Студопедия

КАТЕГОРИИ:


Архитектура-(3434)Астрономия-(809)Биология-(7483)Биотехнологии-(1457)Военное дело-(14632)Высокие технологии-(1363)География-(913)Геология-(1438)Государство-(451)Демография-(1065)Дом-(47672)Журналистика и СМИ-(912)Изобретательство-(14524)Иностранные языки-(4268)Информатика-(17799)Искусство-(1338)История-(13644)Компьютеры-(11121)Косметика-(55)Кулинария-(373)Культура-(8427)Лингвистика-(374)Литература-(1642)Маркетинг-(23702)Математика-(16968)Машиностроение-(1700)Медицина-(12668)Менеджмент-(24684)Механика-(15423)Науковедение-(506)Образование-(11852)Охрана труда-(3308)Педагогика-(5571)Полиграфия-(1312)Политика-(7869)Право-(5454)Приборостроение-(1369)Программирование-(2801)Производство-(97182)Промышленность-(8706)Психология-(18388)Религия-(3217)Связь-(10668)Сельское хозяйство-(299)Социология-(6455)Спорт-(42831)Строительство-(4793)Торговля-(5050)Транспорт-(2929)Туризм-(1568)Физика-(3942)Философия-(17015)Финансы-(26596)Химия-(22929)Экология-(12095)Экономика-(9961)Электроника-(8441)Электротехника-(4623)Энергетика-(12629)Юриспруденция-(1492)Ядерная техника-(1748)

Моменты распределения




Для подробного описания особенностей распределения используются дополнительные характеристики, в частности, определяются моменты распределения.

 

Моментом k-го порядка называется средняя из k-x степеней отклонений вариантов х от некоторой постоянной величины А:

 

 

При использовании в качестве весов частот или частостей моменты называются эмпирическими, а при использовании вероятностей — теоретическими.

 

Эмпирический момент k-го порядка:

 

 

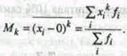
1. Начальные моменты (М^) получаются, если постоянная величина А равна нулю (Л = О):

 

2. Условные и начальные относительно Х0 моменты (тк) получаются при А равном не нулю, а некоторой производной величине Х0 (начало отсчета):

 

 

С помощью условных моментов упрощается расчет основных характеристик ряда распределения. При подстановке различных значений k получаем начальные моменты относительно Хо. Так, например, если k = 1, то:

 

 

Из этой формулы вытекает, что х = х0+т1 т.е. средняя арифметическая равна началу отсчета плюс начальный момент первого порядка. Если отклонения (хi- х0) имеют общий множитель С, то на него можно разделить отклонения, а по окончании вычислить полученный момент, умножив на этот множитель в соответствующей степени, т.е.:

Отсюда следует, что при k = 1 x=x0+m1*C.

 

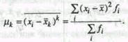
3. Центральные моменты (µ k) получаются, если за постоянную величину А взять среднюю арифметическую (А=х):

 

 




Поделиться с друзьями:


Дата добавления: 2014-12-23; Просмотров: 392; Нарушение авторских прав?; Мы поможем в написании вашей работы!


Нам важно ваше мнение! Был ли полезен опубликованный материал? Да | Нет



studopedia.su - Студопедия (2013 - 2026) год. Все материалы представленные на сайте исключительно с целью ознакомления читателями и не преследуют коммерческих целей или нарушение авторских прав! Последнее добавление




Генерация страницы за: 0.013 сек.