний последние уравнения приобретают вид:

 

w2 × r2 + w3 × r3 sin j3 = 0, (89)

 

w3 × r3 cos j3 - VC = 0. (90)

 

Полученная система четырех линейных уравнений (86), (87), (89) и (90) позволяет определить четыре неизвестных w1, w2, w3 и VC.

Подставив в эти уравнения числовые значения заданных величин, получим систему уравнений:

 

0,7 × sin j1 × w1 + 0,5 (sin j2 - 1)× w2 = 0,

 

0,7 × cos j1 × w1 + 0,5 cos j2 × w2 + 0,45 × sin (1,87×t) = 0,

(91)

0,5 × w2 + 0,8 sin j3 × w3 = 0,

 

0,8 cos j3 × w3 - VC = 0.

 

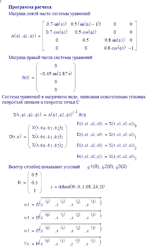
Для проведения расчетов по формулам (91) с помощью универсальной математической системы MathCAD приведем эти уравнения к стандартной матричной форме:

 

A(j1, j2, j3) × X(t, j1, j2, j3) = B(t), (92)

 

где A(j1, j2, j3) – матрица коэффициентов при w1, w2, w3 и VC; B(t) – матрица свободных членов; X(t, j1, j2, j3) – матрица-столбец неизвестных.

Расположим элементы матрицы столбца X(t, j1, j2, j3) в следующем порядке:

 

 

В этом случае матрица A(j1, j2, j3) и столбец свободных членов B(t) таковы:

 

 

 

Выражение (92) можно записать как

 

(93)

 

Принимая во внимание, что

 

(94)

 

из (93) получаем систему дифференциальных уравнений вида

 

(95)

 

Для решения полученных уравнений используем функцию rkfixed(f 0, t0, t, n, D), возвращающую матрицу решений методом Рунге-Кутта. Задаем решение уравнений

 

z = rkfixed(f 0, t0, t, n, D),

 

где f 0 – вектор начальных условий для углов j1(0), j2(0), j3(0); t0 – начальный момент времени; t – конечный момент времени; n – число шагов; D – вектор правых частей дифференциальных уравнений (95).

В результате расчетов получим: – вектор значений времени; – вектор значений j1; – вектор значений j2; – вектор значений j3 для каждого шага времени n.

Введя вспомогательные функции

 

,

 

,

 

,

 

,

 

определим векторы значений:

 

 

 

 

 

Ниже приведена программа расчета, а результаты решения по изложенному методу содержатся в табл. К4.2 и на рис. К4г.

 

 

 

Таблица К4.2

Результаты решения задачи

 

t j1 j2 j3 w1 w2 w3 VC
0.000 0.500 0.300 1.000 0.0000 0.0000 0.0000 0.0000
0.070 0.500 0.300 1.000 –0.0549 –0.0523 0.0389 0.0168
0.140 0.496 0.296 1.003 –0.1093 –0.1029 0.0763 0.0328
0.210 0.489 0.289 1.008 –0.1627 –0.1495 0.1105 0.0472
0.280 0.477 0.279 1.016 –0.2146 –0.1904 0.1400 0.0590
0.350 0.462 0.265 1.026 –0.2647 –0.2240 0.1637 0.0679
0.420 0.444 0.250 1.037 –0.3123 –0.2492 0.1809 0.0736
0.490 0.422 0.232 1.050 –0.3567 –0.2655 0.1913 0.0762
0.560 0.397 0.214 1.063 –0.3972 –0.2727 0.1950 0.0759
0.630 0.369 0.195 1.077 –0.4331 –0.2711 0.1924 0.0730
0.700 0.339 0.176 1.090 –0.4635 –0.2612 0.1841 0.0681
0.770 0.306 0.157 1.103 –0.4878 –0.2441 0.1709 0.0616
0.840 0.272 0.140 1.115 –0.5051 –0.2209 0.1538 0.0541
0.910 0.237 0.125 1.126 –0.5149 –0.1930 0.1337 0.0460
0.980 0.201 0.111 1.135 –0.5162 –0.1620 0.1117 0.0377
1.050 0.164 0.100 1.143 –0.5087 –0.1295 0.0890 0.0295
1.120 0.129 0.091 1.149 –0.4916 –0.0973 0.0666 0.0218
1.190 0.094 0.084 1.154 –0.4644 –0.0670 0.0458 0.0148
1.260 0.062 0.079 1.157 –0.4267 –0.0402 0.0274 0.0088
1.330 0.032 0.077 1.159 –0.3784 –0.0184 0.0126 0.0040
1.400 0.006 0.075 1.160 –0.3195 –0.0027 0.0018 0.0006
1.470 –0.017 0.075 1.160 –0.2505 0.0064 –0.0043 –0.0014
1.540 –0.034 0.075 1.160 –0.1729 0.0090 –0.0061 –0.0020
1.610 –0.046 0.076 1.159 –0.0884 0.0062 –0.0042 –0.0014
1.680 –0.053 0.077 1.159 0.0000 –0.0000 0.0000 0.0000

