Студопедия

КАТЕГОРИИ:


Архитектура-(3434)Астрономия-(809)Биология-(7483)Биотехнологии-(1457)Военное дело-(14632)Высокие технологии-(1363)География-(913)Геология-(1438)Государство-(451)Демография-(1065)Дом-(47672)Журналистика и СМИ-(912)Изобретательство-(14524)Иностранные языки-(4268)Информатика-(17799)Искусство-(1338)История-(13644)Компьютеры-(11121)Косметика-(55)Кулинария-(373)Культура-(8427)Лингвистика-(374)Литература-(1642)Маркетинг-(23702)Математика-(16968)Машиностроение-(1700)Медицина-(12668)Менеджмент-(24684)Механика-(15423)Науковедение-(506)Образование-(11852)Охрана труда-(3308)Педагогика-(5571)Полиграфия-(1312)Политика-(7869)Право-(5454)Приборостроение-(1369)Программирование-(2801)Производство-(97182)Промышленность-(8706)Психология-(18388)Религия-(3217)Связь-(10668)Сельское хозяйство-(299)Социология-(6455)Спорт-(42831)Строительство-(4793)Торговля-(5050)Транспорт-(2929)Туризм-(1568)Физика-(3942)Философия-(17015)Финансы-(26596)Химия-(22929)Экология-(12095)Экономика-(9961)Электроника-(8441)Электротехника-(4623)Энергетика-(12629)Юриспруденция-(1492)Ядерная техника-(1748)

Лекция 26




 

1. Қазақстандағы бағалар және тариф өзгерісінің статистикалық бақылауын ұйымдастыру

 

Нарыққа өту жағдайында Қазақстан Республикасының статистика жөніндегі агенттігі арнайы баға методологиясы бойынша төмендегілерге ішінара бақылау жасайды:

а) тауардың бөлшек сауда бағасына;

ө) бақылау жасайтын баға әдістемесін жасай отырып, тауар және қызметтердің тұтыну бағаларына және тарифтеріне.

Бағаларды бақылаудың мақсаты - халыққа уақыттың ағымдағы кезеңіне сәйкестендірілетін тауарлар мен қызметтерді сату бағалары мен тарифтерін тіркеу және бөлшек сауда бағасы мен тұгыну бағаларын есептеу.

Бағаларды ішінара бақылауды ұйымдастыру типтік іріктеу әдісіне, яғни халық ұдайы сатып алатын тауарлар мен қызметгердің шектелген тізіміне негізделген. Сату-сатып алу операцияларының көпшілігінің ішінен типтік жағдайлар іріктеліп алынады. Бақылау үшін іріктеліп алынған сауда және ақылы қызмет нысандары базалық болып саналады, оларда бағалар мен тарифтерді тіркеу ұдайы жүргізіліп отырады. Базалық кәсіпорындар бойынша тұтыну және бөлшек сауда бағаларының индексін, баға деңгейі туралы оперативті мәліметтерді есептеу мақсатында, халықаралық салыстыру бағдарламалары үшін ақпарат жиналады.

Қазақстанда тауарлар мен қызметтерді іріктеу қалай жүргізіледі?

Тауарлар мен қызметтерді іріктеп алу келесі белгілер бойынша іске асырылады:

- аумағы бойынша (2 астана және барлық облыс орталықтары);

-сауда және ақылы қызмет нысандары (аймақтағы саудалық кәсіпорындар);

-тауар (қызмет) өкілеттігінің тізімі бойынша (жіктелуге сәйкес).

Тауарға деген бағалар егер олар бір ассортиментке тіркелсе, біркелкі сапалық сипатқа ие болса және сауда тіркелген базалық кәсіпорындарда өткізілсе, екі кезеңде (айда) сәйкестендіріледі. Түрі бойынша іріктеліп алынған тауарлар мен қызметтер тұтыну қоржынын құрайды. Тұтыну қоржыны табыс деңгейі әр түрлі халық тобының тұтыну шығындарының нақты құрылымын көрсету негізінде қалыптасады.

Мұндай амал неге негізделген?

Тұтынудың нақты құрылымы табыс деңгейі әр түрлі халықтың әр түрлі тобының материалдық жағдайын сипаттауға негізделген. Соңдықтан тұтыну бағасының индексі өмір құнының индексі деп те аталады. Тұтыну қоржынына тауарлар мен қызметтерді іріктеу жүйесі тұтыну шығындарының құрылымын анықтау үшін өз бюджетінің есебі жүргізілетін, табыс деңгейі бойынша әр түрлі жанұялардың іріктеліп алынуымен де толықтырылады.

Қазақстан Республикасының статистикалық органдары тауарлар мен қызметтер бағасына бақылауды тек қана ай сайын емес, мониторинг деп аталатын бақылауды әр апта сайын жүргізеді. Тауарлар мен қызметтерге деген баға мониторингінің мақсаты — әлеуметтік экономикалық саясат және микроэкономика саласындағы әр түрлі мәселелер бойынша Қазақстан Республикасы Үкіметінің шешім қабылдауын және аймақтар бойынша бұл қозғалысты талдау үшін маңызды құрал ретіндегі апта сайынғы инфляция деңгейінің көрсеткіштерін есептеу.

