Студопедия

КАТЕГОРИИ:


Архитектура-(3434)Астрономия-(809)Биология-(7483)Биотехнологии-(1457)Военное дело-(14632)Высокие технологии-(1363)География-(913)Геология-(1438)Государство-(451)Демография-(1065)Дом-(47672)Журналистика и СМИ-(912)Изобретательство-(14524)Иностранные языки-(4268)Информатика-(17799)Искусство-(1338)История-(13644)Компьютеры-(11121)Косметика-(55)Кулинария-(373)Культура-(8427)Лингвистика-(374)Литература-(1642)Маркетинг-(23702)Математика-(16968)Машиностроение-(1700)Медицина-(12668)Менеджмент-(24684)Механика-(15423)Науковедение-(506)Образование-(11852)Охрана труда-(3308)Педагогика-(5571)Полиграфия-(1312)Политика-(7869)Право-(5454)Приборостроение-(1369)Программирование-(2801)Производство-(97182)Промышленность-(8706)Психология-(18388)Религия-(3217)Связь-(10668)Сельское хозяйство-(299)Социология-(6455)Спорт-(42831)Строительство-(4793)Торговля-(5050)Транспорт-(2929)Туризм-(1568)Физика-(3942)Философия-(17015)Финансы-(26596)Химия-(22929)Экология-(12095)Экономика-(9961)Электроника-(8441)Электротехника-(4623)Энергетика-(12629)Юриспруденция-(1492)Ядерная техника-(1748)

Линейной регрессии по несгруппированным данным




Отыскание параметров выборочного уравнения

Пусть имеются две случайные величины Х и Y и проводится их измерение.

Предположим, что каждая пара значений (Х, Y) наблюдалось по одному разу.

В результате n независимых опытов получено n пар чисел:

(, ), (, ), …, (, ).

Будем искать линейное выборочное уравнение регрессии Y на Х (для определенности) в виде:

= kx + b. (1)

Так как по выборочным данным можно получить только оценки параметров, то оценку коэффициента k обозначим через , а оценку b – через , т.е.

= + . (2)

выборочный коэффициент регрессии Y на Х.

Подберем параметры и так, чтобы точки (, ), (, ), …, (, ), построенные по данным наблюдений, на плоскости лежали как можно ближе к прямой (2).

Обозначим через значение величины Y, соответствующее значению , а через – значение , которое можно получить из выражения (2) при Х = .

Подберем параметры и так, чтобы сумма квадратов отклонений ( - ) была минимальной (в этом состоит сущность метода наименьших квадратов).

Возьмем разности ( - , возведем их в квадрат и просуммируем. Получим функцию:

f( , ) = = .

Приравнивая и к нулю, получаем два уравнения для определения и :

После элементарных преобразований эти уравнения приводятся к виду:

 

Аналогично находится выборочное уравнение линейной регрессии Х на Y:

= у + ,

где

 

выборочный коэффициент регрессии Х на Y.

Это можно записать проще, используя обозначения:

= ,

=

= ,

= ,

= .

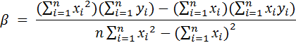
Тогда неизвестные параметры выборочного уравнения линейной регрессии Y на Х вычисляются по формулам:

= ,

=

Аналогично вычисляются параметры выборочного уравнения линейной регрессии Х на Y:

= ,

= .




Поделиться с друзьями:


Дата добавления: 2014-12-27; Просмотров: 1842; Нарушение авторских прав?; Мы поможем в написании вашей работы!


Нам важно ваше мнение! Был ли полезен опубликованный материал? Да | Нет



studopedia.su - Студопедия (2013 - 2026) год. Все материалы представленные на сайте исключительно с целью ознакомления читателями и не преследуют коммерческих целей или нарушение авторских прав! Последнее добавление




Генерация страницы за: 0.011 сек.