 

 

Рис. К4г

 

Для составления программ на языке Pascal уравнения (91) представим в явном виде относительно w1, w2, w3 и VC:

 

 

(96)

 

 

Конечно-разностная схема Эйлера для уравнений (94), (96) приводит к следующим уравнениям, связывающим значения углов и угловых скоростей в начале и конце k-го шага интегрирования:

 

j1 (k + 1) = j1 (k) + w1(k) × Dt,

 

j2 (k + 1) = j2 (k) + w2(k) × Dt,

 

j3 (k + 1) = j3 (k) + w3(k) × Dt.

 

Учитывая начальные условия j1(0), j2(0), j3(0) и шаг по времени Dt, организуем цикл по времени с помощью стандартного оператора

 

repeat

......

Тело цикла (формулы (96) для вычислений w1, w2, w3 и VC)

.....

until t > t.

 

На печать с шагом Dt = t/24 = 0,07 c выводятся переменные t, j1, j2, j3, w1, w2, w3 и VC.

Ниже представлена программа и результаты расчета на языке Pascal (табл. К4.3), а также график изменения скоростей в зависимости от времени (рис. К4д).

 

 

Program Mаnipul

const dt=1.68/24;

 

Var

om1, om2, om3, Vc, f1, f2, f3, t, K1, K2: REAL;

F, S: Text;

 

Begin

t:= 0; f1:= 0.5; f2:= 0.3; f3:= 1.0;

Assign(F, 'S41.dat');

Assign(S, 'S42.dat');

ReWrite(F);

ReWrite(S);

Repeat

K1:= sin(f1)*cos(f2) - cos(f1)*(sin(f2) - 1);

om1:= 0.6428*sin(1.87*t)*(sin(f2) - 1)/K1;

K2:= - K1;

om2:= 0.9*sin(1.87*t)*sin(f1)/K2;

om3:= 0.5625*sin(1.87*t)*sin(f1)/(K1*sin(f3));

Vc:= 0.45*sin(1.87*t)*sin(f1)*cos(f3)/(K1*sin(f3));

Writeln(F, t:8:3, f1:8:3, f2:8:3, f3:8:3, om1:10:4, om2:10:4, om3:10:4, Vc:10:4);

Writeln(S, t:8:3, om1:8:3, om2:10:3, om3:10:3, Vc:12:3);

t:= t + dt;

f1:= f1 + om1*dt;

f2:= f2 + om2*dt;

f3:= f3 + om3*dt;

Until t >= 1.68 + 0.15;

 

End.

