Студопедия

КАТЕГОРИИ:


Архитектура-(3434)Астрономия-(809)Биология-(7483)Биотехнологии-(1457)Военное дело-(14632)Высокие технологии-(1363)География-(913)Геология-(1438)Государство-(451)Демография-(1065)Дом-(47672)Журналистика и СМИ-(912)Изобретательство-(14524)Иностранные языки-(4268)Информатика-(17799)Искусство-(1338)История-(13644)Компьютеры-(11121)Косметика-(55)Кулинария-(373)Культура-(8427)Лингвистика-(374)Литература-(1642)Маркетинг-(23702)Математика-(16968)Машиностроение-(1700)Медицина-(12668)Менеджмент-(24684)Механика-(15423)Науковедение-(506)Образование-(11852)Охрана труда-(3308)Педагогика-(5571)Полиграфия-(1312)Политика-(7869)Право-(5454)Приборостроение-(1369)Программирование-(2801)Производство-(97182)Промышленность-(8706)Психология-(18388)Религия-(3217)Связь-(10668)Сельское хозяйство-(299)Социология-(6455)Спорт-(42831)Строительство-(4793)Торговля-(5050)Транспорт-(2929)Туризм-(1568)Физика-(3942)Философия-(17015)Финансы-(26596)Химия-(22929)Экология-(12095)Экономика-(9961)Электроника-(8441)Электротехника-(4623)Энергетика-(12629)Юриспруденция-(1492)Ядерная техника-(1748)

Линейной регрессии по сгруппированным данным




Пусть получено большое число данных (для удовлетворительной оценки искомых параметров должно быть хотя бы 50 наблюдений), среди них есть повторяющиеся, и они сгруппированы в виде корреляционной таблицы.

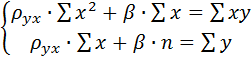
Возьмём систему уравнений, полученную для определения параметров уравнения прямой линии регрессии Y на X:

(1)

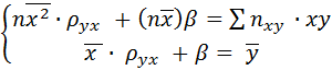
Запишем систему (1) так, чтобы она отражала данные корреляционной таблицы:

, , ,

(учтено, что пара чисел (x, y) наблюдались раз).

Тогда, сократив на n, получим:

 

(2)

 

Решив эту систему, найдём параметры , тогда искомое уравнение линейной регрессии имеет вид:

(3)

Однако, более целесообразно, введя выборочный коэффициент корреляции, написать уравнение линейной регрессии в ином виде.

Из второго уравнения системы (2) следует Подставим это в уравнение в (3):

(4)

Найдём из системы (1) коэффициент регрессии, учитывая что :

(5)

Умножим обе части равенства (5) на дробь :

,

,

.

Подставим найденный коэффициент в формулу (3) и получим выборочное уравнение линейной регрессии Y на X:

.

Аналогично находят выборочное уравнение линейной регрессии X на Y:

= ,

где

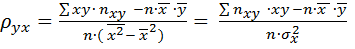
Следует заметить, что является оценкой коэффициента корреляции:

Действительно, используя метод моментов, т.е. заменив числовые характеристики их оценками, получим:

 

 




Поделиться с друзьями:


Дата добавления: 2014-12-27; Просмотров: 994; Нарушение авторских прав?; Мы поможем в написании вашей работы!


Нам важно ваше мнение! Был ли полезен опубликованный материал? Да | Нет



studopedia.su - Студопедия (2013 - 2025) год. Все материалы представленные на сайте исключительно с целью ознакомления читателями и не преследуют коммерческих целей или нарушение авторских прав! Последнее добавление




Генерация страницы за: 0.011 сек.