Студопедия

КАТЕГОРИИ:


Архитектура-(3434)Астрономия-(809)Биология-(7483)Биотехнологии-(1457)Военное дело-(14632)Высокие технологии-(1363)География-(913)Геология-(1438)Государство-(451)Демография-(1065)Дом-(47672)Журналистика и СМИ-(912)Изобретательство-(14524)Иностранные языки-(4268)Информатика-(17799)Искусство-(1338)История-(13644)Компьютеры-(11121)Косметика-(55)Кулинария-(373)Культура-(8427)Лингвистика-(374)Литература-(1642)Маркетинг-(23702)Математика-(16968)Машиностроение-(1700)Медицина-(12668)Менеджмент-(24684)Механика-(15423)Науковедение-(506)Образование-(11852)Охрана труда-(3308)Педагогика-(5571)Полиграфия-(1312)Политика-(7869)Право-(5454)Приборостроение-(1369)Программирование-(2801)Производство-(97182)Промышленность-(8706)Психология-(18388)Религия-(3217)Связь-(10668)Сельское хозяйство-(299)Социология-(6455)Спорт-(42831)Строительство-(4793)Торговля-(5050)Транспорт-(2929)Туризм-(1568)Физика-(3942)Философия-(17015)Финансы-(26596)Химия-(22929)Экология-(12095)Экономика-(9961)Электроника-(8441)Электротехника-(4623)Энергетика-(12629)Юриспруденция-(1492)Ядерная техника-(1748)

Простейшие случаи криволинейной корреляции




Определение: Если график регрессии = ƒ(x) или у = φ(y) изображается кривой линией, то корреляцию называют криволинейной.

Например, функции регрессии Y на X могут иметь вид:

= ax2 + bx + c – параболическая корреляция второго порядка;

= ax 3 + bx2 + cx + d – параболическая корреляция третьего порядка.

Для того чтобы определить вид функции регрессии строят точки (x, ) и по их расположению делают заключение о примерном виде функции регрессии. При окончательном решении принимают во внимание особенности, вытекающие из сущности решаемой задачи.

Теория криволинейной корреляции решает те задачи, что и теория линейной корреляции (установление формы и тесноты корреляционной связи).

Рассмотрим параболическую корреляцию второго порядка. Предположим, что данные n наблюдений (выборка) позволяют считать, что имеет место именно такая корреляция. В этом случае выборочное уравнение регрессии Y на X имеет вид:

=Ax2 + Bx + C (1),

где A, B, C – неизвестные параметры.

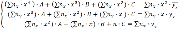
Пользуясь методом наименьших квадратов, получаем систему линейных уравнений относительно неизвестных параметров (предлагаем вывести ее самостоятельно):

(2)

Найденные из системы (2) параметры A, B, C подставляем в формулу (1), в итоге получаем искомое уравнение регрессии.

Пример: Найти выборочное уравнение регрессии Y на X вида = Ax2 + Bx + C по данным корреляционной таблицы.

Y \ X   1,1 1,2
      -  
  -   -  
7,5 -      
     
  6,95 7,5  

 

Решение: Составим расчетную таблицу.

                   
1,1   6,95 36,3 39,93 43,93 48,32 229,35 252,3 277,5
1,2   7,5 10,8 12,96 15,55 18,66 67,5   97,2
  - 55,1 60,89 67,48 74,98 344,85 381,3 422,7

 

Подставив числа (суммы) нижней строки таблицы в систему (2), получим:

Решив эту систему, получаем: A = 1,94; В = 2,98; С = 1,1. Тогда искомое уравнение принимает вид:

= 1,94x2 + 2,98x + 1,1.

Например, при x1=1 найдем по таблице
= 6, а по уравнению =1,94 + 2,98 + 1,1 = 6,02.

Таким образом, найденное уравнение хорошо согласуется с данными выборки.




Поделиться с друзьями:


Дата добавления: 2014-12-27; Просмотров: 3350; Нарушение авторских прав?; Мы поможем в написании вашей работы!


Нам важно ваше мнение! Был ли полезен опубликованный материал? Да | Нет



studopedia.su - Студопедия (2013 - 2025) год. Все материалы представленные на сайте исключительно с целью ознакомления читателями и не преследуют коммерческих целей или нарушение авторских прав! Последнее добавление




Генерация страницы за: 0.008 сек.