 

 

Таблица К4.3

Результаты расчета

 

t j1 j2 j3 w1 w2 w3 VC
0.0000 0.5000 0.3000 1.0000 0.0000 0.0000 0.0000 0.0000
0.0700 0.4981 0.2981 1.0014 –0.0529 –0.0548 0.0407 0.0175
0.1400 0.4926 0.2924 1.0057 –0.1055 –0.1074 0.0795 0.0341
0.2100 0.4834 0.2831 1.0125 –0.1572 –0.1557 0.1147 0.0486
0.2800 0.4706 0.2707 1.0216 –0.2078 –0.1979 0.1450 0.0606
0.3500 0.4544 0.2556 1.0326 –0.2566 –0.2327 0.1694 0.0694
0.4200 0.4348 0.2383 1.0452 –0.3030 –0.2589 0.1871 0.0751
0.4900 0.4120 0.2196 1.0587 –0.3465 –0.2761 0.1980 0.0776
0.5600 0.3863 0.1999 1.0727 –0.3863 –0.2841 0.2021 0.0772
0.6300 0.3580 0.1800 1.0868 –0.4218 –0.2830 0.1998 0.0744
0.7000 0.3274 0.1605 1.1006 –0.4521 –0.2735 0.1917 0.0695
0.7700 0.2948 0.1419 1.1135 –0.4767 –0.2563 0.1785 0.0631
0.8400 0.2608 0.1247 1.1255 –0.4947 –0.2326 0.1611 0.0555
0.9100 0.2258 0.1094 1.1360 –0.5055 –0.2038 0.1404 0.0473
0.9800 0.1902 0.0963 1.1451 –0.5083 –0.1713 0.1175 0.0388
1.0500 0.1548 0.0855 1.1525 –0.5025 –0.1369 0.0936 0.0304
1.1200 0.1201 0.0771 1.1582 –0.4872 –0.1025 0.0699 0.0224
1.1900 0.0868 0.0711 1.1623 –0.4619 –0.0700 0.0477 0.0152
1.2600 0.0557 0.0673 1.1649 –0.4258 –0.0413 0.0281 0.0089
1.3300 0.0275 0.0652 1.1663 –0.3786 –0.0181 0.0123 0.0039
1.4000 0.0029 0.0646 1.1667 –0.3203 –0.0016 0.0011 0.0003
1.4700 –0.0171 0.0648 1.1666 –0.2514 0.0075 –0.0051 –0.0016
1.5400 –0.0320 0.0654 1.1661 –0.1734 0.0097 –0.0066 –0.0021
1.6100 –0.0412 0.0660 1.1657 –0.0885 0.0064 –0.0043 –0.0014
1.6800 –0.0443 0.0663 1.1656 0.0000 0.0000 0.0000 0.0000

 

Рис. К4д

 

Оценим полученные результаты, сравнив их со значениями скоростей, вычисленными для какого-либо момента времени с помощью мгновенных центров скоростей.

Например, при t = 0,7 с из табл. K4.2 имеем: j1 = 0,339 рад = 19,42°, j2 = 0,167 рад = 10,08°, j3 = 1,09 рад = 62,45°, VA = 0,435 м/с.

Вычертим в масштабе схему механизма для выписанных углов (рис. К4е) и покажем на ней положение мгновенных центров скоростей.

 

Рис. К4е

 

Угловая скорость звена 1

 

 

Скорость точки В

 

VB = w1 BP1 = 0,4627×0,37 = 0,1712 м/с.

 

Угловая скорость колеса (звена 2)

 

Скорость точки D

 

VD = w2 DP2 = 0,2634×0,5 = 0,1371 м/с.

 

Угловая скорость звена 3

 

 

Скорость точки С

 

VC = w3 CP3 = 0,1829×0,38 = 0,0695 м/с.

 

Полученные результаты практически совпадают с результатами расчета на ЭВМ.

 

 




Поделиться с друзьями:


Дата добавления: 2014-11-29; Просмотров: 727; Нарушение авторских прав?; Мы поможем в написании вашей работы!


Нам важно ваше мнение! Был ли полезен опубликованный материал? Да | Нет



studopedia.su - Студопедия (2013 - 2025) год. Все материалы представленные на сайте исключительно с целью ознакомления читателями и не преследуют коммерческих целей или нарушение авторских прав! Последнее добавление




Генерация страницы за: 0.012 сек.