Студопедия

КАТЕГОРИИ:


Архитектура-(3434)Астрономия-(809)Биология-(7483)Биотехнологии-(1457)Военное дело-(14632)Высокие технологии-(1363)География-(913)Геология-(1438)Государство-(451)Демография-(1065)Дом-(47672)Журналистика и СМИ-(912)Изобретательство-(14524)Иностранные языки-(4268)Информатика-(17799)Искусство-(1338)История-(13644)Компьютеры-(11121)Косметика-(55)Кулинария-(373)Культура-(8427)Лингвистика-(374)Литература-(1642)Маркетинг-(23702)Математика-(16968)Машиностроение-(1700)Медицина-(12668)Менеджмент-(24684)Механика-(15423)Науковедение-(506)Образование-(11852)Охрана труда-(3308)Педагогика-(5571)Полиграфия-(1312)Политика-(7869)Право-(5454)Приборостроение-(1369)Программирование-(2801)Производство-(97182)Промышленность-(8706)Психология-(18388)Религия-(3217)Связь-(10668)Сельское хозяйство-(299)Социология-(6455)Спорт-(42831)Строительство-(4793)Торговля-(5050)Транспорт-(2929)Туризм-(1568)Физика-(3942)Философия-(17015)Финансы-(26596)Химия-(22929)Экология-(12095)Экономика-(9961)Электроника-(8441)Электротехника-(4623)Энергетика-(12629)Юриспруденция-(1492)Ядерная техника-(1748)

Выборочное корреляционное отношение




Поставим вопрос: Как оценить тесноту любой корреляционной связи?

Пусть данные наблюдений над количественными признаками X и Y сведены в корреляционную таблицу. Можно считать, что тем самым наблюдаемые значения Y разбиты на группы. Каждая группа содержит те значения Y, которые соответствуют определенному значению X.

Пример: Данакорреляционная таблица

Y \ X    
     
     
   
4,2 3,7

 

Здесь , таким образом:

К первой группе относятся те 10 значений Y (4 раза встречается значение и 6 раз – значение ), которые соответствуют значению .

Ко второй группе относятся те 20 значений Y, которые соответствуют значению .

Условные средние теперь можно назвать групповыми средними: групповая средняя первой группы ; групповая средняя второй группы . Так как все значения признака Y разбиты на группы, можно представить общую дисперсию признака в виде:

(1)

Докажем справедливость следующих утверждений:

1) Если признак Y связан с признаком X функциональной зависимостью, то .

2) Если признак Y связан с признаком X корреляционной зависимостью, то

Доказательство:

1) Если признак Y связан с признаком X функциональной зависимостью, то определенному значению X соответствует одно значение Y. В этом случае в каждой группе содержатся равные между собой значения Y. Следовательно, для каждой группы.

Например, если значению соответствует значение и , то в группе содержится 5 значений

Следовательно, средняя арифметическая групповых дисперсий (взвешенная по объемам групп), т.е. внутригрупповая дисперсия и формула (1) имеет вид: . Что и требовалось доказать.

2) Если признак Y связан с признаком X корреляционной зависимостью, то определенному значению X соответствуют различные значения Y (образующие группу).

В этом случае для каждой группы. Следовательно, средняя арифметическая групповых дисперсий, (взвешенная по объемам групп) . Тогда одно положительное слагаемое меньше суммы двух положительных слагаемых

=> < 1.

Что и требовалось доказать.

Уже из приведённых рассуждений видно, что чем связь между признаками X и Y ближе к функциональной, тем меньше и, следовательно, тем больше приближается к

Тогда дробь стремится к единице:

1.

Целесообразно, в качестве меры тесноты корреляционной зависимости рассматривать или .

Для оценки тесноты линейной корреляционной связи между признаками X и Y в выборке служит выборочный коэффициент корреляции. В случае нелинейной корреляции выборочный коэффициент корреляции утрачивает своё значение, как мера связи.

Для оценки тесноты нелинейной корреляционной связи вводятся новые сводные характеристики:

– выборочное корреляционное отношение Y к X (греческая буква «эта»

– выборочное корреляционное отношение X к Y.

Определение: Выборочным корреляционным отношением признака Y к признаку X называется отношение межгруппового среднего квадратического отклонения к общему среднему квадратическому отклонению признака Y:

или в других обозначениях

,

где nобъем выборки;

частота значения x признака X;

частота значения y признака Y;

общая средняя признака Y;

условная средняя признака Y.

межгрупповое среднее квадратическое отклонение.

общее среднее квадратическое отклонение.

Аналогично определяется выборочное корреляционное отношение признака X к признаку Y:

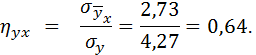
Пример: По данным корреляционной таблицы найти

Y \ X      
         
    -    
     
       

 

Решение:




Поделиться с друзьями:


Дата добавления: 2014-12-27; Просмотров: 2581; Нарушение авторских прав?; Мы поможем в написании вашей работы!


Нам важно ваше мнение! Был ли полезен опубликованный материал? Да | Нет



studopedia.su - Студопедия (2013 - 2025) год. Все материалы представленные на сайте исключительно с целью ознакомления читателями и не преследуют коммерческих целей или нарушение авторских прав! Последнее добавление




Генерация страницы за: 0.01 сек.