Студопедия

КАТЕГОРИИ:


Архитектура-(3434)Астрономия-(809)Биология-(7483)Биотехнологии-(1457)Военное дело-(14632)Высокие технологии-(1363)География-(913)Геология-(1438)Государство-(451)Демография-(1065)Дом-(47672)Журналистика и СМИ-(912)Изобретательство-(14524)Иностранные языки-(4268)Информатика-(17799)Искусство-(1338)История-(13644)Компьютеры-(11121)Косметика-(55)Кулинария-(373)Культура-(8427)Лингвистика-(374)Литература-(1642)Маркетинг-(23702)Математика-(16968)Машиностроение-(1700)Медицина-(12668)Менеджмент-(24684)Механика-(15423)Науковедение-(506)Образование-(11852)Охрана труда-(3308)Педагогика-(5571)Полиграфия-(1312)Политика-(7869)Право-(5454)Приборостроение-(1369)Программирование-(2801)Производство-(97182)Промышленность-(8706)Психология-(18388)Религия-(3217)Связь-(10668)Сельское хозяйство-(299)Социология-(6455)Спорт-(42831)Строительство-(4793)Торговля-(5050)Транспорт-(2929)Туризм-(1568)Физика-(3942)Философия-(17015)Финансы-(26596)Химия-(22929)Экология-(12095)Экономика-(9961)Электроника-(8441)Электротехника-(4623)Энергетика-(12629)Юриспруденция-(1492)Ядерная техника-(1748)

Нормировочная карта





Расчёт

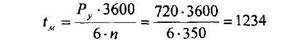
Теоретическая производительность станка




 


 






 


Число уточных паковок, необходимых для наработки 1 м ткани




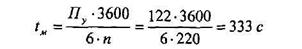
Время, необходимое на заправку и обработку основы, с

Вспомогательное технологическое время Перерывы в работе станка и загруженность ткача



240 Расчёт коэффициентов и норм:

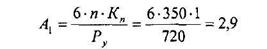
Число станков, которое может обслужить один ткач при и



 


Коэффициент занятости на одном станке

t 98 94

К3 =----- ^----- К =------- =^----- 0,6 = 0,038

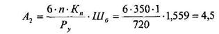
Коэффициент перерывов из-за совпадения Максимальное число обслуживаемых станков при

(tM+teM) 3P (1234 + 24,03)

Принимаем норму обслуживания ткача Коэффициент простоев по группе «а»

Коэффициент простоев по группе «б»

Коэффициент полезного времени Норма производительности станка

норма выраоотки ткача


Пример расчёта нормы производительности ткацкого станка СТБ2-220 и нормы выработки ткача.



 



 





Расчёт

Теоретическая производительность станка

Машинное время наработки 1 м ткани

Число бобин, необходимых для наработки 1 м ткани

Расчёт вспомогательного технологического времени



Время обслуживания рабочего места



 


Время на отдых и личные надобности

Число станков, которое может обслуживать один ткач при



 


Коэффициент занятости ткача на одном станке



 


 



Пользуясь табл.1 найдём кс = 1,28

 


Максимальное число обслуживаемых станков при

Принимаем норму обслуживания Расчёт коэффициентов



 


244 Расчёт нормы производительности станка и нормы выработки

ткача, м/ч




Поделиться с друзьями:


Дата добавления: 2014-12-07; Просмотров: 2432; Нарушение авторских прав?; Мы поможем в написании вашей работы!


Нам важно ваше мнение! Был ли полезен опубликованный материал? Да | Нет



studopedia.su - Студопедия (2013 - 2026) год. Все материалы представленные на сайте исключительно с целью ознакомления читателями и не преследуют коммерческих целей или нарушение авторских прав! Последнее добавление




Генерация страницы за: 0.009 сек.