Студопедия

КАТЕГОРИИ:


Архитектура-(3434)Астрономия-(809)Биология-(7483)Биотехнологии-(1457)Военное дело-(14632)Высокие технологии-(1363)География-(913)Геология-(1438)Государство-(451)Демография-(1065)Дом-(47672)Журналистика и СМИ-(912)Изобретательство-(14524)Иностранные языки-(4268)Информатика-(17799)Искусство-(1338)История-(13644)Компьютеры-(11121)Косметика-(55)Кулинария-(373)Культура-(8427)Лингвистика-(374)Литература-(1642)Маркетинг-(23702)Математика-(16968)Машиностроение-(1700)Медицина-(12668)Менеджмент-(24684)Механика-(15423)Науковедение-(506)Образование-(11852)Охрана труда-(3308)Педагогика-(5571)Полиграфия-(1312)Политика-(7869)Право-(5454)Приборостроение-(1369)Программирование-(2801)Производство-(97182)Промышленность-(8706)Психология-(18388)Религия-(3217)Связь-(10668)Сельское хозяйство-(299)Социология-(6455)Спорт-(42831)Строительство-(4793)Торговля-(5050)Транспорт-(2929)Туризм-(1568)Физика-(3942)Философия-(17015)Финансы-(26596)Химия-(22929)Экология-(12095)Экономика-(9961)Электроника-(8441)Электротехника-(4623)Энергетика-(12629)Юриспруденция-(1492)Ядерная техника-(1748)

Общая, факторная и остаточная дисперсии




Суммами.

Связь между общей, факторной и остаточной

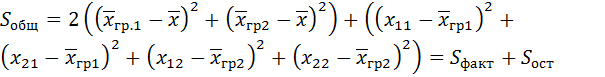
Выведем важную формулу:

.

Для упрощения вывода ограничимся двумя уровнями (p=2) и двумя испытаниями на каждом уровне (q=2). Результаты испытаний (измерений) представим в виде таблицы:

 

Номер испытания Уровни фактора
i F1 F2
 

 

Тогда имеем:

.

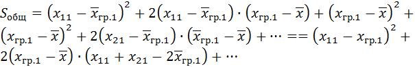
Вычтем и прибавим к каждому наблюдаемому значению на первом уровне групповую среднюю , а на втором .

Выполнив возведение в квадрат, и, учитывая, что сумма всех удвоенных произведений равна нулю, получаем:

,

где и т.д.

Тогда, имеем:

.

Что и требовалось доказать.

Следствие: .

 

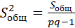
Разделив суммы квадратов отклонений на соответствующее число степеней свободы, получим общую, факторную и остаточную дисперсии:

, , ,

где p – число уровней фактора,

q – число наблюдений на каждом уровне,

(pq – 1) – число степеней свободы общей дисперсии,

(p – 1) – число степеней свободы факторной дисперсии,

p (q –1) – число степеней свободы остаточной дисперсии.

Факторная дисперсия зависит от p составляющих и является смещенной оценкой.

Формула для несмещенной оценки факторной дисперсии:

Остаточная дисперсия зависит от т.е. от pq составляющих, следовательно, для несмещенной остаточной дисперсии получаем формулу:

Здесь число степеней свободы по сравнению с pq уменьшено на p, т.к. в каждой группе за счет групповой средней число степеней свободы уменьшается на единицу.

Если нулевая гипотеза о равенстве средних справедлива, то все эти дисперсии являются несмещенными оценками генеральной дисперсии.

Например, учитывая, что объем выборки , заключаем, что исправленная выборочная дисперсия (которая, как известно, является несмещенной оценкой генеральной дисперсии) равна:

Заметим, что число степеней свободы остаточной дисперсии равно разности между числами степеней свободы и факторной дисперсией.

Действительно: .




Поделиться с друзьями:


Дата добавления: 2014-12-27; Просмотров: 4831; Нарушение авторских прав?; Мы поможем в написании вашей работы!


Нам важно ваше мнение! Был ли полезен опубликованный материал? Да | Нет



studopedia.su - Студопедия (2013 - 2025) год. Все материалы представленные на сайте исключительно с целью ознакомления читателями и не преследуют коммерческих целей или нарушение авторских прав! Последнее добавление




Генерация страницы за: 0.009 сек.