Студопедия

КАТЕГОРИИ:


Архитектура-(3434)Астрономия-(809)Биология-(7483)Биотехнологии-(1457)Военное дело-(14632)Высокие технологии-(1363)География-(913)Геология-(1438)Государство-(451)Демография-(1065)Дом-(47672)Журналистика и СМИ-(912)Изобретательство-(14524)Иностранные языки-(4268)Информатика-(17799)Искусство-(1338)История-(13644)Компьютеры-(11121)Косметика-(55)Кулинария-(373)Культура-(8427)Лингвистика-(374)Литература-(1642)Маркетинг-(23702)Математика-(16968)Машиностроение-(1700)Медицина-(12668)Менеджмент-(24684)Механика-(15423)Науковедение-(506)Образование-(11852)Охрана труда-(3308)Педагогика-(5571)Полиграфия-(1312)Политика-(7869)Право-(5454)Приборостроение-(1369)Программирование-(2801)Производство-(97182)Промышленность-(8706)Психология-(18388)Религия-(3217)Связь-(10668)Сельское хозяйство-(299)Социология-(6455)Спорт-(42831)Строительство-(4793)Торговля-(5050)Транспорт-(2929)Туризм-(1568)Физика-(3942)Философия-(17015)Финансы-(26596)Химия-(22929)Экология-(12095)Экономика-(9961)Электроника-(8441)Электротехника-(4623)Энергетика-(12629)Юриспруденция-(1492)Ядерная техника-(1748)

Расчет рН неводных растворов кислот и оснований




Математический аппарат, используемый для расчета рН водных растворов кислот и оснований, пригоден для расчета рН кислот и оснований в любом растворителе. Для этого следует из справочных таблиц взять значение константы автопротолиза соответствующего растворителя и значение константы диссоциации кислоты (основания) в данном растворителе.

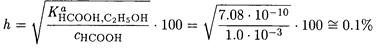
ПРИМЕР 10. Рассчитайте рН 1.0·10-3 М раствора муравьиной кислоты в этиловом спирте.

Решение. Запишем реакцию диссоциации муравьиной кислоты в этиловом спирте:

НСООН + С2Н5ОН ↔С2Н5ОН2+ + НСОO-

Находим в таблицах значение К а (НСООН, С2Н5ОН):

Оценим степень диссоциации муравьиной кислоты в этиловом спирте:

Так как кислота слабая, по формуле (2-4)

ПРИМЕР 11. Найдите интервал изменения рН при переходе от 1.0·10-2 М раствора сильной кислоты к 1.0·10-2 М раствору сильного основания в воде и в этиловом спирте.

Решение. Константа автопротолиза воды Kw = 1.0·10-14 (25°С). Для 1.0·10-2 М раствора сильной кислоты

рН = - lg[H+] = -lgl.0·10-2 = 2.00

Для 1.0·10-2 М раствора сильного основания

Константа автопротолиза этилового спирта – К(С2Н5ОН) = 1.0·10-19. Для 1.0·10-2 М раствора сильной кислоты в этиловом спирте

Для 1.0·10-2 М раствора сильного основания в этиловом спирте




Поделиться с друзьями:


Дата добавления: 2015-01-03; Просмотров: 2321; Нарушение авторских прав?; Мы поможем в написании вашей работы!


Нам важно ваше мнение! Был ли полезен опубликованный материал? Да | Нет



studopedia.su - Студопедия (2013 - 2025) год. Все материалы представленные на сайте исключительно с целью ознакомления читателями и не преследуют коммерческих целей или нарушение авторских прав! Последнее добавление




Генерация страницы за: 0.008 сек.