Студопедия

КАТЕГОРИИ:


Архитектура-(3434)Астрономия-(809)Биология-(7483)Биотехнологии-(1457)Военное дело-(14632)Высокие технологии-(1363)География-(913)Геология-(1438)Государство-(451)Демография-(1065)Дом-(47672)Журналистика и СМИ-(912)Изобретательство-(14524)Иностранные языки-(4268)Информатика-(17799)Искусство-(1338)История-(13644)Компьютеры-(11121)Косметика-(55)Кулинария-(373)Культура-(8427)Лингвистика-(374)Литература-(1642)Маркетинг-(23702)Математика-(16968)Машиностроение-(1700)Медицина-(12668)Менеджмент-(24684)Механика-(15423)Науковедение-(506)Образование-(11852)Охрана труда-(3308)Педагогика-(5571)Полиграфия-(1312)Политика-(7869)Право-(5454)Приборостроение-(1369)Программирование-(2801)Производство-(97182)Промышленность-(8706)Психология-(18388)Религия-(3217)Связь-(10668)Сельское хозяйство-(299)Социология-(6455)Спорт-(42831)Строительство-(4793)Торговля-(5050)Транспорт-(2929)Туризм-(1568)Физика-(3942)Философия-(17015)Финансы-(26596)Химия-(22929)Экология-(12095)Экономика-(9961)Электроника-(8441)Электротехника-(4623)Энергетика-(12629)Юриспруденция-(1492)Ядерная техника-(1748)

Метод моментов




Эмпирические моменты

Прежде, чем изложить метод моментов приведем определения эмпирических моментов.

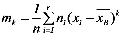
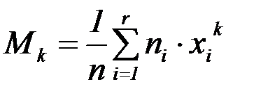
Определение: Эмпирическими моментами порядка k называют среднее значение :

,

где – частота варианты,

– объем выборки,

С – произвольное постоянное число.

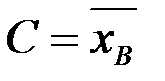
Определение: Начальным эмпирическим моментом порядкаk называется эмпирический момент порядка k при С=0:

Начальный эмпирический момент первого порядка равен средней выборочной:

Определение: Центральным эмпирическим моментом порядка k называется эмпирический момент при

.

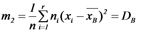
Центральный эмпирический момент второго порядка равен выборочной дисперсии:

.

Теперь рассмотрим метод моментов для точечной оценки параметров распределения.

Пусть известен вид функции плотности распределения вероятностей случайной величины Χ, зависящей от одного неизвестного параметра .

Например, для показательного распределения .

Требуется найти точечную оценку параметра . В случае показательного распределения ⍬ = λ.

Для получения оценки одного параметра можно использовать одно уравнение с одним неизвестным. В методе моментов в качестве такого уравнения предлагается равенство , где – начальный теоретический момент первого порядка; – начальный эмпирический момент первого порядка.

=> = (1)

Математическое ожидание можно рассматривать как функцию параметра :

(2)

Из формулы (1) можно получить не сам параметр , а только его оценку, т.к. является реализацией случайной величины . Тогда:

(3)

Решив уравнение (3), найдем оценку , которая является функцией от выборочной средней.

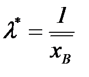
Например, для экспоненциального распределения имеем:

=> , .

Если плотность распределения вероятностей зависит от двух параметров, то следует рассматривать как двумерный вектор. Для оценки этих параметров требуется составить не одно, а два уравнения. Такими уравнениями могут быть равенства , или, что более точно, .

Оценка максимального правдоподобия не всегда совпадает с оценкой, найденной методом моментов.

Приведем еще два определения, связанные с понятием момента.

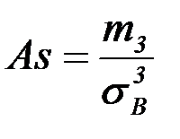
Определение: Асимметрией эмпирического распределения называется отношение центрального эмпирического момента 3-го порядка к кубу среднего квадратического отклонения. Она характеризует асимметричность распределения случайной величины:

Определение: Эксцессом эмпирического распределения называется величина, которая определяет частоту появления значений, удаленных от среднего значения:

.




Поделиться с друзьями:


Дата добавления: 2014-12-27; Просмотров: 901; Нарушение авторских прав?; Мы поможем в написании вашей работы!


Нам важно ваше мнение! Был ли полезен опубликованный материал? Да | Нет



studopedia.su - Студопедия (2013 - 2026) год. Все материалы представленные на сайте исключительно с целью ознакомления читателями и не преследуют коммерческих целей или нарушение авторских прав! Последнее добавление




Генерация страницы за: 0.011 сек.