Тауарлардың, қызметтердің орташа бағасы және олардың индекстері қалай есептеледі?

Қазақстан Республикасының аймақтары бойынша тауарлардың салыстырмалы, сәйкестендірілген шеңберінде бағалардың тіркелуінің берілгені бойынша орташа бағалар мен индекстер есептеледі:

1. Аймақ бойынша орташа салыстырмалы баға жай орташа арифметикалық формула арқылы есептеледі:

 

 

Мұндағы: Рj — j бөлек тауардың (қызметтің) орташа салыстырмалы бағасы.

Рj- аймақтың сату нүктелері бойынша j тауардың (қызметтің) салыстырмалы бағаларының сомасы.

К — тіркелген j тауар (қызметтің) бағаларының сомасы.

Егер есептегі кезеңде қандай да бір сауда орнының бағалары туралы мәліметтер болмаса, онда жетіспейтін бағаның шартты мәні бағаның жеке индексін осы тауардың (қызметтің) базистік кезеңдегі бағасына көбейту арқылы табылады:

 

 

Мұндағы: Р j — есептегі кезеңдегі) тауардың (қызметтің) бағасы;

 

тауар (қызметтің) бағасының жеке индексі;

базистік кезеңдегі j тауарлардың (қызметінің) бағасы.

2. Аймақтық деңгей бойынша j тауар (қызмет) бағаларының индексі:

 

 

Мүндағы: I pj - аймақтық деңгейдегі тауар (қызмет) бағаларының индексі;

I j 1 - есеп беру кезеңіндегі тауардың (қызметтің) орташа бағасы;

I j 0- базистік кезеңцегі j тауардың (қызметтің) орташа бағасы.

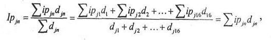
3. Республикалық деңгейдегі j тауар (қызметтің) бағасының индексі:

Мұндағы: Iрn - республикалық деңгейдегі тауар(қызмет) бағаларының индексі;

ip1, ip2......., ip16 - республиканың облыс орталықтары мен астанасындағы j тауар (қызмет) бағаларының жеке индексі;

Қазақстан бойынша жалпы әр аймақтың үй шаруашылығы шығындарының үлесі (салмағы).

Әр тауардың саналған индексі негізінде топ бойынша бағалардың жалпы индексі мен тауарлардың барлық жиынтығы мына формула бойынша есептеледі:

 

Мұндағы: d jf - жалпы шығындардағы бөлек тауарлар үшін шығындардың үлесі (салмағы).

Республикалық деңгейдегі әр тауар бойынша орташа баға жай арифметикалық орташа баға формуласымен анықталады:

 

Р j 1+Р j 2+... + Р j 16

Р j n = ______________________________________

К

 

Мұндағы: Р j n - тауардың (қызметтің) орташа республикалық бағасы

- Қазақстан Республикасы аймақтары бойынша тауардың (қызметтің) орташа бағалары;

К - баға тіркелген облыс орталықтары мен Астана.

Барлық тауарлар мен қызметтер бойынша бағаның еркін республикалық индексі Ласпейрес формуласымен анықталады:

 

 

Тұтыну бағасының индексін есептеу базистік кезеңдегі халықтың тұтыну шығындарының тұрақты құрылымын анықтайды. Индекстерді есептеудің бұл формуласы тәжірибеде қолданылады, себебі базистік кезеңде тауарлар мен қызметтерді алу көлемі туралы ақпарат әрқашан болады.

Берілген формулалар бойынша бөлшек және тұтыну бағаларының индекстері есептеледі. Айырмашылық келесіде. Тауардың бөлшек бағалар индексі Қазақстан Республикасының бөлшек тауар айналымының нақты құрылымы мен тауар бағаларының өзгерістерінің мәліметтері бойынша анықталады. Тұтыну бағаларының индексі бағалардың өзгерісі мен таңдалған отбасылардың үй шаруашылығындағы шығындардың нақты құрылымы туралы мәліметтер бойынша анықталады.

Бағалардың деңгейі мен оған әсер ететін факторлар арасындағы тәуелділікті бағалау үшін қандай әдіс қолданылады?

4. Бағалардың деңгейі мен оған әсер ететін факторлардың арасындағы тәуелділіктің сандық бағасы статистикада А. Маршаллдың формуласы бойынша, яғни динамикалық коэффициенттер икемділігі көмегімен анықталады:

Мұндағы: ∆р жөне ∆х – бағаның (р) және факторлық белгінің (х) абсолюттік өсімдері;

p0 және Х0- бағаның және факторлық белгінің базалық және базистік мәндері.[77]

Тақырып 18. Өндіріс тиімділігінің статистикасы




Поделиться с друзьями:


Дата добавления: 2014-12-07; Просмотров: 615; Нарушение авторских прав?; Мы поможем в написании вашей работы!


Нам важно ваше мнение! Был ли полезен опубликованный материал? Да | Нет



studopedia.su - Студопедия (2013 - 2026) год. Все материалы представленные на сайте исключительно с целью ознакомления читателями и не преследуют коммерческих целей или нарушение авторских прав! Последнее добавление




Генерация страницы за: 0.012 сек.